Đề kiểm tra 15 phút Toán 7 Chương 2 Kết nối tri thức, Chân trời sáng tạo, Cánh diều
Đề kiểm tra 15 phút Toán 7 Chương 2 Kết nối tri thức, Chân trời sáng tạo, Cánh diều
Để ôn luyện và làm tốt các bài kiểm tra Toán lớp 7,dưới đây là Đề kiểm tra 15 phút Toán 7 Chương 2 Kết nối tri thức, Chân trời sáng tạo, Cánh diều năm 2026 hay, chi tiết. Hi vọng bộ đề kiểm tra này sẽ giúp bạn ôn luyện & đạt điểm cao trong các bài kiểm tra môn Toán lớp 7.
Đề kiểm tra 15 phút Toán 7 Chương 2 Kết nối tri thức (10 đề)
Đề kiểm tra 15 phút Toán 7 Chương 2 Chân trời sáng tạo (10 đề)
Phòng Giáo dục và Đào tạo ...
Đề kiểm tra Học kì 1 - Kết nối tri thức
năm 2026
Môn: Toán 7 - Chương 2
Thời gian làm bài: 15 phút
(Đề số 1)
Bài 1: Tìm số đối của các số sau: .
Bài 2. Làm tròn số 12,5281...
a) đến chữ số thập phân thứ hai;
b) với độ chính xác 0,005.
Bài 3: Tính giá trị các biểu thức, biết:
a) với x = -2006;
b) với x = 8.
-------------- HẾT ----------------
Phòng Giáo dục và Đào tạo ...
Đề kiểm tra Học kì 1 - Cánh diều
năm 2026
Môn: Toán 7 - Chương 2
Thời gian làm bài: 15 phút
(Đề số 1)
Bài 1: So sánh số 1,7(32) với số .
Bài 2: Tìm hai số x, y thỏa mãn:
a) x – y = 9 và ;
b) xy = 10 và .
Bài 3. Ba công nhân A, B, C có năng suất lao động tương ứng tỉ lệ với 2; 4; 6. Tính số tiền A được thưởng nếu biết tổng số tiền thưởng của ba người là 15 triệu.
-------------- HẾT ----------------
Phòng Giáo dục và Đào tạo ...
Đề kiểm tra Học kì 1 - Chân trời sáng tạo
năm 2026
Môn: Toán 7 - Chương 2
Thời gian làm bài: 15 phút
(Đề số 1)
Bài 1: Điền các kí hiệu ∈, ∉, ⊂ vào chỗ chấm:
;
–5 … ℤ;
;
ℕ … ℤ … ℚ.
Bài 2.
a) Sắp xếp các số sau theo thứ tự tăng dần: ;
b) Sắp xếp các số sau theo thứ tự giảm dần: .
Bài 3. Một chiếc vòng lắc eo có bán kính 35 cm. Tính diện tích của chiếc vòng lắc eo (làm tròn kết quả đến hàng đơn vị).
-------------- HẾT ----------------
Lưu trữ: Đề kiểm tra 15 phút Toán 7 Chương 2 Đại số (sách cũ)
Phòng Giáo dục và Đào tạo .....
Đề kiểm tra 15 phút Chương 2 Đại Số
Môn: Toán 7
Thời gian làm bài: 15 phút
(Tự luận - Đề 1)
Câu 1: Cho y và x là hai đại lượng tỉ lệ thuận. Hãy điền số thích hợp vào ô trống trong bảng sau:
| x | 3 | 6 | 8 | |
| y | 6 | 8 |
Câu 2: Cho biết 2 đại lượng tỉ lệ x, y tỉ lệ thuận với nhau và khi x = 2 thì y = 10.
a) Tìm hệ số tỉ lệ k của y đối với x.
b) Biểu diễn y theo x.
c) Tính y khi x = 9, x = 15.
d) Cho y tỉ lệ thuận với z theo tỉ lệ 3 thì z tỉ lệ thuận với x theo tỉ lệ là bao nhiêu?
Đáp án và Hướng dẫn làm bài
Câu 1 1 (3 điểm - Mỗi ô 1 điểm)
| x | 3 | 6 | 8 | 4 |
| y | 6 | 12 | 16 | 8 |
Vì x và y là hai đại lượng tỉ lệ thuận nên y = kx (k khác 0) (1)
Với x = 3 thì y = 6. Thay x = 3, y = 6 vào (1), ta có:
6 = 3k nên k = 2.
Vậy y = 2x
+ Với x = 6 thì y = 2.6 = 12.
+ Với x = 8 thì y = 2.8 = 16.
