Đề kiểm tra 1 tiết Toán 7 Chương 4 Đại số có đáp án, cực hay (8 đề)
Đề kiểm tra 1 tiết Toán 7 Chương 4 Đại số có đáp án, cực hay (8 đề)
Để ôn luyện và làm tốt các bài kiểm tra Toán lớp 7, dưới đây là Top 8 Đề kiểm tra 1 tiết Toán 7 Chương 4 Đại Số có đáp án, cực hay. Hi vọng bộ đề kiểm tra này sẽ giúp bạn ôn luyện & đạt điểm cao trong các bài kiểm tra môn Toán lớp 7.
Phòng Giáo dục và Đào tạo .....
Đề kiểm tra 1 tiết Chương 4 Đại số
Môn: Toán 7
Thời gian làm bài: 45 phút
(Trắc nghiệm - Đề 1)
Trong mỗi câu dưới đây, hãy chọn phương án trả lời đúng:
Câu 1: Đơn thức -1/3 x3y2đồng dạng với:
A. -1/3 x2y3 B. x2y2 C. x3y2 D. -1/2 xy
Câu 2: Giá trị của biểu thức A = -3x2y3tại x = -2, y = 1/3 là:
A. -4/9 B.4/9 C. 9/4 D.-9/4
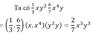
Câu 3: Tích của đơn thức 12/15 x4y2và 5/9 xy là đơn thức:
A. 2/3 x5 y3 B. 2/3 x3y5 C. 4/9 x5 y3 D. -4/9 x5 y3
Câu 4: Tổng của ba đơn thức 2xy3; 5xy3và -7xy3là:
A. 7xy3-7x3y B. 0 C. 14x3y D. 14xy3
Câu 5: Bậc của đơn thức (-5x4yz)2là:
A. 6 B. 10 C. 12 D. 14
Câu 6: Cho đơn thức H = 2x4a5 xy2(-4)x6 y. Hệ số của đơn thức H là:
A. 8 B. -8a C. -8a5 D. -8
Câu 7: Thu gọn đơn thức -x3(xy)4 1/3 x2y3z3ta được kết quả là:
A. -1/3 x8y6 z3 B. -1/3 x9y4z4 C. -3x8y4z3 D. -1/3 x9y7 z3
Câu 8: Cho đơn thức M = (-1/2 xay), N = (-2xy2) . Tìm a để bậc của đơn thức P = M.N là 9
A. 4 B. 5 C. 6
7Câu 9: Bậc của đa thức f(x) = 3x5 + x3y - x5 + xy - 2x5 + 3 là:
A. 2 B. 3 C. 4 D. 5
Câu 10: Trong các đa thức sau, đa thức nào có bậc cao nhất?
A. x2y5 - xy4+ y6 + 1
B. -2x8+ 3x6 + x8- x5 - 3x + x8
C. -3x5 - 1/2 x3y-3/4 xy2+ 3x5 + 2
D. x6-y5 + x4y4+ 1
Câu 11: Nghiệm của đa thức 3/4 x + 1=0 là:
A. 3/4 B. 4/3 C. -3/4 D. -4/3
Câu 12: Cho biểu thức M=6x2-x2y-6. Khẳng định nào dưới đây sai:
A. M là một đa thức hai biến
B. Hệ số của x2y là -1
C. Giá trị của M khi x = -1, y = 2 là -2
D. Bậc của đa thức là 2
Câu 13: Hệ số cao nhất và hệ số tự do của đa thức P(x) = -x5 + 3x4+ 2x5 - x3+ x4- 3x4- 5 lần lượt là:
A. 1 và -5 B. -5 và 1 C. 2 và -5 D. -5 và 2
Câu 14: Nghiệm của đa thức f(x) = x2 - 7x + 6 là:
A. 0 B. 1 và 6 C. 0 và 1 D. 6 và -1
Câu 15: Giá trị của biểu thức A = 3x2y - 5x + 1 tại x = -2, y = 1/3 là:
A. 12 B. 13 C. 14 D. 15
Câu 16: Cho hai đa thức
A(x)=3x4- 4x3+ 5x2 - 3 - 4x, B(x) = -3x4+ 4x3- 5x2+ 6 + 2x
Tổng của đa thức A(x) + B(x) là:
A. -10x2 - 2x - 3 B. B. -2x + 3 C. C. 8x3- 4x + 3 D. D. -6x - 9
Câu 17: Chọn bằng cách ghép số và chứ tương ứng:
-2x3yz ; (2) 1 -z3+ z + z5 ; (3) x3y2 - xy2 + x2 - 1; (4) 2/5 x2yz
Đa thức bậc 5; (b) Đơn thức bậc 5; (c) Đa thức một biến bậc 5; (d) Đơn thức bậc 4
A. 1 - b; 2 - a; 3 - c; 4 - d B. 1 - d; 2 - c; 3 - a; 4 - b
C. 1 - d; 2 - a; 3 - c; 4 - b D. 1 - b; 2 - c; 3 - a; 4 - d
Câu 18: Cho đa thức P(x) = x3- 4x2 + 3 - 2x3+ x2 + 10x - 1
Tìm đa thức Q(x) biết P(x) + Q(x) = x3+ x2+ 2x - 1
A. -4x2- 8x - 3 B. 2x3- 4x2+ 8x - 3
C. 2x3+ 4x2- 8x - 3 D. 4x2- 8x - 3
Câu 19: Giá trị x = 1/2 là nghiệm của đa thức
A. f(x) = 8x - x2 B. g(x) = x2 - 2x
C. h(x) = 1/2 x + x2 D. k(x) = x2 - 1/2 x
Câu 20: Cho hai đa thức A = x2 - x2 y + 5y2+ 2 + 5, B = 3x2+ 3xy2 - 2y2 - 8. Khi đó đa thức C=2A + 3B là:
A. 11x2 - 2x2y - 9xy2+ 4y2 - 14 B. 11x2 - 2x2y + 9xy2 - 16y2 - 34
C. 10x2 - 2x2y - 9xy2 - 4y2 - 14 D. 11x2 - 2x2y + 9xy2+ 4y2 - 14
Câu 21: Cho hai đa thức P(x) = -2x3+ 2x2 + x - 1, Q(x) = 2x3- x2 - x + 2. Nghiệm của đa thức P(x) + Q(x) là:
A. -1 B. 1 C. Vô nghiệm D. 0
Câu 22: Xác định hệ số a để đa thức P(x) = x2 + x + a có nghiệm là -1 là:
A. 3 B. 2 C. 1 D. 0
Câu 23: Số nghiệm của 2y2 + 5 là:
A. 0 B. 1 C. 2 D. 3
Câu 24: Cho đa thức A(x) = 4x2 + ax. Biết A(2) = 4 A(1). Tìm a?
A. 0 B. 1 C. 2 D. 3
Câu 25: Cho đa thức H(x) = 2ax2+ bx Xác định a,b để đa thức H(x) có nghiệm là x = -1 và H(1) = 4
A. a = 2, b = 1 B. a = 1, b = 2 C. a = -1, b = -2 D. a = -2, b = -1
Đáp án và thang điểm
Mỗi câu trả lời đúng được 0.4 điểm
| 1 | 2 | 3 | 4 | 5 | 6 | 7 |
| C | A | C | B | C | C | D |
| 8 | 9 | 10 | 11 | 12 | 13 | 14 |
| C | C | D | D | D | A | B |
| 15 | 16 | 17 | 18 | 19 | 20 | 21 |
| D | B | D | C | D | D | C |
| 22 | 23 | 24 | 25 | |||
| D | A | A | B |
Câu 1: Chọn C
Câu 2: Thay x = -2,y = 1/3 vào biểu thức A ta có
A = -3.(-2)2(1/3)3 = -4/9. Chọn A
Câu 3: Chọn C
Ta có: 12/15 x4y2. 5/9 xy
= 12/15.5/9.(x4x)(y2y) = 4/9 x5 y3.
Câu 4: Ta có tổng 2xy3+ 5xy3 + (-7xy3) = 0. Chọn B
Câu 5: Ta có (-5x4yz)2 = 25x8y2z2.
Từ đó bậc của đa thức là: 8 + 2 + 2 = 12.
Chọn C
Câu 6: Thu gọn H = 2x4a5 xy2(-4)x6 y = -8a5 x11y3.
Khi đó hệ số của H là -8a5. Chọn C
Câu 7: Chọn D
Ta có: -x3(xy)4 1/3 x2y3z3
= -x3x4y4 1/3 x2y3z3 = -1/3 x9y7 z3.
