Đề kiểm tra 1 tiết Toán 7 Chương 1 Đại số có đáp án, cực hay (10 đề)
Đề kiểm tra 1 tiết Toán 7 Chương 1 Đại số có đáp án, cực hay (10 đề)
Để ôn luyện và làm tốt các bài kiểm tra Toán lớp 7, dưới đây là Top 4 Đề kiểm tra 1 tiết Toán 7 Chương 1 Đại số có đáp án, cực hay. Hi vọng bộ đề kiểm tra này sẽ giúp bạn ôn luyện & đạt điểm cao trong các bài kiểm tra môn Toán lớp 7.
Phòng Giáo dục và Đào tạo .....
Đề kiểm tra 1 tiết Chương 1 Đại Số
Môn: Toán 7
Thời gian làm bài: 45 phút
(Trắc nghiệm - Tự luận - Đề 1)
A. Phần trắc nghiệm (3 điểm)
Câu 1. Cho x = |x|, kết quả nào ĐÚNG sau đây:
A. x 1
B. x ≥ -1
C. x < 0
D. x ≥ 0
Câu 2. Trong các phân số sau, phân số nào biểu diễn số hửu tỷ ?
Câu 3. Cho . Giá trị của x bằng:
Câu 4. 76 + 75 – 74 chia hết cho:
A. 3
B. 7
C. 4
D. 2
Câu 5. Kết quả nào sau đây là đúng ?
Câu 6. Câu nào trong các câu sau SAI:
B. Phần tự luận (6 điểm)
Câu 1. Thực hiện phép tính (bằng cách hợp lý nếu có thể):
Câu 2. Tìm x biết:
Câu 3. Hưởng ứng phong trào kế hoạch nhỏ của Đội, 3 chi đội 7A, 7B, 7C đã thu được tổng cộng 120 kg giấy vụn. Biết rằng số giấy vụn thu được của 3 chi đội lần lượt tỉ lệ với 9, 7, 8. Hãy tính số giấy vụn thu được của mỗi chi đội.
Câu 4. Cho .
Đáp án và Hướng dẫn làm bài
A. Phần trắc nghiệm (3 điểm)
Mỗi câu trả lời đúng được 0.5 điểm
Câu 1. Chọn D.
Theo định nghĩa giá trị tuyệt đối của x:
Câu 2. Chọn B
Ta có:
Câu 3. Chọn C
Câu 4. Chọn B
Câu 5. Chọn A
Câu 6. Chọn C
B. Phần tự luận (6 điểm)
Câu 1
Câu a và b: 0,75
Câu c: 0,5
Câu 2.
Câu a và b: 0,75
Câu c: 0,5
Câu 3. (2 điểm)
Gọi số giấy vụn thu được của chi đội 7A, 7B, 7C lần lượt là x, y, z (kg;x, y, z > 0)
Vì số giấy vụn của 3 chi đội lần lượt tỉ lệ với 9; 7; 8 nên ta có .
Vì tổng cộng thu được 120 kg giấy vụn nên ta có x + y + z = 120.
Áp dụng tính chất của dãy tỉ số bằng nhau, ta có:
Suy ra x = 45(TM), y = 35(TM), z = 40(TM)..
Vậy số giấy vụn thu được của chi đội 7A, 7B, 7C lần lượt là 45 kg, 35 kg, 40 kg.
Câu 4. (1 điểm)
Phòng Giáo dục và Đào tạo .....
Đề kiểm tra 1 tiết Chương 1 Đại Số
Môn: Toán 7
Thời gian làm bài: 45 phút
(Trắc nghiệm - Tự luận - Đề 2)
A. Phần trắc nghiệm (3 điểm)
Câu 1. Nếu thì x = ?
Câu 2. Biết x:(-2)5 = (-2)3. Kết quả x bằng:
Câu 3. Cho đẳng thức 8.6 = 4.12 ta lập được tỉ lệ thức là:
Câu 4. Phân số nào biểu diễn được dưới dạng số thập phân hữu hạn ?
Câu 5. Cho tỉ lệ thức . Kết quả x bằng:
A. -10
B. -9
C. -8
D. -7
Câu 6. Cho thì m3 bằng:
A. 3
B. 9
C. 729
D. 81
B. Phần tự luận (6 điểm)
Câu 1 (3 điểm). Thực hiện phép tính:
Câu 2 (2 điểm). Tìm x biết:
Câu 3 (1 điểm). Số học sinh ba khối 6, 7, 8 tỉ lệ với các số 41; 29; 30. Biết rằng tổng số học sinh khối 6 và 7 là 140 học sinh. Tính số học sinh mỗi khối.
Câu 4 (1 điểm).Cho tỉ lệ thức .
Đáp án và Hướng dẫn làm bài
A. Phần trắc nghiệm (3 điểm)
Mỗi câu trả lời đúng được 0.5 điểm
Câu 1. Chọn D.
