Đề kiểm tra 15 phút Toán 7 Chương 4 Kết nối tri thức, Chân trời sáng tạo, Cánh diều
Đề kiểm tra 15 phút Toán 7 Chương 4 Kết nối tri thức, Chân trời sáng tạo, Cánh diều
Để ôn luyện và làm tốt các bài kiểm tra Toán lớp 7,dưới đây là Đề kiểm tra 15 phút Toán 7 Chương 4 Kết nối tri thức, Chân trời sáng tạo, Cánh diều năm 2026 hay, chi tiết. Hi vọng bộ đề kiểm tra này sẽ giúp bạn ôn luyện & đạt điểm cao trong các bài kiểm tra môn Toán lớp 7.
Đề kiểm tra 15 phút Toán 7 Chương 4 Kết nối tri thức (10 đề)
Đề kiểm tra 15 phút Toán 7 Chương 4 Chân trời sáng tạo (10 đề)
Phòng Giáo dục và Đào tạo ...
Đề kiểm tra Học kì 1 - Kết nối tri thức
năm 2026
Môn: Toán 7 - Chương 4
Thời gian làm bài: 15 phút
(Đề số 1)
Bài 1. Cho tam giác ABC có ∠B = ∠C . Trên tia đối của tia BA lấy điểm M và trên tia đối của tia CA lấy điểm N sao cho BM=CN. Nối BN và CM. Hãy so sánh hai đoạn thẳng BN và CM.
Bài 2.Cho tam giác đều AB có AH ⊥BC (H ∈ BH) và BK ⊥AC (K ∈ AC), AH và BK cắt nhau tại O. Tia Cx song song với KB cắt tia AH ở M. Hỏi ΔMBC là tam giác gì?
-------------- HẾT ----------------
Phòng Giáo dục và Đào tạo ...
Đề kiểm tra Học kì 1 - Cánh diều
năm 2026
Môn: Toán 7 - Chương 4
Thời gian làm bài: 15 phút
(Đề số 1)
Bài 1:Cho hình vẽ bên, cho biết Ax // Cy. So sánh ∠ABC với ∠A + ∠C.
Bài 2. Cho định lí: “Hai góc cùng bù một góc thứ ba thì bằng nhau”.
a) Viết giả thiết, kết luận của định lí trên;
b) Vẽ hình cho định lí trên;
c) Chứng minh định lí.
-------------- HẾT ----------------
Phòng Giáo dục và Đào tạo ...
Đề kiểm tra Học kì 1 - Chân trời sáng tạo
năm 2026
Môn: Toán 7 - Chương 4
Thời gian làm bài: 15 phút
(Đề số 1)
Bài 1: Hai đường thẳng xz và yt cắt nhau tại A như hình vẽ bên dưới, hãy xác định các cặp góc đối đỉnh, kề bù có trong hình vẽ.
Bài 2. Cho hình vẽ, biết . Chứng minh Ax // Cy.
-------------- HẾT ----------------
Lưu trữ: Đề kiểm tra 15 phút Toán 7 Chương 4 Đại số (sách cũ)
Phần Đơn thức - Đề kiểm tra 15 phút (Trắc nghiệm)
Phòng Giáo dục và Đào tạo .....
Đề kiểm tra 15 phút Chương 4 Đại số (phần Đơn thức)
Môn: Toán 7
Thời gian làm bài: 15 phút
(Trắc nghiệm - Đề 1)
Trong mỗi câu dưới đây, hãy chọn phương án trả lời đúng:
Câu 1: Chu vi của một tam giác đều có cạnh là a được biểu thị bằng biểu thức đại số nào dưới đây?