Câu 8: Ta có: P = M.N = (-1/2 xay)(-2xy2) = x(a + 1) y3.
Khi đó bậc của đơn thức là a + 1 + 2 = a + 3
Vì bậc của đơn thức là 9 nên a + 3 = 9 ⇒ a = 6. Chọn C
Câu 9: Thu gọn f(x) = 3x5 + x3y - x5 + xy - 2x5 + 3 = x3y + xy + 3
Khi đó bậc của đa thức là 4. Chọn C
Câu 10: Chọn D
Câu 11: Ta có 3/4 x + 1 = 0 ⇒ 3/4 x = -1 ⇒ x = -4/3. Chọn D
Câu 12: Chọn D
Câu 13: Ta có: P(x) = -x5 + 3x4+ 2x5 - x3+ x4 - 3x4 - 5 = x5 + x4 - x3 - 5
Nên hệ số cao nhất là 1 và hệ số tự do là -5. Chọn A
Câu 14: Vì f(1) = 0, f(6) = 0 nên nghiệm của đa thức là 1 và 6. Chọn B
Câu 15: Thay x = -2, y = 1/3 vào A ta có A = 3(-2)2 1/3 - 5(-2) + 1 = 15.
Chọn D
Câu 16: Chọn B
Ta có A(x) + B(x) = (3x4 - 4x3+ 5x2 - 3-4x) + (-3x4+ 4x3 - 5x2+ 6 + 2x) = -2x + 3.
Câu 17: Chọn D
Câu 18: Chọn C
Ta có: P(x) + Q(x) = x3+ x2+ 2x-1
⇒ Q(x) = (x3 + x2 + 2x-1) - P(x)
= 2x3 + 4x2 - 8x - 3.
Câu 19: Ta có: k(1/2) = (1/2)2 - 1/2. 1/2 = 0. Chọn D
Câu 20: Chọn D
Ta có: C = 2A + 3B = 2(x2 - x2y + 5y2+ 5) + 3(3x2+ 3xy2 - 2y2 - 8)
= (2x2 - 2x2y + 10y2+ 10) + (9x2+ 9xy2- 6y2 - 24)
= 11x2 - 2x2y + 9xy2+ 4y2- 14
Câu 21:
Ta có: P(x) + Q(x) = (-2x3 + 2x2 + x - 1) + (2x3 - x2 - x + 2)
= x2 + 1 > 0
Đa thức không có nghiệm. Chọn C
Câu 22: Để x = -1 là nghiệm của đa thức P(x) = x2 + x + a thì P(-1) = 0
Khi đó ta có (-1)2 + (-1) + a = 0 ⇒ a = 0. Chọn D
Câu 23: Ta có 2y2 ≥ 0 ⇒ 2y2 + 5 > 0. Đa thức vô nghiệm. Chọn A
Câu 24: Ta có A(1) = 4 + a, A(2) = 16 + 2a.
Vì A(2) = 4A(1) ⇒ 16 + 2a = 4 (4 + a)
⇒ 16 + 2a = 16 + 4a ⇒ a = 0.
Chọn A
Câu 25: Vì x = -1 là nghiệm của H(x) nên
H(-1) = 0 ⇒ 2a(-1)2 + b(-1) = 2a - b = 0 ⇒ b = 2a
Vì H(1) = 4 ⇒ 2a.12 + b.1 = 2a + b = 4 ⇒ b = 4 - 2a
Ta có 2a = 4 - 2a ⇒ 4a = 4 ⇒ a = 1, từ đó b = 2. Chọn B
Phòng Giáo dục và Đào tạo .....
Đề kiểm tra 1 tiết Chương 4 Đại số
Môn: Toán 7
Thời gian làm bài: 45 phút
(Trắc nghiệm - Đề 2)
Trong mỗi câu dưới đây, hãy chọn phương án trả lời đúng:
Câu 1: Thu gọn đơn thức (-5) x3y2z.2/3 xyz4 là:
Câu 2: Tính tổng các đơn thức sau: -6x5y,7x5y, -3x5y, x5y là:
A. -x5y B. 2x5y C. -4x5y D. 3x5y
Câu 3: Bậc của đơn thức 5xyz.4x3y2(-2x5y) là:
A. 15 B. 12 C. 13 D. 14
Câu 4: Giá trị của đơn thức A = 3/16 x3y4tại x = 1, y = 2 là:
A. 6 B. 3/8 C. 3/4 D. 3
Câu 5: Tích của các đơn thức -xy2 và (-4/7) x2y5là:
Câu 6: Cho hai đơn thức H = 1/3 xayz, Q = x2y3.Tìm a để đơn thức tích A = H.Q có bậc là 8.
A. a = 3 B. a = 2 C. a = 1 D. a = -1
Câu 7: Đơn thức đồng dạng với đơn thức -5/4 x6y3là:
Câu 8: Cách sắp xếp đa thức nào sau đây là đúng (theo lũy thừa giảm dần của biến)
A. 5x2 + 3x4 + 2x3 + x - 1
B. -1 + x + 2x3 + 3x4 + 5x2
C. -1 + x + 5x2 + 2x3 + 3x4
D. 3x4 + 2x3 + 5x2 + x - 1
Câu 9: Thu gọn đa thức B(x) = 6x4 - 7x3 + 6x2 - 7x3 + 4x4 + 3 - 5x + 2x ta được đa thức :
A. 6x4 + 14x3 + 6x2 - 3x + 3
B. 10x4 - 14x3 + 6x2 - 3x + 3
C. 6x4 - 7x3 + 6x2 - 3x + 3
D. 7x4 - 14x3 + 6x2 - 3x - 3
Câu 10: Bậc của đa thức 7x2y(-4x3y5) + 17x2y3 - 4x2y + 28x6y5
A. 11 B. 10 C. 9 D. 8
Câu 11: Khẳng định nào sau đây đúng: Số 0 được gọi là
A. Đa thức không và không có bậc
B. Số hữu tỉ và không phải đa thức
C. Đơn thức không và không phải đa thức
D. Đa thức không và có bậc là không
Câu 12: Nghiệm của đa thức 5x-10 là:
A. x = -1/2 B. x = 1/2 C. x = 2 D. x = -2
Câu 13: Cho hai đơn thức A(x) = -2x3 + 9 - 6x + 7x4 - 2x2
B(x) = 5x2 + 9x - 3x4 + 7x3 - 12
Tính tổng A(x) + B(x) của hai đa thức
A. 4x4 - 5x3 + 3x2 + 3x + 3
B. 4x4 + 5x3 + 3x2 + 3x - 3
C. -2x4 + 5x3 - 3x2 + 3x - 3
D. 7x4 + 5x3 + 3x2 - 3x - 3
Câu 14: Giá trị của biểu thức A = xy + x2y2 + x3y3 + x4y4 + x5y5 tại x = 1,y = -1 là:
A. A = 3 B. A = 2 C. A = -1 D. A = 1
Câu 15: Biết C(x) + (x2y2 - xy) = 3x2y2 + 5xy + 8y - 3x + 4. Tìm C(x)
A. 4x2y2 - 6xy + 8y - 3x + 4
B.-2x2y2 - 6xy + 8y + 3x + 4
C. 4x2y2 - 4xy + 8y - 3x + 4
D. 2x2y2 + 6xy + 8y - 3x + 4
Câu 16: Cho các đa thức sau:
P(x) = -5x3 + 7x2 - x + 8, Q(x) = 4x3 - 7x + 3, R(x) = 6x3 + 4x. Tính P(x) - Q(x) + R(x)
A. 3x3 + 7x2 + 11x-5
B. 3x3 + 7x2 + 10x + 5
C.-3x3 + 7x2 - 10x - 5
D. -3x3 + 7x2 + 10x + 5
Câu 17: Cho hai đa thức P(x) = 3x2 + 5x - 1, Q(x) = 3x2 + 2x + 2. Nghiệm của đa thức P(x) - Q(x) là:
A. x = 1 B. x = 2 C. x = 3 D. x = -1
Câu 18: Khẳng định nào sau đây sai về đa thức A = 2x5y2 - 3x3y + 8 + 9xy
A. Bậc của đa thức A là 7
B. Hệ số tự do của đa thức A là 9
C. A là đa thức đã thu gọn
D. Giá trị của đa thức tại x = 0, y = 0 là 8
Câu 19: Gọi a là nghiệm của đa thức 5x - 6, b là nghiệm của đa thức -2x + 3. Khẳng định nào sau đây là đúng?