+ Với x = 8 thì 8 = 2x nên x = 8:2 = 4.
Câu 2: (7 điểm)
a) Vì y và x là hai đại lượng tỉ lệ với nhau nên ta có y = kx (k khác 0) (1)
Thay x = 2, y = 10 vào (1), ta có: 10 = k.2 nên k = 5. (2 điểm)
Vậy hệ số tỉ lệ k của y đối với x là k = 5.
b) Ta có y = 5x (2 điểm)
c) Thay x = 9 vào y = 5x, ta có y = 5.9 = 45. (1 điểm)
Thay x = 15 vào y = 5x, ta có y = 5.15 = 75. (1 điểm)
Vậy x = 9 thì y = 45; x = 15 thì y = 75.
d) Vì y tỉ lệ thuận với z theo tỉ lệ 3 nên y = 3z mà y = 5x nên ta có:
5x = 3z ⇒ z = x (1 điểm)
Vậy z tỉ lệ thuận với x theo tỉ lệ .
Phòng Giáo dục và Đào tạo .....
Đề kiểm tra 15 phút Chương 2 Đại Số
Môn: Toán 7
Thời gian làm bài: 15 phút
(Tự luận - Đề 2)
Câu hỏi:
a) Tìm các số x, y, z biết và x – 3y + 4z = 70.
b) Trong đợt vận động ủng hộ đồng bào miền Trung bị lũ lụt, học sinh ba lớp 7A, 7B, 7C ở một trường THCS đã ủng hộ được 36 thùng sách vở các loại. Biết số thùng sách vở của mỗi lớp 7A, 7B, 7C ủng hộ lần lượt tỉ lệ với 2; 3; 4. Tính số thùng sách vở mà mỗi lớp đã ủng hộ.
Đáp án và Hướng dẫn làm bài
a) (4 điểm)
Áp dụng tính chất của dãy tỉ số bằng nhau, ta có:
b) (6 điểm)
Gọi số thùng sách của lớp 7A, 7B, 7C lần lượt là x, y, z (thùng) (x, y, z ∈ N*) (1 điểm)
Vì số thùng sách ủng hộ là 36 thùng sách nên ta có x + y + z = 36. (1 điểm)
Vì số thùng sách của mỗi lớp 7A, 7B, 7C tỉ lệ với 2; 3; 4 nên ta có . (1 điểm)
Áp dụng tính chất của dãy tỉ số bằng nhau, ta có:
= 4 (1 điểm)
⇒ x = 8 (TM), y = 12(TM), z = 16 (TM) (1 điểm)
Vậy số thùng sách của lớp 7A, 7B, 7C lần lượt là 8 thùng, 12 thùng, 16 thùng. (1 điểm)
Phòng Giáo dục và Đào tạo .....
Đề kiểm tra 15 phút Chương 2 Đại Số
Môn: Toán 7
Thời gian làm bài: 15 phút
(Tự luận - Đề 3)
Câu hỏi: Ba đội máy san đất làm ba khối lượng công việc như nhau. Đội thứ nhất hoàn thành công việc trong 3 ngày, đội thứ hai hoàn thành công việc trong 4 ngày, đội thứ ba hoàn thành công việc trong 6 ngày. Hỏi mỗi đội có bao nhiêu máy (có cùng năng suất). Biết rằng đội thứ nhất nhiều hơn đội thứ hai 2 máy?
Đáp án và Hướng dẫn làm bài
Gọi số máy của mỗi đội lần lượt là x, y, z (máy) (x, y, z ∈ N*).(1 điểm)
Vì đội thứ nhất có nhiều hơn đội thứ hai là 2 máy nên x - y = 2.(1 điểm)
Cùng một công việc, số máy và số giờ hoàn thành là hai đại lượng tỉ lệ nghich nên ta có
3x = 4y = 6z (1 điểm)
Suy ra .(2 điểm)
Áp dụng tính chất của dãy tỉ số bằng nhau, ta có:
= 2 (1 điểm)
Suy ra x = 8(TM), y = 6(TM), z = 4(TM).(3 điểm)
Vậy số máy của mỗi đội lần lượt là 8 máy, 6 máy, 4 máy. (1 điểm)
Phòng Giáo dục và Đào tạo .....
Đề kiểm tra 15 phút Chương 2 Đại Số
Môn: Toán 7
Thời gian làm bài: 15 phút
(Tự luận - Đề 4)
Câu 1: Các giá trị tương ứng của hai đại lượng y và x được cho trong bảng sau:
| x | - 2 | - 3 | 6 | 9 |
| y | 27 | 18 | - 8 | 6 |
Hỏi hai đại lượng y và x có tỉ lệ nghịch với nhau hay không ?