A. 3a B.2a C.3(1 + a) D.a3
Câu 2: Đơn thức thu gọn của đơn thức là:
Câu 3: Tích của hai đơn thức x2 yz và (1/2 xy)2 là:
Câu 4: Tổng của hai đơn thức là:
Câu 5: Bậc của đơn thức 5x2 y3 z2 yx là:
A. 7 B. 8 C. 9 D. 10
Câu 6: Giá trị của biểu thức A = 2x3yz - yz tại x = 1, y = 2, z = -1 là:
A.-4 B.2 C.-2 D.4
Câu 7: Trong các biểu thức sau, biểu thức nào là đơn thức?
A. 1- xy2 B.2x + 3y C.2xy(1 - x) D. 3ayx(-3xy)
Câu 8: Hệ số của đơn thức (-1/2 xy2 )2là
Câu 9: Cho đơn thức A = x2 y3 z. Khẳng định nào sau đây sai?
A. Đơn thức A có bậc là 5
B. Giá trị của A tại x = 1, y = -1, z = 2 là -2
C. Hệ số của đơn thức A là 0
D. Đơn thức A đồng dạng với đơn thức-3y3 x2 z
Câu 10: Biết rằng đơn thức 1/3 ax2 y3 nhận giá trị bằng 8/3 khi x = 1, y = 2. Tìm a?
A. 1 B. 2 C. 3 D. 4
Đáp án và thang điểm
Mỗi câu trả lời đúng được 1 điểm
| 1 | 2 | 3 | 4 | 5 |
| A | D | B | A | C |
| 6 | 7 | 8 | 9 | 10 |
| C | D | B | C | A |
Câu 1: Chọn A
Câu 2: Ta có: Chọn D
Câu 3: Chọn B
Câu 4: Ta có: Chọn A
Câu 5: Ta có: 5x2y3z2 yx = 5.(x2x)(y3.y)z2 = 5x3y4z2. Chọn C
Câu 6: Thay x = 1, y = 2, z = -1 vào biểu thức ta có
(2.1)3.2.(-1)-2.(-1) = -2.
Chọn C
Câu 7: Chọn D
Câu 8:
Ta có: . Hệ số của đơn thức là 1/4. Chọn B
Câu 9: Chọn C
Câu 10: Thay x = 1, y = 2 vào Chọn A
Phòng Giáo dục và Đào tạo .....
Đề kiểm tra 15 phút Chương 4 Đại số (phần Đơn thức)
Môn: Toán 7
Thời gian làm bài: 15 phút
(Trắc nghiệm - Đề 2)
Trong mỗi câu dưới đây, hãy chọn phương án trả lời đúng:
Câu 1: Trong các khẳng định sau, khẳng định nào sai?
A. Số 1 là đơn thức
B. Số 0 là đơn thức bậc 0
C. Đơn thức x2yz có phần hệ số bằng 0
D. Hai đơn thức x2y và -x2y đồng dạng
Câu 2: Đơn thức thu gọn của đơn thức là:
Câu 3: Đơn thức đồng dạng với đơn thức -7/2 x5 y2 là:
Câu 4: Bậc của đơn thức A = 3/4 (xy)2xy2 là:
A. 5 B. 6 C. 7 D. 8
Ta có:
Câu 5: Giá trị của biểu thức x2 + 5x - 6 tại x = 2 là:
A. 5 B. 6 C. 7 D. 8
Câu 6: Kết quả thu gọn của biểu thức -5x2y5 - 2x2y5 + 3x2y5
A. -4x2y5 B. -7x2y5
C. -4x5y2 D. 4x2y5
Câu 7: Trong các biểu thức sau, biểu thức nào không là đơn thức?