A. a < b B. a > b
C. a = b D. Không so sánh được
Câu 20: Cho hai đa thức A = x2y - xy2 + 3x2, B = x2y + xy2 - 2x2 - 1. Tính đa thức A + 2B.
A. 2x2y + xy2 - x2 - 2
B. 3x2y - x2 - 2
C. 3x2y + xy2 - x2 - 2
D. 2x2y + xy2 - x2 - 2
Câu 21: Tổng hệ số cao nhất và hệ số tự do của đa thức
5x2 - 4x2 + 3x - 4x - 4x3 + 1 + 3x3
A. 1 B. 0 C. 2 D. 3
Câu 22: Biết đa thức H(x) = ax3 + ax + 1 nhận x = -2 là nghiệm. Tìm a.
Câu 23: Nghiệm của đa thức x2 - x - 2 là:
A. x = -1 B. x = -2 C. x = -1, x = 2 D. x = 2
Câu 24: Cho đa thức D(x) = ax2 + 2x - 2 (a là hằng số) . Tìm a biết D(2) = 6
A. a = 1. B. a = 2 C. a = -1 D. a = 3
Câu 25: Cho đa thức f(x) = x2 - (m - 1)x + 3m - 2 và
g(x) = x2 - 2(m + 1)x - 5m + 1. Tìm m biết f(1) = g(2)
Đáp án và thang điểm
Mỗi câu trả lời đúng được 0.4 điểm
| 1 | 2 | 3 | 4 | 5 | 6 | 7 |
| C | A | D | D | B | C | A |
| 8 | 9 | 10 | 11 | 12 | 13 | 14 |
| D | B | A | A | C | B | C |
| 15 | 16 | 17 | 18 | 19 | 20 | 21 |
| D | D | A | B | A | C | B |
| 22 | 23 | 24 | 25 | |||
| C | C | A | D |
Câu 1: Chọn C
Ta có (-5) x3y2z.2/3 xyz4
= (-5).2/3 (x3x) (y2y) (zz4)
= -10/3 x4y3z5.
Câu 2: Chọn A
Ta có: -6x5y + 7x5y + (-3x5y) + x5y = -x5y.
Câu 3: Thu gọn
5xyz.4x3y2(-2x5y)
= 5.4.(-2) (xx3x5) (yy2y)z = -40x9y4z
Bậc của đơn thức là 14. Chọn D
Câu 4: Thay x = 1, y = 2 vào đơn thức A
Ta có A = 3/16.13.24 = 3. Chọn D
Câu 5: Ta có -xy2.(-4/7) x2y5 = 4/7 x3y7. Chọn B
Câu 6: Ta có: A = H.Q = 1/3 xayz.x2y3 = 1/3 x(a + 2)y4z
Bậc của đơn thức A là a + 2 + 4 + 1 = 8 ⇒ a + 7 = 8 ⇒ a = 1. Chọn C
Câu 7: Chọn A
Câu 8: Chọn D
Câu 9: Chọn B
Ta có: B(x) = 6x4 - 7x3 + 6x2- 7x3 + 4x4 + 3 - 5x + 2x
= 10x4 - 14x3 + 6x2 - 3x + 3.
Câu 10: Viết đa thức dưới dạng -28x5y6+ 17x2y3 - 4x2y + 28x6y5
Bậc của đa thức là 11. Chọn A
Câu 11: Chọn A
Câu 12: Ta có 5x - 10 = 0 ⇒ x = 2. Chọn C
Câu 13: Ta có:
A(x) + B(x) = -2x3 + 9 - 6x + 7x4 - 2x2+ 5x2 + 9x - 3x4 + 7x3 - 12
= 4x4 + 5x3 + 3x2 + 3x - 3. Chọn B
Câu 14: Thay x = 1, y = -1 vào A ta có A = -1. Chọn C
Câu 15: Ta có: C(x) = 3x2y2 + 5xy + 8y - 3x + 4 - (x2y2 - xy)
= 2x2y2 + 6xy + 8y - 3x + 4. Chọn D
Câu 16: Ta có: P(x) - Q(x) + R(x)
=(-5x3 + 7x2 - x + 8) - (4x3 - 7x + 3) - (6x3 + 4x)
=-5x3 + 7x2 - x + 8 - 4x3 + 7x - 3 + 6x3 + 4x
= -3x3 + 7x2 + 10x + 5. Chọn D
Câu 17: Ta có P(x) - Q(x) = (3x2 + 5x - 1) - (3x2 + 2x + 2) = 3x - 3
Vì 3x - 3 = 0 ⇒ x = 1 nên x = 1 là nghiệm cần tìm. Chọn A
Câu 18: Chọn B
Câu 19: Ta có: 5x - 6 = 0 ⇒ x = 6/5 ⇒ a = 6/5;
-2x + 3 = 0 ⇒ -2x = -3 ⇒ x = 3/2 ⇒ b = 3/2
Vì 6/5 < 3/2 ⇒ a < b. Chọn A
Câu 20: Ta có A + 2B = (x2y - xy2 + 3x2) + 2(x2y + xy2 - 2x2 - 1)
= x2y - xy2 + 3x2 + 2x2y + 2xy2 - 4x2 - 2
= 3x2y + xy2 - x2 - 2. Chọn C
Câu 21: Thu gọn 5x2 - 4x2 + 3x - 4x - 4x3 + 1 + 3x3 = -x3 + x2 - x + 1
Hệ số cao nhất là -1, hệ số tự do là 1. Tồng cần tìm là 0. Chọn B
Câu 22: Vì H(x) nhậ n x = -2 là nghiệm nên
H(-2) = 0 ⇒ -8a - 2a + 1 = 0 ⇒ -10a = -1 ⇒ a = 1/10. Chọn C
Câu 23: Chọn C
Câu 24: Vì D(a) = 6 ⇒ 4a + 4 - 2 = 6 ⇒ 4a + 2 = 6 ⇒ 4a = 4
⇒ a = 1.
Chọn A
Câu 25: Ta có f(1) = 12 -(m - 1).1 + 3m - 2 = 2m
g(2) = 22 - 2(m + 1).2 - 5m + 1 = -9m + 1
Vì f(1) = g(2) ⇒ 2m = -9m + 1 ⇒ 11m = 1 ⇒ m = 1/11. Chọn D
Phòng Giáo dục và Đào tạo .....
Đề kiểm tra 1 tiết Chương 4 Đại số
Môn: Toán 7
Thời gian làm bài: 45 phút
(Trắc nghiệm - Đề 3)
Trong mỗi câu dưới đây, hãy chọn phương án trả lời đúng:
Câu 1: Giá trị của đơn thức A = 2/3 x4y2 tại x = 1, y = 2 là:
A. 8/3 B. 4/3 C. 4 D. 2
Câu 2: Đơn thức đồng dạng với đơn thức -xy2z là:
A. xyz2 B. -√7 xy2z
C. -xy2z2 D. 9x2y2z
Câu 3: Thu gọn đơn thức (-2x3y4)(-3x5y6) ta được đơn thức:
A.-6x8y10 B. 6x10y8 C.- 6x8y10 D. 6x8y10
Câu 4: Hệ số của đơn thức 8a2x4y(-1/2 b3y2) (a,b là các hằng số) là:
A.-8a2b2 B. -4a3b3 C. 4a2b3 D. -4a2b3
Câu 5: Tổng của các đơn thức 4x2y, -3x2y, 3x2y và 2x2y là:
A. 6x2y B. 9x2y C. 12x2y D. 5x2y
Câu 6: Tích của hai đơn thức là:
Câu 7: Bậc của đơn thức 3x(y2z)2 là:
A. 4 B. 7 C. 8 D. 6
Câu 8: Tìm a biết giá trị của đơn thức A = 2ax3y (a là hằng số) tại x = 1/2, y = 2 là 2
A. a = 4 B. a = 3 C. a = 2 D. a = 5
Câu 9: Tìm a,b biết đơn thức 1/2 xayb + 1 đồng dạng với đơn thức -x2y3 là:
A. a = 3,b = 2 B. a = 2,b = 1
C. a = 2,b = 3 D. a = 1,b = 2
Câu 10: Thu gọn đa thức 2x5y2 - 3x3y + 8 + 9xy - 2x5y2 + 4x3y - 4xy - 7
A. x2y5 - x3y + 5xy + 1
B. x3y + 5xy + 1
C. x3y - 5xy + 1
D. -3x3y + 5xy + 1
Câu 11: Bậc của đa thức -3x5 - 1/2 x3y - 3/4 xy2 + 3x5 + 2 là:
A. 4 B. 3 C. 5 D. 6
Câu 12: Trong các đa thức sau, đa thức nào có bậc nhỏ nhất?