Câu 2: Chia số 200 thành 3 phần tỉ lệ nghịch với 7, 4, 2. Tìm mỗi phần đó.
Đáp án và Hướng dẫn làm bài
Câu 1:
Vì (-3).18 ≠ 6.(-8) nên hai đại lượng y và x không tỉ lệ nghịch với nhau.
(2 điểm:
- Trả lời: 1 điểm
- Giải thích: 1 điểm)
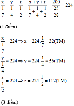
Câu 2: (8 điểm)
Gọi ba phần cần tìm là x, y, z (x, y, z > 0) (1 điểm)
Vì tổng ba phần là 200 nên x + y + z = 200. (1 điểm)
Vì x, y, z tỉ lệ nghịch với 7, 4, 2 nên ta có
7x = 4y = 2z (1 điểm)
Áp dụng tính chất của dãy tỉ số bằng nhau, ta có:
Vậy ba phần cần tìm là 32, 56 và 112. (1 điểm)
Xem thêm Đề thi Toán 7 chọn lọc, có đáp án hay khác:
- Đề kiểm tra 15 phút Toán 7 Chương 1 Đại số có đáp án, cực hay (10 đề)
- Đề kiểm tra 1 tiết Toán 7 Chương 1 Đại số có đáp án, cực hay (10 đề)
- Đề kiểm tra 1 tiết Toán 7 Chương 2 Đại số có đáp án, cực hay (10 đề)
- Đề kiểm tra 15 phút Toán 7 Chương 1 Hình học có đáp án, cực hay (10 đề)
- Đề kiểm tra 1 tiết Toán 7 Chương 1 Hình học có đáp án, cực hay (10 đề)
- Đề kiểm tra 15 phút Toán 7 Chương 2 Hình học có đáp án, cực hay (10 đề)
- Đề kiểm tra 1 tiết Toán 7 Chương 2 Hình học có đáp án, cực hay (10 đề)
Lời giải bài tập lớp 7 sách mới:
- Giải bài tập Lớp 7 Kết nối tri thức
- Giải bài tập Lớp 7 Chân trời sáng tạo
- Giải bài tập Lớp 7 Cánh diều
Đã có app VietJack trên điện thoại, giải bài tập SGK, SBT Soạn văn, Văn mẫu, Thi online, Bài giảng....miễn phí. Tải ngay ứng dụng trên Android và iOS.
Theo dõi chúng tôi miễn phí trên mạng xã hội facebook và youtube:Tuyển tập Đề thi các môn học lớp 7 năm 2025 học kì 1, học kì 2 được các Giáo viên hàng đầu biên soạn bám sát chương trình và cấu trúc ra đề thi trắc nghiệm và tự luận mới.
Nếu thấy hay, hãy động viên và chia sẻ nhé! Các bình luận không phù hợp với nội quy bình luận trang web sẽ bị cấm bình luận vĩnh viễn.
- Giáo án lớp 7 (các môn học)
- Giáo án điện tử lớp 7 (các môn học)
- Giáo án Toán 7
- Giáo án Ngữ văn 7
- Giáo án Tiếng Anh 7
- Giáo án Khoa học tự nhiên 7
- Giáo án Lịch Sử 7
- Giáo án Địa Lí 7
- Giáo án GDCD 7
- Giáo án Tin học 7
- Giáo án Công nghệ 7
- Giáo án HĐTN 7
- Giáo án Hoạt động trải nghiệm 7
- Giáo án Vật Lí 7
- Giáo án Sinh học 7
- Giáo án Hóa học 7
- Giáo án Âm nhạc 7
- Đề thi lớp 7 (các môn học)
- Đề thi Ngữ Văn 7 (có đáp án)
- Chuyên đề Tiếng Việt lớp 7
- Đề thi Toán 7 (có đáp án)
- Đề cương ôn tập Toán 7
- Đề thi Tiếng Anh 7 (có đáp án)
- Đề thi Khoa học tự nhiên 7 (có đáp án)
- Đề thi Lịch Sử & Địa Lí 7 (có đáp án)
- Đề thi Địa Lí 7 (có đáp án)
- Đề thi Lịch Sử 7 (có đáp án)
- Đề thi GDCD 7 (có đáp án)
- Đề thi Công nghệ 7 (có đáp án)
- Đề thi Tin học 7 (có đáp án)


Giải bài tập SGK & SBT
Tài liệu giáo viên
Sách
Khóa học
Thi online
Hỏi đáp