A. -6x2yx B. 1 C. 6xy(-3x2y) D. 3xy(1-x)
Câu 8: Tìm a để bậc của đơn thức 5xay2 bằng 5
A. 3 B. 2 C. 5 D. 4
Câu 9: Tích của hai đơn thức là:
Câu 10: Phần hệ số của đơn thức là:
A. 6 B. 9 C.-6 D.-9
Đáp án và thang điểm
Mỗi câu trả lời đúng được 1 điểm
| 1 | 2 | 3 | 4 | 5 |
| C | B | A | C | D |
| 6 | 7 | 8 | 9 | 10 |
| A | D | A | D | C |
Câu 1: Chọn C
Câu 2: Chọn B
Câu 3: Chọn A
Câu 4: Bậc của đơn thức là 3 + 4 = 7. Chọn C
Câu 5: Thay x = 2 vào biểu thức ta có 22 + 5.2 - 6 = 8. Chọn D
Câu 6: Chọn A
Câu 7: Chọn D
Câu 8: Ta có: a + 2 = 5 ⇒ a = 3. Chọn A
Câu 9: Chọn D
Câu 10: Ta có phần hệ số của đơn thức là: 9.(-2/3) = -6. Chọn C
Phòng Giáo dục và Đào tạo .....
Đề kiểm tra 15 phút Chương 4 Đại số (phần Đơn thức)
Môn: Toán 7
Thời gian làm bài: 15 phút
(Trắc nghiệm - Đề 3)
Trong mỗi câu dưới đây, hãy chọn phương án trả lời đúng:
Câu 1: Một hình chữ nhật có chiều dài là a(m), chiều rộng ngắn hơn chiều dài 3(m). Biểu thức biểu thị diện tích hình chữ nhật đó là:
A. a(a + 3) B. a(a - 3) C. a2 + 3 D. a3 - 3
Câu 2: Đơn thức thu gọn của đơn thức A = -2x2 y(-1/3)2 xy là:
Câu 3: Tích của hai đơn thức 1/4 x2 y3 và (-3xy) là:
Câu 4: Cho các đơn thức sau: (-x)2 yz2,(-5x)2y2z2 , -1/2x2yz2, 3xy2z và 7x2y2z. Số đơn thức đồng dạng với đơn thức 3/2 x2yz2 là:
A. 0 B. 1 C. 2 D. 3
Câu 5: Giá trị của biểu thức x2 y3 + xy tại x = 1,y = 1/2 là:
Câu 6: Tổng các đơn thức đồng dạng -4x2y5, -1/4 x2 y5 và 2x2 y5 là:
Câu 7: Bậc của đơn thức B = -2/3 x2 yz2 xyz2 là:
A. 9 B. 8 C. 7 D. 6
Câu 8: Cho đơn thức A = xa yx2 yb. Giá trị của a,b để A đồng dạng với đơn thức x5 y2 là:
A. a = 1,b = 1 B. a = 3,b = 0
C. a = 1,b = 3 D.a = 3,b = 1
Câu 9: Trong các biểu thức sau, biểu thức nào là đơn thức?
A. 2x(1 + y) B. x2-1 C. -2ax2 D. 1-x
Câu 10: Tìm a để hệ số của tổng hai đơn thức 2ax4 y,x4 y bằng 3
A. 1 B. 2 C. 3 D. 4
Đáp án và thang điểm
Mỗi câu trả lời đúng được 1 điểm
| 1 | 2 | 3 | 4 | 5 |
| B | C | D | C | B |
| 6 | 7 | 8 | 9 | 10 |
| B | A | D | C | A |
Câu 1: Chiều rộng là a - 3 (m). Khi đó diện tích là a(a - 3). Chọn B
Câu 2: Chọn C
Câu 3: Chọn D
Câu 4: Chọn C
Đơn thức đồng dạng với đơn thức 3/2x2yz2 là:
-x2yz2 và -1/2x2yz2.
Câu 5: Chọn B
Thay x=1,y=1/2 vào biểu thứcCâu 6: Chọn B
Câu 7: Bậc của đơn thức là 3 + 2 + 4 = 9. Chọn A
Câu 8: Ta có: A = xayx2yb = (xa x2 )(yyb )=xa+2 y1+b
Để A đồng dạng với đơn thức x5y2 thì a + 2 = 5, 1 + b = 2. Khi đó a = 3, b = 1
Chọn D
Câu 9: Chọn C
Câu 10: Ta có tổng 2ax4y + x4 y = (2a + 1) x4y
Vì hệ số của đơn thức bằng 3 nên 2a + 1 = 3 ⇒ a = 1. Chọn A
Phòng Giáo dục và Đào tạo .....