A. x2y3 - 2x2y - 2xy + 5 - x2y3
B. x2 - 2y + xy + 1
C. x2 + 2xy - 3x3 + 2y3 + 3x3 - y3
D. 3xyz - 3x2 + 5xy - 1
Câu 13: Tìm hiệu P(x) - Q(x) biết P(x) = (xy2z + 3x2y - 5xy2) và Q(x) = (x2y + 9xy2z - 5xy2 - 3)
A. -8xy2z + 2x2y-3
B.-8xy2z + 2x2y - 10xy2 + 3
C. -8xy2z - 2x2y + 3
D. -8xy2z + 2x2y + 3
Câu 14: Tìm đa thức P(x) biết P(x) - (5x2 - 4y2) = 2x2 - 3y2 + 5y2 - 1
A. 7x2 - 2y2 - 1
B. 7x2 + 2y2 - 1
C.-3x2 - 2y2 - 1
D. -7x2 - 2y2 + 1
Câu 15: Cho hai đa thức P(x) = 2x2 + 5x - 1, Q(x) = -2x2 - 4x + 3. Nghiệm của P(x) + Q(x) là:
A. x = -1 B. x = 1 C. x = -2 D. x = 2
Câu 16: Giá trị của biểu thức A = xy - 2x3y4 - x + 3y tại x = -1, y = 2 là:
A. 38 B. 35 C. 36 D. 37
Câu 17: Cho đa thức P(x) = (x - 1) (x - 2) .Số nào trong các số dưới đây là nghiệm của
A. x = 1 B. x = -1 C. x = 3 D. x = -2
Câu 18: Khẳng định nào sau đây đúng về đa thức M = x3y2 - 3xy + 5x - 1
A. M là đa thức một biến
B. Hệ số tự do của M là 1
C. Giá trị của M tại x = 1, y = 2 là 2
D. M có bậc là 6
Câu 19: Khẳng định nào sau đây đúng
A. Đa thức 5x5 không có nghiệm
B. Đa thức x2 - 4 không có nghiệm
C. Đa thức x2 + 2 có nghiệm là = -1
D. Đa thức f(x) = x có nghiệm bằng 0
Câu 20: Hệ số của x4trong đa thức M(x) = 2x2 - 7 + 2x3 - 4x4 + 5x4 + 2 là:
A.-5 B.-4 C. 2 D. 1
Câu 21: Cho đa thức h(x) = 3ax2 + 5x (a là hằng số). Tìm a biết h(2) = 2h(1)
A. a = -1 B. a = 0 C. a = 1 D. a = 2
Câu 22: Số nghiệm của đa thức 4y2 + 17 là:
A. 0 B. 1 C. 2 D. 3
Câu 23: x = -2 là nghiệm của đa thức nào dưới đây?
A.3x - 6 B. 2x - 4 C. -2x - 4 D. x2 + 4
Câu 24: Tìm a biết đa thức H(x) = 3ax2 + ax - 20 nhận x = -2 làm nghiệm.
A. a = 5 B. a = 2 C. a = 3 D. a = 4
Câu 25: Xác định a, b biết đa thức F(x) = 4ax2 + 2bx có nghiệm là -1 và F(1) = 6.
Đáp án và thang điểm
Mỗi câu trả lời đúng được 0.4 điểm
| 1 | 2 | 3 | 4 | 5 | 6 | 7 |
| A | B | D | D | A | C | B |
| 8 | 9 | 10 | 11 | 12 | 13 | 14 |
| A | B | B | A | B | D | A |
| 15 | 16 | 17 | 18 | 19 | 20 | 21 |
| C | D | A | C | D | D | B |
| 22 | 23 | 24 | 25 | |||
| A | C | B | B |
Câu 1: Thay x = 1, y = 2 vào đơn thức ta có
A = 2/3.14.22 = 8/3. Chọn A
Câu 2: Chọn B
Câu 3: Ta có (-2x3y4) (-3x5y6) = 6x8y10. Chọn D
Câu 4: Hệ số của đơn thức là: 8a2(-1/2 b3) = -4a2b3. Chọn D
Câu 5: Chọn A
Ta có: 4x2y + (-3x2y) + 3x2y + 2x2y = 6x2y.
Câu 6: Chọn C
Câu 7: Ta có 3x(y2z)2 = 3xy4z2.
Bậc của đơn thức là 7. Chọn B
Câu 8: Chọn A
Thay x = 2, y = 1/2 vào A ta có
2a.(1/2)3.2 = 2 ⇒ a/2 = 2 ⇒ a = 4.
Câu 9: Vì đơn thức 1/2 xayb + 1 đồng dạng với đơn thức -x2y3nên
a = 2, b + 1 = 2 ⇒ b = 1. Chọn B
Câu 10: Ta có
2x5y2 - 3x3y + 8 + 9xy - 2x5y2 + 4x3y - 4xy - 7 = x3y + 5xy + 1.
Chọn B
Câu 11: Chọn A
Thu gọn -3x5 - 1/2 x3y - 3/4 xy2 + 3x5 + 2 = -1/2 x3y - 3/4 xy2 + 2.
Câu 12: Chọn B
Câu 13: Ta có: P(x) - Q(x)
= (xy2z + 3x2y - 5xy2)-(x2y + 9xy2z - 5xy2 - 3)
= xy2z + 3x2y - 5xy2 - x2y-9xy2z + 5xy2 + 3
= -8xy2z + 2x2y + 3
Chọn D
Câu 14: Chọn A
Ta có: P(x) = 2x2 - 3y2 + 5y2 - 1 + 5x2 - 4y2
= 7x2 - 2y2 - 1.
Câu 15:
Ta có: P(x) + Q(x)
= 2x2 + 5x - 1 + (-2x2 -4x + 3) = x + 2
Cho x + 2 = 0 ⇒ x = -2. Chọn C
Câu 16: Thay x = -1, y = 2 vào biểu thức A ta có A = 37. Chọn D
Câu 17: Chọn A
Câu 18: Chọn C
Câu 19: Chọn D
Câu 20: Rút gọn
M(x)= 2x2 - 7 + 2x3 - 4x4 + 5x4 + 2
= x4 + 2x3 + 2x2 - 5.
Chọn D
Câu 21: Ta có h(2) = 12a + 10, h(1) = 3a + 5.
Vì h(2) = 2h(1)
⇒ 12a + 10 = 2(3a + 5) ⇒ 12a + 10 = 6a + 10
⇒ 6a = 0 ⇒ a = 0. Chọn B
Câu 22: Chọn A
Câu 23: Chọn C
Câu 24: Vì H(x) nhận x = -2 làm nghiệm nên
H(-2) = 0 ⇒ 12a - 2a - 20 = 0
⇒ 10a = 20 ⇒ a = 2. Chọn B
Câu 25: Ta có: F(-1) = 0 ⇒ 4a - 2b = 0 ⇒ 2a - b = 0 ⇒ 2a = b
F(1) = 4a + 2b = 5 ⇒ 2a + b = 5 ⇒ 2a = 5-b
Từ đây ta có b = 5 - b ⇒ 2b = 5 ⇒ b = 5/2. Chọn B
Phòng Giáo dục và Đào tạo .....