Câu 2. Chọn A.
Câu 3. Chọn B.
Câu 4. Chọn D.
Câu 5. Chọn C.
Câu 6. Chọn C.
B. Phần tự luận (6 điểm)
Câu 1. Mỗi câu 1 điểm
Câu 2. Mỗi câu 1 điểm
Câu 3.
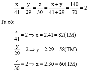
Gọi số học sinh ba khối 6, 7, 8 lần lượt là x, y, z (học sinh) (x, y, z ∈ N*)
Vì số học sinh ba khối 6; 7; 8 tỉ lệ với 41; 29; 30 nên ta có .
Vì tổng số học sinh khối 6 và 7 là 140 học sinh nên ta có x + 7 = 140.
Áp dụng tính chất của dãy tỉ số bằng nhau, ta có:
Vậy số học sinh khối 6, 7, 8 lần lượt là 82 (học sinh), 58 (học sinh), 60 (học sinh)
Câu 4 (1 điểm).
Phòng Giáo dục và Đào tạo .....
Đề kiểm tra 1 tiết Chương 1 Đại Số
Môn: Toán 7
Thời gian làm bài: 45 phút
(Trắc nghiệm - Tự luận - Đề 3)
A. Phần trắc nghiệm (3 điểm)
Câu 1. Cho tỉ lệ thức , suy ra:
Câu 2. Cách viết nào sau đây là đúng:
Câu 3. Các số được biểu diễn trên trục số bởi:
A. Một điểm duy nhất
B. Bốn điểm
C. Ba điểm
D. Hai điểm
Câu 4. Cách viết nào sau đây là đúng:
A. |-0,23| = -0,23
B. -|-0,23 |= -0,23
C. |-0.23| = ±0,23
D. -|-0,23| = 0,23
B. Phần tự luận (6 điểm)
Câu 1. Tính giá trị của biểu thức( tính hợp lí nếu có thể):
Câu 2. Tìm x, biết:
Câu 3. Ba lớp 7A, 7B và 7C đi lao động trồng cây. Biết số cây trồng lớp 7A, 7B, 7C lần lượt tỷ lệ với 7; 8; 9 và lớp 7A trồng ít hơn lớp 7C là 6 cây. Tính số cây trồng được bao nhiêu?
Câu 4 Cho tỉ lệ thức
Đáp án và Hướng dẫn làm bài
A. Phần trắc nghiệm (2 điểm)
Mỗi câu trả lời đúng được 0.5 điểm
Câu 1. Chọn B.
Câu 2. Chọn B.
Câu 3. Chọn D.
do vậy ta chỉ có 2 điểm trên trục số.
Câu 4. Chọn B.
B. Phần tự luận (8 điểm)
Câu 1. Mỗi câu 1 điểm
Câu 2. Mỗi câu 1 điểm
Câu 3. (3 điểm)
Gọi số cây trồng của lớp 7A, 7B và 7C lần lượt là x, y, z (cây) (x, y, z ∈ N*)
Vì số câu trông của lớp 7A, 7B, 7C lần lượt tỉ lệ với 7; 8; 9 nên ta có .
Vì lớp 7A trông ít hơn lớp 7C là 6 cây nên ta có z - x = 6
Áp dụng tính chất dãy tỉ số bằng nhau, ta có:
Vậy số cây trồng của 3 lớp 7A, 7B, 7C lần lượt là 21 cây, 24 cây và 27 cây.
Câu 4. (1 điểm)
Phòng Giáo dục và Đào tạo .....
Đề kiểm tra 1 tiết Chương 1 Đại Số
Môn: Toán 7
Thời gian làm bài: 45 phút
(Trắc nghiệm - Tự luận - Đề 4)
A. Phần trắc nghiệm (3 điểm)
Câu 1. Chọn đáp án đúng:
A. Q ⊂ Z
B. Z ⊂ N
C. N ⊂ Q
D. Q ⊂ N
Câu 2. Kết quả của phép tính là:
Câu 3. Làm tròn số 17,658 đến chữ số thập phân thứ hai được kết quả là:
A. 17,64;
B. 17,65;
C. 17,658;
D. 17,66.
Câu 4. Phân số nào viết được dưới dạng số thập phân hữu hạn:
Câu 5.Kết quả của phép tính 325: 35 là:
A.
330
B. 630
C. 320
D. 120
Câu 6. Từ đẳng thức a.d = b.c ta có thể suy ra được tỉ lệ thức:
B. Phần tự luận (6 điểm)
Câu 1. (1,5 điểm) Tính
Câu 2. (2 điểm): Tìm x
Câu 3. (3 điểm)
a) Tìm các số a, b, c biết: và a + b – c = - 44
b) Tính số đo 3 cạnh của một tam giác, biết rằng 3 cạnh của tam giác đó tỉ lệ với 4;5;3 và chu vi tam giác là 120cm.