Đề kiểm tra 15 phút Chương 4 Đại số (phần Đơn thức)
Môn: Toán 7
Thời gian làm bài: 15 phút
(Trắc nghiệm - Đề 4)
Trong mỗi câu dưới đây, hãy chọn phương án trả lời đúng:
Câu 1: Một xe máy đi từ A đến B với vận tốc là a(km/h) trong khoảng thời gian là t(h). Biểu thức biểu thị quãng đường AB là:
A. at B. a + t C. a/t D. 2at
Câu 2: Trong các biểu thức sau, biểu thức nào không là đơn thức?
Câu 3: Đơn thức thu gọn của đơn thức A = (-1/3 xy)3x2y2z3là:
A. x3y3z3 B. -x3y3z3 C. -x3y3z2 D. -(1/9 x)3y3z^3
Câu 4: Tích của hai đơn thức là:
Câu 5: Đơn thức đồng dạng với đơn thức -3x2yz là:
Câu 6: Bậc của đơn thức là:
A. 7 B. 8 C. 9 D. 10
Câu 7: Giá trị của biểu thức 1/3 x2y2-3xy tại x = 1,y = -3 là:
A. 12 B. 11 C. 10 D. 9
Câu 8: Tổng ba đơn thức đồng dạng 3x2y, -1/2 x2y và -2x2y là:
Câu 9: Cho đơn thức A = x2y3z. Khẳng định nào sau đây sai?
A. Đơn thức A có bậc là 5
B. Giá trị của A tại x = 1, y = -1, z = 2 là -2
C. Hệ số của đơn thức A là 0
D. Đơn thức A đồng dạng với đơn thức -3y3x2z
Câu 10: Tìm a để bậc của đơn thức -2xayz bằng 4
A. 1 B. 2 C. 3 D. 4
Đáp án và thang điểm
Mỗi câu trả lời đúng được 1 điểm
| 1 | 2 | 3 | 4 | 5 |
| A | A | B | C | C |
| 6 | 7 | 8 | 9 | 10 |
| D | A | A | C | B |
Câu 1: Chọn A
Câu 2: Chọn A
Câu 3: Chọn B
Câu 4: Chọn C
Câu 5: Chọn C
Câu 6: Chọn D
Bậc của đơn thức là 4 + 6 = 10.
Câu 7: Thay x = 1, y = -3 vào biểu thức ta có 1/3. 12.(-3)2- 3.1.(-3) = 12.
Chọn A
Câu 8: Chọn A
Ta có:
Câu 9: Chọn C
Câu 10: Ta có: a + 1 + 1 = 4 ⇒ a = 2. Chọn B
Phần Đơn thức - Đề kiểm tra 15 phút (Trắc nghiệm + Tự luận)
Phòng Giáo dục và Đào tạo .....
Đề kiểm tra 15 phút Chương 4 Đại số (phần Đơn thức)
Môn: Toán 7
Thời gian làm bài: 15 phút
(Trắc nghiệm + Tự luận - Đề 1)
A. Phần trắc nghiệm (3 điểm)
Trong mỗi câu dưới đây, hãy chọn phương án trả lời đúng:
Câu 1: Trong các biểu thức sau, biểu thức nào không phải là đơn thức?