Đề kiểm tra 1 tiết Chương 4 Đại số
Môn: Toán 7
Thời gian làm bài: 45 phút
(Trắc nghiệm - Đề 4)
Trong mỗi câu dưới đây, hãy chọn phương án trả lời đúng:
Câu 1: Cho một thửa ruộng hình thang, có đáy lớn là a, đáy nhỏ là b và chiều cao là h. Diện tích thửa ruộng được biểu thị bởi biểu thức nào dưới đây:
Câu 2: Đơn thức thu gọn của đơn thức A = 4x2y2 (-2x3y2 )2 là:
A. 8x8y6 B. 16x8y6
C.-16x8y6 D. 16x8y8
Câu 3: Phần biến của đơn thức A = (2ax2y)3(a là hằng số) là:
A. x6y4 B. x8y3 C. x6y3 D. x4y2
Câu 4: Tìm a biết đơn thức -2/3 xa + 2yb đồng dạng với đơn thức -1/3 x4y3
A. a = 3, b = 4 B. a = 4, b = 3
C. a = 3, b = 2 D. a = 2, b = 3
Câu 5: Bậc của đơn thức A = 7x4y3.(-3/7)xy7 là:
A.12 B.13 C.14 D.15
Câu 6: Giá trị của đơn thức H = 3/4 x2y3 tại x = 2, y = -2 là:
A. H = -26 B. H = -24 C. H = -20 D. H = -21/4
Câu 7: Tìm a để bậc của đơn thức A = -2/3 xy2zxa (a là hằng số) là 5
A. a = 4 B. a = 3 C. a = 2 D. a = 1
Câu 8: Đơn thức đồng dạng với đơn thức -7/6 x7yz4
Câu 9: Tích của hai đơn thức là:
Câu 10: Bậc của đa thức
B(x) = x3y4 - 5y8 + x3y4 + xy4 + x3 - y2 - xy4 + 5y8 là:
A. 5 B. 7 C. 8 D. 6
Câu 11: Cho đa thức P(x) = 3x2 y - 2x + 5xy2 - 7y2
Q(x) = 3xy2 - 7y2 - 9x2y - x - 5
Tính P(x) + Q(x)
A. -6x2y + 8xy2 - 14y2 - 3x - 5
B. 6x2y + 8xy2 - 3x - 5
C. -6x2y + 8xy2 - 7y2 - 2x - 5
D. 6x2y - 8xy2 - 14y2 - 3x - 5
Câu 12: Thu gọn đa thức -2x2 - 3x3 - 5x + 5x3 - x + x2 + 4x + 3 + 4x2 ta được đa thức
A. 4x3 - 3x2 - 2x + 3
B.-2x3 + 3x2 - 2x + 3
C. 2x3 + 3x2 - 2x + 3
D. 2x3 + 3x2 + 2x - 3
Câu 13: Cho hai đa thức
P(x) = (5x2y - 4xy2 + 5x - 3), Q(x) = xyz - 4x2 y + xy2 + 5x - 1
Tìm đa thức C(x) biết P(x) - C(x) = Q(x)
A. -xyz + 9x2y - 5xy2 - 5x - 2
B. xyz - x2y - 5xy2 - 2
C. -xyz + 9x2y - 5xy2 - 2
D. -xyz + x2y - 5xy2 - 2
Câu 14: Hệ số cao nhất và hệ số tự do của đa thức
P(x) = x3 + 2x5 - x4 + x2 - 2x3 + x - 1
A. 2 và -1 B. -1 và 2
C. 1 và -1 D. -1 và 1
Câu 15: Cho biểu thức N=6x2 - x3 + 2x4 + 5x - 1. Khẳng định nào sau đây đúng?
A. N là đa thức hai biến
B. Bậc của đa thức N là 6
C. Hệ số tự do của N là -1
D. Hệ số của x3 là 1
Câu 16: Nghiệm của đa thức -2x + 4 là:
A. x = -2 B. x = 2 C. x = 3 D. x = 4
Câu 17: Giá trị của đa thức A = -4x2 + 2x2 + x - 1 tại x = 1 là:
A. A = 4 B. A = 2 C. A = -4 D. A = -2
Câu 18: Cho các đa thức sau:
f(x) = -3x2 + 2x2 - x + 2 và g(x) = 3x2 - 2x2 + 5x - 3
Tìm nghiệm của đa thức f(x) + g(x)
Câu 19: Cho A = x2 - yz + z2, B = 3yz - z2 + 5x2 .Tính C = 2A + 3B
A. 15x2 - z2 + 7yz
B. 17x2 - z2 + 7yz
C.-17x2 + z2 + 7yz
D. 17x2 - z2 + 9yz
Câu 20: f(x) = 4x + 2, g(x) = x + 1/2, h(x) = 6x - 3, k(x) = x2 - 1/4,
p(x)=x2 + 1/4. Số các đa thức nhận x = -1/2 là nghiệm là:
A. 1 B. 2 C. 3 D. 4
Câu 21: Số nghiệm của đa thức (3x + 6) - (2x + 3) là
A. x = 3 B. x = -3 C. x = -2 D. x = 2
Câu 22: Số nghiệm của đa thức (x-1)2 + 10 là:
A. 0 B. 1 C. 2 D. 3
Câu 23: x = -1 là nghiệm của đa thức nào dưới đây
A. -2x + 3 B. x2 - 1
C. 3x + 3 D. x2 + 9
Câu 24: Cho hai đa thức P(x) = mx2 + (m-1)x + 2, Q(x) = 3mx2 + 4.
Biết P(1) = Q(1). Tìm m.
A. m = -4 B. m = 4 C. m = 3 D. m = -3
Câu 25: Tìm m để đa thức nhận g(x) = mx2 - 3x + 2 nhận x = -1 là nghiệm
A. m = -5 B. m = 5 C. m = -4 D. m = 6
Đáp án và thang điểm
Mỗi câu trả lời đúng được 0.4 điểm
| 1 | 2 | 3 | 4 | 5 | 6 | 7 |
| A | B | C | D | D | B | C |
| 8 | 9 | 10 | 11 | 12 | 13 | 14 |
| D | A | B | A | C | C | A |
| 15 | 16 | 17 | 18 | 19 | 20 | 21 |
| C | B | D | C | B | C | A |
| 22 | 23 | 24 | 25 | |||
| A | B | D | A |
Câu 1: Chọn A
Câu 2: Chọn B
Ta có: A = 4x2y2 (-2x3y2 )2 = 4x2y2 . 4x6y4 = 16x8y6.
Câu 3: Chọn C
Ta có: A = (2ax2y)3 = 8a3x6y3. Phần biến là x6y3.
Câu 4: Vì đơn thức -2/3 x(a + 2)yb đồng dạng với đơn thức -1/3 x4y3 nên ta có:
a + 2 = 4 và b = 3. Từ đây suy ra a = 2, b = 3. Chọn D
Câu 5: Thu gọn A ta có A = 7x4y3.(-3/7)xy7 = -3x5y10.
Bậc của đơn thức là 15. Chọn D
Câu 6: Thay x = 2, y = -2 vào H ta có H = -24. Chọn B
Câu 7: Chọn C
Thu gọn A ta có A = -2/3 xy2 zxa = -2/3 x(a + 1)y2
Vì bậc của đơn thức bằng 5 nên a + 1 + 2 = 5
⇒ a + 3 = 5 ⇒ a = 2
Câu 8: Chọn D
Câu 9: Chọn A
Câu 10: Thu gọn đa thức
B(x) = x3y4 - 5y8 + x3y4 + xy4 + x3 - y2 - xy4 + 5y8
= 3x3y4 + x3 - y2
Bậc của đa thức là 7. Chọn B
Câu 11: Ta có: P(x) + Q(x)
= (3x2y - 2x + 5xy2 - 7y2 ) + (3xy2 - 7y2 - 9x2y - x - 5)
= -6x2y + 8xy2 - 14y2 - 3x - 5. Chọn A
Câu 12: Có:
-2x2 - 3x3 - 5x + 5x3 - x + x2 + 4x + 3 + 4x2
=2x3 + 3x2 - 2x + 3. Chọn C
Câu 13: Ta có:
C(x) = (5x2y - 4xy2 + 5x - 3) - (xyz - 4x2y + xy2 + 5x - 1)
= 5x2y - 4xy2 + 5x - 3 - xyz + 4x2y - xy2 - 5x + 1
= -xyz + 9x2y - 5xy2 - 2
Chọn C
Câu 14: Thu gọn P(x) = x3 + 2x5 - x4 + x2 - 2x3 + x - 1
= 2x5 - x4 - x3 + x2 + x - 1
Chọn A
Câu 15: Chọn C
Câu 16: Chọn B
Ta có -2x + 4 = 0
⇒ -2x = -4 ⇒ x = 2.
Câu 17: Thay x = 1 vào đa thức ta có A = -2. Chọn D
Câu 18: Ta có f(x) + g(x) = 4x - 1. Khi đó nghiệm của đa thức tổng là x = 1/4. Chọn C
Câu 19: Ta có: C = 2(x2 - yz + z2 ) + 3(3yz - z2 + 5x2 )
= 2x2 - 2yz + 2z2 + 9yz - 3z2 + 15x2
= 17x2 - z2 + 7yz. Chọn B
Câu 20: Các đa thức nhận x = -1/2 là nghiệm là f(x), g(x), k(x). Chọn C
Câu 21:
Ta có: (3x + 6) - (2x + 3)
= 3x + 6 - 2x - 3 = x + 3
Khi đó nghiệm của đa thức là x = 3. Chọn A
Câu 22: Chọn A
Câu 23: Chọn B
Câu 24: Ta có P(1) = 2m + 1, Q(1) = 3m + 4
Vì P(1) = Q(1) ⇒ 2m + 1 = 3m + 4 ⇒ m = -3. Chọn D
Câu 25: Vì g(x) nhận x = -1 là nghiệm nên
g(-1) = 0 ⇒ m + 3 + 2 = 0 ⇒ m = -5
Chọn A
Phòng Giáo dục và Đào tạo .....