Câu 4. (0,5 điểm): Không dùng máy tính bỏ túi hãy so sánh 23000 và 32000
Đáp án và Hướng dẫn làm bài
A. Phần trắc nghiệm (3 điểm)
Mỗi câu trả lời đúng được 0.5 điểm
B. Phần tự luận (6 điểm)
Câu 1. Mỗi ý 0,5 điểm
Câu 2. Mỗi ý 1 điểm
Câu 3.
a) (1 điểm)
Ta tìm được a = -132, b = -110, c = -198
b) (2 điểm) Gọi độ dài ba cạnh của một tam giác tỉ lệ với 4 ; 5 ; 3 lần lượt là x, y, z (cam) (x, y, z > 0)
Vì x, y, z tỉ lệ với 4 ; 5 ; 3 nên ta có .
Vì chu vi của tam giác là 120 cm nên ta có x + y + z = 120.
Áp dụng tính chất của dãy tỉ số bằng nhau, ta có:
Ta tìm được x = 40 (TM), y = 50 (TM), z = 30 (TM)
Vậy độ dài ba cạnh của tam giác đó là 40 cm, 50 cm, 30 cm.
Câu 4. (0,5 điểm)
Xem thêm Đề thi Toán 7 chọn lọc, có đáp án hay khác:
- Đề kiểm tra 15 phút Toán 7 Chương 1 Đại số có đáp án, cực hay (10 đề)
- Đề kiểm tra 15 phút Toán 7 Chương 2 Đại số có đáp án, cực hay (10 đề)
- Đề kiểm tra 1 tiết Toán 7 Chương 2 Đại số có đáp án, cực hay (10 đề)
- Đề kiểm tra 15 phút Toán 7 Chương 1 Hình học có đáp án, cực hay (10 đề)
- Đề kiểm tra 1 tiết Toán 7 Chương 1 Hình học có đáp án, cực hay (10 đề)
- Đề kiểm tra 15 phút Toán 7 Chương 2 Hình học có đáp án, cực hay (10 đề)
- Đề kiểm tra 1 tiết Toán 7 Chương 2 Hình học có đáp án, cực hay (10 đề)
Lời giải bài tập lớp 7 sách mới:
- Giải bài tập Lớp 7 Kết nối tri thức
- Giải bài tập Lớp 7 Chân trời sáng tạo
- Giải bài tập Lớp 7 Cánh diều
Tủ sách VIETJACK shopee lớp 6-8 (2025):
Đã có app VietJack trên điện thoại, giải bài tập SGK, SBT Soạn văn, Văn mẫu, Thi online, Bài giảng....miễn phí. Tải ngay ứng dụng trên Android và iOS.
Theo dõi chúng tôi miễn phí trên mạng xã hội facebook và youtube:Tuyển tập Đề thi các môn học lớp 7 năm 2025 học kì 1, học kì 2 được các Giáo viên hàng đầu biên soạn bám sát chương trình và cấu trúc ra đề thi trắc nghiệm và tự luận mới.
Nếu thấy hay, hãy động viên và chia sẻ nhé! Các bình luận không phù hợp với nội quy bình luận trang web sẽ bị cấm bình luận vĩnh viễn.
- Giáo án lớp 7 (các môn học)
- Giáo án điện tử lớp 7 (các môn học)
- Giáo án Toán 7
- Giáo án Ngữ văn 7
- Giáo án Tiếng Anh 7
- Giáo án Khoa học tự nhiên 7
- Giáo án Lịch Sử 7
- Giáo án Địa Lí 7
- Giáo án GDCD 7
- Giáo án Tin học 7
- Giáo án Công nghệ 7
- Giáo án HĐTN 7
- Giáo án Hoạt động trải nghiệm 7
- Giáo án Vật Lí 7
- Giáo án Sinh học 7
- Giáo án Hóa học 7
- Giáo án Âm nhạc 7
- Đề thi lớp 7 (các môn học)
- Đề thi Ngữ Văn 7 (có đáp án)
- Chuyên đề Tiếng Việt lớp 7
- Đề thi Toán 7 (có đáp án)
- Đề cương ôn tập Toán 7
- Đề thi Tiếng Anh 7 (có đáp án)
- Đề thi Khoa học tự nhiên 7 (có đáp án)
- Đề thi Lịch Sử & Địa Lí 7 (có đáp án)
- Đề thi Địa Lí 7 (có đáp án)
- Đề thi Lịch Sử 7 (có đáp án)
- Đề thi GDCD 7 (có đáp án)
- Đề thi Công nghệ 7 (có đáp án)
- Đề thi Tin học 7 (có đáp án)


Giải bài tập SGK & SBT
Tài liệu giáo viên
Sách
Khóa học
Thi online
Hỏi đáp