A. 2(1 + x) B. –x.y2 C. 2y(-xy) D. -2
Câu 2: Giá trị của đơn thức A = -1/2 x3y2tại x = 2, y = -1 là:
A. 4 B. -4 C. 2 D. -2
Câu 3: Cho các đơn thức sau: -3x2y; 1,2x2y; -5xy2; 1/2 x2y; 3/4 〖xy〗2;x2y
Số các đơn thức đồng dạng với đơn thức (-x2y) là:
A. 1 B. 2 C. 3 D. 4
Câu 4: Bậc của đơn thức A = -3x6(yz)2y3 là:
A.10 B.11 C.12 D.13
Câu 5: Cho đơn thức P = (-2x3y),Q = 1/2 x3y. Đơn thức R thỏa mãn P + R = Q là:
Câu 6: Tích của hai đơn thức 1/5 x5y và (-xy) là:
B. Phần tự luận (7 điểm)
Câu 1: (5 điểm): Cho đơn thức M = 3x2y3(-1/3)(xy)22xy
a. Thu gọn đơn thức, xác định bậc của đơn thức M
b. Chỉ rõ phần hệ số, phần biến của đơn thức M
c. Tính giá trị của đơn thức tại x = -1 và y = 2
d. Tìm đơn thức R biết R=M.(1/2 xy)2
Câu 2: (2 điểm): Tìm số a,b để đơn thức -3axayb(xy)2 có bậc là 7 và phần hệ số bằng -6
Đáp án và thang điểm
A. Phần trắc nghiệm (3 điểm)
Mỗi câu trả lời đúng được 0.5 điểm
| 1 | 2 | 3 | 4 | 5 | 6 |
| A | B | D | C | B | D |
Câu 1: Chọn A
Câu 2: Chọn B
Thay x = 2, y = -1 vào A = -1/2 x3y2
Ta có A = -1/2 . 23.(-1)2 = -4.
Câu 3: Đó là các đơn thức -3x2y; 1,2x2y; 1/2 x2y; x2y. Chọn D
Câu 4: Thu gọn đơn thức ta có A = -3x6(yz)2y3= -3.x6y4z2
Khi đó bậc của đơn thức là 6 + 4 + 2 = 12. Chọn C
Câu 5: Ta có P + R = Q ⇒ R = Q - R = 1/2 x3y-(-2) x3y =5 /2 x3y. Chọn B
Câu 6: Chọn D
B. Phần tự luận (7 điểm)
Câu 1
a. Thu gọn
1 điểm
Bậc của đa thức là: 4 + 6 = 10 1 điểm
b. Phần hệ số của đơn thức M là -2 0,5 điểm
Phần biến của đơn thức M là x4y6 0,5 điểm
c. Thay x = -1, y = 2 vào biểu thức M ta có
M = -2(-1)426 = -128 1 điểm
d. 1 điểm
Câu 2
Thu gọn
-3axaybxy2 = -3axa + 1 yb + 2 1 điểm
Vì đơn thức có bậc là 7 và phần hệ số bằng -6 nên
1 điểm
Phòng Giáo dục và Đào tạo .....
Đề kiểm tra 15 phút Chương 4 Đại số (phần Đơn thức)
Môn: Toán 7
Thời gian làm bài: 15 phút
(Trắc nghiệm + Tự luận - Đề 2)
A. Phần trắc nghiệm (3 điểm)
Trong mỗi câu dưới đây, hãy chọn phương án trả lời đúng:
Câu 1: Phần hệ số của đơn thức x3y2z là
A. 0 B. 1 C. 2 D. -1
Câu 2: Bậc của đơn thức
là:
A. 5 B. 4 C. 3 D. 2
Câu 3: Giá trị của đơn thức -1/3 x2y tại x = 3, y = 1 là:
A. 1 B.-1 C. 3 D.-3
Câu 4: Đơn thức đồng dạng với đơn thức
là:
Câu 5: Thu gọn đơn thức ta được đơn thức là
Câu 6: Tích của hai đơn thức 1/4 x3y và -2x3y5là:
B. Phần tự luận (7 điểm)
Câu 1: (5 điểm): Cho hai đơn thức A = 3x2y2,
a. Tính M = A3B2, xác định bậc của M.