Đề kiểm tra 1 tiết Chương 4 Đại số
Môn: Toán 7
Thời gian làm bài: 45 phút
(Trắc nghiệm + Tự luận - Đề 1)
A. Phần trắc nghiệm (4 điểm)
Trong mỗi câu dưới đây, hãy chọn phương án trả lời đúng:
Câu 1: Bậc của đơn thức là:
A. 6 B. 7 C. 8 D. 9
Câu 2: Đơn thức đồng dạng với đơn thức √5 x5y3z2 là:
Câu 3: Tích của hai đơn thức là:
Câu 4: Cho đa thức M = 7x6 - 2/5 x3y + y4 - x4y4 + 1. Bậc của đa thức M là:
A. 5 B. 6 C. 7 D. 8
Câu 5: Hệ số cao nhất và hệ số tự do của đa thức 2x4 - 3x2 + x - 7x4 + 2x là:
A. 2 và 3 B. -5 và 0 C. -7 và 1 D. 2 và 0
Câu 6: Giá trị của biểu thức A = 1/2 x2y - xy khi x = 1, y = -1 là:
A. 1/2 B. -1/2 C. 3/2 D. -3/2
Câu 7: Giá trị của a để đa thức 2ax + 4 có nghiệm là -1 là:
A. a = 2 B. a = -2 C. a = -1 D. a = 1
Câu 8: Nghiệm của đa thức 2x + 3 là:
A. 3/2 B. -3/2 C. 1/2 D. -1/2
B. Phần tự luận (6 điểm)
Câu 1: ( 2 điểm) : Cho đơn thức P =
a. Thu gọn đa thức P rồi xác định hệ số và phần biến của đơn thức ?
b. Tính giá trị của P tại x = -1, y = 1
Câu 2: (4 điểm): Cho hai đa thức
P(x) = -5x3 - 2x + 4x4 + 3 + 3x2 - 4x4 + 10x3 - 8
Q(x) = 6x2 + 5x3 - 3x5 + 4 + 8x - 4x2 + 3x5 - 10x
a. Rút gọn và sắp xếp các đa thức trên theo lũy thừa giảm dần của biến .
b. Tính M(x) = P(x) + Q(x); N(x) = P(x) - Q(x)
c. x = 3, x = -3 có là nghiệm của đa thức N(x) không ? Vì sao ?
d. Tính giá trị của đa thức A(x) = M(x) + 2N(x) khi x = 1
Đáp án và thang điểm
A. Phần trắc nghiệm (4 điểm)
Mỗi câu trả lời đúng được 0.5 điểm
| 1 | 2 | 3 | 4 | 5 | 6 | 7 | 8 |
| C | C | D | D | B | A | A | B |
Câu 1:
Bậc của đơn thức là 8. Chọn C
Câu 2: Chọn C
Câu 3: Chọn D
Câu 4: Chọn D
Câu 5: Thu gọn 2x4 - 3x2 + x - 7x4 + 2x = -5x4 - 3x2 + x. Chọn B
Câu 6: Thay x = 1, y = -1 vào biểu thức ta có A = 1/2.12 (-1)-1.(-1) = 1/2. Chọn A
Câu 7: Để đa thức có nghiệm là -1 thì 2a.(-1) + 4 = 0 ⇒ -2a + 4 = 0 ⇒ a = 2. Chọn A
Câu 8: Cho đa thức 2x + 3 = 0, khi đó x = -3/2. Chọn B
B. Phần tự luận (6 điểm)
Câu 1
a. (1 điểm)
Phần hệ số 2/9
Phần biến x8y9 (0.5 điểm)
b. Thay x = -1, y = 1 vào P. Ta có P = 2/9 (0.5 điểm)
Câu 2
a. Rút gọn và sắp xếp
P(x) = -5x3 - 2x + 4x4 + 3 + 3x2 - 4x4 + 10x3 - 8
= 5x3 + 3x2-2x-5 (0.75 điểm)
Q(x) = 6x2 + 5x3 - 3x5 + 4 + 8x - 4x2 + 3x5 - 10x
= 5x3 + 2x2 - 2x + 4 (0.75 điểm)
b. M(x) = P(x) + Q(x) = 10x3 + 5x2 - 4x - 1 (0.5 điểm)
N(x) = P(x) - Q(x) = x2 - 9 (0.5 điểm)
c. x = 3, x = -3 có là nghiệm của N(x) vì N(3) = N(-3) = 0 (0.5 điểm)
d. A(x) = M(x) + 2N(x)
= 10x3 + 5x2 - 4x - 1 + 2(x2 - 9)
= 10x3 + 7x2 - 4x - 19 (0.5 điểm)
Thay x = 1 vào biểu thức ta có: A(1) = -6 (0.5 điểm)
Phòng Giáo dục và Đào tạo .....
Đề kiểm tra 1 tiết Chương 4 Đại số
Môn: Toán 7
Thời gian làm bài: 45 phút
(Trắc nghiệm + Tự luận - Đề 2)
A. Phần trắc nghiệm (4 điểm)
Trong mỗi câu dưới đây, hãy chọn phương án trả lời đúng:
Câu 1: Phần biến của đơn thức 5x2y(-3/4 xy3z)(-3z) là:
Câu 2: Giá trị của đa thức 5/6 axy2(a là hằng số) tại x = 5, y = -2 là 2. Tìm a.
Câu 3: Tích của hai đơn thức là:
Câu 4: Đa thức thu gọn của đa thức 2x5y2 - 3x3y + 8 + 9xy - 2x5y2 + 4x3y - 4xy - 7 là:
A. x3y - 5xy
B. x3y + 5xy + 15
C. x5y2 + x3y + 5xy + 1
D. x3y + 5xy + 1
Câu 5: Biết C + (2x2y2 - 2xy) = 4x2y2 + 6xy + 9y - 4x + 5. Tìm C.
A. 2x2y2 + 8xy + 9y - 4x + 5
B. 6x2y2 + 8xy - 9y - 4x + 5
C. 2x2y2 + 4xy - 9y + 4x + 5
D. 6x2y2 + 4xy + 9y - 4x + 5
Câu 6: Hệ số của x4trong đa thức Q(x) = 5x4 - x5 - x2 - 2x3 + 3x2 + 3x - 2x4 + 5 là:
A. 2 B. 3 C. 5 D. 1
Câu 7: Biết đa thức f(x) = 5/4 xa + a + 1 nhận x = -4 làm nghiệm. Tìm a.
Câu 8: Nghiệm của đa thức 3x2 - 12 là:
A. x = 2, x = -2 B. x = 2
C. x = -2 D. Đa thức vô nghiệm
B. Phần tự luận (6 điểm)
Câu 1: ( 3 điểm) Cho hai đa thức
f(x) = x3 - 3x2 + 2x - 5 + x2
g(x) = -x3 - 5x + 3x2 + 3x + 4
a. Thu gọn các đa thức trên và sắp xếp theo lũy thừa giảm dần của biến.
Xác định bậc của mỗi đa thức
b. Tính f(x) + 2g(x) và 2f(x) - g(x)
c. Tính nghiệm của f(x) + g(x)
Câu 2: (2điểm) Cho hai đơn thức A = (3x4y5) (-2x3y5) và B = (-3xy2)2(-2x2y3)2
a. Hãy thu gọn các đơn thức trên
B. Cho biết bậc và chỉ rõ phần biến, phần hệ số của mỗi đơn thức
Câu 3: (1 điểm) Cho đa thức F(x) = 2ax2 + bx (a,b là hằng số). Xác định a,b để đa thức F(x) có nghiệm x=-1 và F(1)=4
Đáp án và thang điểm
A. Phần trắc nghiệm (4 điểm)
Mỗi câu trả lời đúng được 0.5 điểm
| 1 | 2 | 3 | 4 | 5 | 6 | 7 | 8 |
| B | C | D | D | A | B | C | A |
Câu 1: Chọn B
Câu 2: Chọn C
Câu 3: Chọn D
Câu 4: Ta có: 2x5y2 - 3x3y + 8 + 9xy - 2x5y2 + 4x3y - 4xy - 7 = x3y + 5xy + 1. Chọn D
Câu 5: Ta có: C = (4x2y2 + 6xy + 9y - 4x + 5) - (2x2y2 - 2xy)
= 4x2y2+ 6xy + 9y - 4x + 5 - 2x2y2 + 2xy = 2x2y2 + 8xy + 9y - 4x + 5.
Chọn A
Câu 6: Thu gọn Q(x) = 5x4 - x5 - x2 - 2x3 + 3x2 + 3x - 2x4 + 5
= -x5 + 3x4 - 2x3 + 2x2 + 3x + 5
Hệ số của x4là 3. Chọn B
Câu 7: Thay x=-4 vào f(x) ta có
5/4.(-4)a + a + 1 = 0 ⇒ -5a + a + 1 = 0
⇒ -4a + 1 = 0 ⇒ a = 1/4. Chọn C
Câu 8: Ta có 3x2 - 12 = 0 ⇒ 3x2 = 12 ⇒ x2 = 4 ⇒ x = ±2. Chọn A
B. Phần tự luận (6 điểm)
Câu 1
a. Ta có:
f(x) = x3 - 3x2 + 2x - 5 + x2 = x3 -2x2 + 2x- 5
Bậc của đa thức f(x) là 3 (0.5 điểm)
g(x) = -x3 - 5x + 3x2 + 3x + 4 = -x3 + 3x2 - 2x + 4
Bậc của đa thức g(x) là 3 (0.5 điểm)
b. Ta có f(x) + 2g(x)
= x3 - 2x2 + 2x- 5 + 2(-x3 + 3x2 - 2x + 4)
= x3 - 2x2 + 2x - 5 + (-2x3) + 6x2 - 4x + 8
=-x3 + 4x2 - 2x + 3 (0.5 điểm)
2f(x) - g(x) = x3 - 2x2 + 2x- 5 - 2(-x3+ 3x2 - 2x + 4)
= x3 - 2x2 + 2x - 5 + 2x3 - 6x2 + 4x - 8
= 3x3 - 8x2 + 6x - 13 (0.5 điểm)
c. Ta có f(x) + g(x)
=(x3 - 2x2 + 2x - 5) + (-x3 + 3x2 - 2x + 4) = x2 - 1
Ta có x2 - 1 = 0 ⇒ x2 = 1 ⇒ x = 1,x = -1
Vậy nghiệm của đa thức h(x) là x = ±1 (1 điểm)
Câu 2
a. A = (3x4y5) (-2x3y5) = 3.(-2) (x4x3) (y5y5) = -6x7y10 (0.5 điểm)
B = (-3xy2)2(-2x2y3)2= 9x2y4.4x4y6= 36x6y10 (0.5 điểm)
b. Bậc của A là 17, phần hệ số là -6, phần biến là x7y10 (0.5 điểm)
Bậc của B là 16, phần hệ số là 36, phần biến là x6y10 (0.5 điểm)
Câu 3
Cho đa thức F(x) = 2ax2 + bx (a,b là hằng số). Xác định a,b để đa thức F(x) có nghiệm x = -1 và F(1) = 4
Vì đa thức F(x) có nghiệm x = -1 nên thay F(-1) = 0
⇒ 2a - b = 0 ⇒ b = 2a (0.5 điểm)
Vì F(1) = 4 ⇒ 2a + b = 4 ⇒ b = 4 - 2a
Từ đây ta có 2a = 4 - 2a ⇒ 4a = 4 ⇒ a = 1 (0.5 điểm)
Phòng Giáo dục và Đào tạo .....
Đề kiểm tra 1 tiết Chương 4 Đại số
Môn: Toán 7
Thời gian làm bài: 45 phút
(Trắc nghiệm + Tự luận - Đề 3)
A. Phần trắc nghiệm (4 điểm)
Trong mỗi câu dưới đây, hãy chọn phương án trả lời đúng:
Câu 1: Bậc của đơn thức (-1/3 x3 y)227x3y5z3 là:
A.-3x6y6z3 B. 9x7y9z3
C.-3x9y7z3 D. 3x9y7z3
Câu 2: Đơn thức nào sau đây không đồng dạng với đơn thức -9/4 x3y7z là:
Câu 3: Giá trị của biểu thức A = 4x2y - 8x3 y2 - 15 tại x = 1/2, y = -2 là:
A. -13 B. -21 C. -17 D. -15
Câu 4: Tìm đa thức A biết (4x2 - 7x + 1) - A = (3x2 - 7x - 1)
A. 7x2 + 2 B. x2 - 14x + 2
C. x2 + 2 D. x2 - 2
Câu 5: Tổng hệ số cao nhất và hệ số tự do của đa thức x5 - 3x2 + 7x4 - 9x3 + x2 - 2x + 5x2 là:
A. 1 B. 2 C. -1 D. 4
Câu 6: Đa thức 9x2y4 - 2x6 + 3xy - 5 có bậc là:
A. 14 B. 4 C. 2 D. 6
Câu 7: Tìm a biết hai đa thức f(x) = 3x - 6 và g(x) = 5ax - 1 có cùng nghiệm.
Câu 8: x = 3 là nghiệm của đa thức
A. 2x + 6 B. x2 - 6 C. -2x + 6 D. -2x - 6
B. Phần tự luận (6 điểm)
Câu 1: (2 điểm) Cho đơn thức A = 31/16 xy2 (x3y)2 (-3x13y5 )0
a. Thu gọn đơn thức A và xác định bậc, hệ số của đa thức A
b. Tìm giá trị của đa thức A khi x = -1, y = 2
Câu 2: ( 3 điểm) Cho hai đa thức
A(x) = x5 + x2 + 5x + 6 - x5 - 3x - 5
B(x) = x4 + 2x2 - 3x - 3 - x4 - x2 + 3x + 4
a. Thu gọn và sắp xếp các đa thức trên theo lũy thừa giảm dần của biến.
b. Tính A(x) + B(x) và A(x) - B(x)
c. Chứng tỏ rằng x = -1 là nghiệm của A(x) nhưng không là nghiệm của B(x)
Câu 3: (1 điểm) Xác định hệ số a để đa thức P(x) = x2 - 4a + 4 có nghiệm là 2.
Đáp án và thang điểm
A. Phần trắc nghiệm (4 điểm)
Mỗi câu trả lời đúng được 0.5 điểm
| 1 | 2 | 3 | 4 | 5 | 6 | 7 | 8 |
| D | B | B | C | A | D | A | C |
Câu 1: Chọn D
Câu 2: Chọn B
Câu 3: Thay x = 1/2,y = -2 vào biểu thức ta có
Chọn B
Câu 4: Ta có: A = (4x2 - 7x + 1) - (3x2 - 7x - 1) = x2 + 2. Chọn C
Câu 5:
Thu gọn x5 - 3x2 + 7x4 - 9x3 + x2 - 2x + 5x2 = x5 + 7x4 - 9x3 + 3x2 - 2x
Hệ số cao nhất là 1, hệ số tự do là 0. Chọn A
Câu 6: Chọn D
Câu 7: Nghiệm của đa thức f(x) = 3x - 6 là x = 2
Để x = 2 là nghiệm của g(x) thì g(2) = 0 ⇒ 10a - 1 = 0 ⇒ a = 1/10. Chọn A
Câu 8: Chọn C
B. Phần tự luận (6 điểm)
Câu 1
a. (1 điểm)
Bậc của đa thức A là 11 (0.5 điểm)
Hệ số của A là 31/16 (0.5 điểm)
b. Thay x = -1, y = 2 vào A ta có: A = 31/16. (-1)7. 24 = -31 (1 điểm)
Câu 2
a. Ta có: A(x) = x5 + x2 + 5x + 6 - x5 - 3x - 5
= x2 + 2x + 1 (0.5 điểm)
B(x) = x4 + 2x2 - 3x - 3 - x4 - x2 + 3x + 4 = x2 + 1 (0.5 điểm)
b. Ta có:
A(x) + B(x) = x2 + 2x + 1 + x2 + 1 = 2x2 + 2x + 2 (0.5 điểm)
A(x) - B(x) = x2 + 2x + 1 - (x2 + 1) = 2x (0.5 điểm)
c. Thay x = -1 vào A(x) và B(x) ta có:
A(-1) = 0, B(-1) = 2
Vậy x = -1 là nghiệm của A(x) nhưng không là nghiệm của B(x) (1 điểm)
Câu 3
Vì đa thức P(x) = x2 - 4a + 4 nhận 2 là nghiệm nên ta có:
P(2) = 0 ⇒ 4 - 4a + 4 = 0 ⇒ 8 - 2a = 0 ⇒ a = 4 (1 điểm)
Phòng Giáo dục và Đào tạo .....
Đề kiểm tra 1 tiết Chương 4 Đại số
Môn: Toán 7
Thời gian làm bài: 45 phút
(Trắc nghiệm + Tự luận - Đề 4)
A. Phần trắc nghiệm (4 điểm)
Trong mỗi câu dưới đây, hãy chọn phương án trả lời đúng:
Câu 1: Thu gọn đơn thức 2x2y3.1/4 xy3(-3xy) ta được:
Câu 2: Cho các đơn thức sau:
Số đơn thức đồng dạng với đơn thức -x2y là:
A. 3 B. 2 C. 4 D. 5
Câu 3: Tích hai đơn thức -6/17 x2y3 và 2x3y2 là:
Câu 4: Bậc của đa thức x8 - y7 + x4y5 - 2y7 - x4y5
A. 5 B. 6 C. 7 D. 8
Câu 5: Tìm đa thức A biết A + (7x2y - 5xy2 - xy) = (x2y + 8xy2 - 5xy)
A. -6x2y + 13xy2 - 6xy
B. 6x2y + 13xy2 - 4xy
C. -6x2y + 13xy2 - 4xy
D. -6x2y + 3xy2 - 4xy
Câu 6: Giá trị của biểu thức A=-x2y3 (-2xy2 )2 tại x = 1, y = -1 là:
A. -2 B. 2 C. -4 D. 4
Câu 7: Nghiệm của đa thức (x - 1)x2 là:
A. x = 0 B. x = 1
C. x = 0, x = 1 D. x= ± 1, x = 0
Câu 8: Tìm a để đa thức (7a + 1)x - 15 nhận x = 1 làm nghiệm:
A. 2 B. -2 C. 3 D. -3
B. Phần tự luận (6 điểm)
Câu 1: (3 điểm) Cho hai đa thức
f(x) = -2x2 - 3x3 - 5x + 5x3 - x + x2 + 4x + 3 + 4x2
g(x) = 2x2 - x3 + 3x + 3x3 + x2 - x - 9x + 2
a. Thu gọn và sắp xếp các đa thức trên theo lũy thừa giảm dần của biến
b. Tính h(x) = f(x) - g(x), g(x) = f(x) + g(x)
c. Tìm nghiệm của h(x)
Câu 2: ( 2 điểm)
a. Tính giá trị của biểu thức A = 5x2 - 3x - 16 tại x = -2
b. Cho đơn thức B = 4x2y2 (-2x3y2 )2
Thu gọn và xác định hệ số, tìm bậc của đơn thức B
Câu 3: (1 điểm) Cho đa thức f(x) = -5mx + 10. Tìm m biết f(1) = 5
Đáp án và thang điểm
Mỗi câu trả lời đúng được 0.5 điểm
A. Phần trắc nghiệm (4 điểm)
Mỗi câu trả lời đúng được 0.5 điểm
| 1 | 2 | 3 | 4 | 5 | 6 | 7 | 8 |
| D | A | B | D | C | D | C | A |
Câu 1: Chọn D
Câu 2: Các đơn thức đồng dạng với đơn thức -x2 y là: Chọn A
Câu 3: Chọn B
Câu 4: Ta có: x8 - y7 + x4y5 - 2y7 - x4y5 = x8 - 2y7. Chọn D
Câu 5: Ta có: A + (7x2y - 5xy2 - xy) = (x2y + 8xy2 - 5xy)
⇒ A = (x2 y + 8xy2 - 5xy) - (7x2y - 5xy2 - xy)
= -6x2y + 13xy2 - 4xy
Chọn C
Câu 6: Thay x=1,y=-1 vào A ta có A=-12.(-1)3 (-2.1.(-1)2 )2=4. Chọn D
Câu 7: Chọn C
Câu 8: Vì đa thức (7a + 1)x - 15 nhận x = 1 làm nghiệm nên ta có
(7a + 1).1 - 15 = 0 ⇒ 7a - 14 = 0 ⇒ a = 2. Chọn A
B. Phần tự luận (6 điểm)
Câu 1
a. Ta có:
f(x) = -2x2 - 3x3 - 5x + 5x3 - x + x2 + 4x + 3 + 4x2
= 2x3 + 3x2 - 2x + 3 (0.5 điểm)
g(x) = 2x2 - x3 + 3x + 3x3 + x2 - x - 9x + 2
= 2x3 + 3x2 - 7x + 2 (0.5 điểm)
b. h(x) = (2x3 + 3x2 - 2x + 3) - (2x3 + 3x2 - 7x + 2)
= 2x3 + 3x2 - 2x + 3 - 2x3 - 3x2 + 7x - 2
= 5x + 1 (0.5 điểm)
g(x) = (2x3 + 3x2 - 2x + 3) + (2x3 + 3x2 - 7x + 2)
= 2x3 + 3x2 - 2x + 3 + 2x3 + 3x2 - 7x + 2
= 4x3 + 6x2 - 9x + 5 (0.5 điểm)
c. Ta có h(x) = 0 ⇒ 5x + 1 = 0 ⇒ x = -1/5
Vậy nghiệm của đa thức h(x) là x = -1/5 (1 điểm)
Câu 2
a. Thay x = -2 vào biểu thức A ta có
A = 5.(-2)2 - 3.(-2) - 16 = 10 (1 điểm)
b. Ta có B = 4x2y2 (-2x3y2 )2 = 4x2y24x6y4 = 16x8y6 (0.5 điểm)
Hệ số của B là 16, bậc của đơn thức B là 14 (0.5 điểm)
Câu 3
Thay x = 1 vào f(x) ta có -5m + 10 = 5
⇒ -5m = -5 ⇒ m = 1 (1 điểm)
Xem thêm Đề thi Toán 7 chọn lọc, có đáp án hay khác:
- Đề kiểm tra 15 phút Toán 7 Chương 3 Đại số có đáp án, cực hay (10 đề)
- Đề kiểm tra 1 tiết Toán 7 Chương 3 Đại số có đáp án, cực hay (8 đề)
- Đề kiểm tra 15 phút Toán 7 Chương 4 Đại số có đáp án, cực hay (16 đề)
- Đề kiểm tra 15 phút Toán 7 Chương 3 Hình học có đáp án, cực hay (16 đề)
- Đề kiểm tra 1 tiết Toán 7 Chương 3 Hình học có đáp án, cực hay (8 đề)
Lời giải bài tập lớp 7 sách mới:
- Giải bài tập Lớp 7 Kết nối tri thức
- Giải bài tập Lớp 7 Chân trời sáng tạo
- Giải bài tập Lớp 7 Cánh diều
Loạt bài Đề thi Toán lớp 7 năm 2025 học kì 1, học kì 2 có đáp án của chúng tôi được biên soạn bám sát nội dung sgk Toán 7 giúp bạn giành điểm cao trong các bài thi Toán lớp 7.
Nếu thấy hay, hãy động viên và chia sẻ nhé! Các bình luận không phù hợp với nội quy bình luận trang web sẽ bị cấm bình luận vĩnh viễn.
- Giáo án lớp 7 (các môn học)
- Giáo án điện tử lớp 7 (các môn học)
- Giáo án Toán 7
- Giáo án Ngữ văn 7
- Giáo án Tiếng Anh 7
- Giáo án Khoa học tự nhiên 7
- Giáo án Lịch Sử 7
- Giáo án Địa Lí 7
- Giáo án GDCD 7
- Giáo án Tin học 7
- Giáo án Công nghệ 7
- Giáo án HĐTN 7
- Giáo án Hoạt động trải nghiệm 7
- Giáo án Vật Lí 7
- Giáo án Sinh học 7
- Giáo án Hóa học 7
- Giáo án Âm nhạc 7
- Đề thi lớp 7 (các môn học)
- Đề thi Ngữ Văn 7 (có đáp án)
- Chuyên đề Tiếng Việt lớp 7
- Đề thi Toán 7 (có đáp án)
- Đề cương ôn tập Toán 7
- Đề thi Tiếng Anh 7 (có đáp án)
- Đề thi Khoa học tự nhiên 7 (có đáp án)
- Đề thi Lịch Sử & Địa Lí 7 (có đáp án)
- Đề thi Địa Lí 7 (có đáp án)
- Đề thi Lịch Sử 7 (có đáp án)
- Đề thi GDCD 7 (có đáp án)
- Đề thi Công nghệ 7 (có đáp án)
- Đề thi Tin học 7 (có đáp án)
Giải bài tập SGK & SBT
Tài liệu giáo viên
Sách
Khóa học
Thi online
Hỏi đáp