b. Chỉ rõ phần hệ số, phần biến của đơn thức M
c. Tính giá trị của đơn thức tại x = 1, y = -1 và z = 2
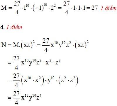
d. Tính N = M.(xz)2
Câu 2: (2 điểm): Tìm số a,b để đơn thức -6xayb(x2y)3 đồng dạng với đơn thức -x6y7
Đáp án và thang điểm
A. Phần trắc nghiệm (3 điểm)
Mỗi câu trả lời đúng được 0.5 điểm
| 1 | 2 | 3 | 4 | 5 | 6 |
| B | A | D | B | D | A |
Câu 1: Chọn B
Câu 2: Thu gọn 1/2 xy2x2 = 1/2 x3y2.
Bậc của đơn thức là 5. Chọn A
Câu 3: Thay x = 3, y = 1 vào biểu thức ta có -1/3 .(3)2.1 = -3. Chọn D
Câu 4: Chọn B
Câu 5: Chọn D
Câu 6: Chọn A
B. Phần tự luận (7 điểm)
Câu 1
a. Ta có:
Bậc của M là 10 + 10 + 2 = 22
b. Phần hệ số của đơn thức M là
0,5 điểm
Phần biến của đơn thức M là x10 y10 z2 0,5 điểm
c. Thay x = 1, y = -1 và z = 2 vào đơn thức M ta có:
Câu 2
Thu gọn:
Vì đơn thức đồng dạng với đơn thức -x6.y7nên ta có
a + 6 = 6 ⇒ a = 0 0,5 điểm
b + 3 = 7 ⇒ b = 4 0,5 điểm
Phòng Giáo dục và Đào tạo .....
Đề kiểm tra 15 phút Chương 4 Đại số (phần Đơn thức)
Môn: Toán 7
Thời gian làm bài: 15 phút
(Trắc nghiệm + Tự luận - Đề 3)
A. Phần trắc nghiệm (3 điểm)
Trong mỗi câu dưới đây, hãy chọn phương án trả lời đúng:
Câu 1: Trong các biểu thức sau, biểu thức nào là đơn thức?
A. 3xz(-xy + 1) B.2(1 + x) C. 2xy(-2z) D.3xy(1 + x)
Câu 2: Khẳng định nào sau đây đúng về đơn thức 1/2 xy2
A. Đơn thức có bậc là 3
B. Hệ số của đơn thức là 1/2
C. Đồng dạng với đơn thức -xy2
D. Giá trị của đơn thức tại x = 2, y = -1 là -1
Câu 3: Đơn thức đồng dạng với đơn thức √3xyz3là:
Câu 4: Bậc của đơn thức -7/9 x3yx5 là:
A. 7 B. 8 C. 9 D. 6
Câu 5: Cho đơn thức Đơn thức P - Q là:
Câu 6: Giá trị của đơn thức A = 1/4 x2y3tại x = 2, y = 3 là:
A. 9 B. 81 C. 27 D. 18
B. Phần tự luận (7 điểm)
Câu 1: (5 điểm): Cho đơn thức M = -3xy2z3.(-2/3 xy2z)
a. Thu gọn đơn thức, xác định bậc của đơn thức M
b. Chỉ rõ phần hệ số, phần biến của đơn thức M
c. Tính giá trị của đơn thức tại x = 2, y = 1 và z = 1/2
d. Biết M + N = 0. Tìm N
Câu 2: (2 điểm): Biết đơn thức A = (a + 1) x2y (a là hằng số) có giá trị bằng 8 khi x = -2 và y = 2. Tìm a?
Đáp án và thang điểm
A. Phần trắc nghiệm (3 điểm)
Mỗi câu trả lời đúng được 0.5 điểm
| 1 | 2 | 3 | 4 | 5 | 6 |
| C | D | B | C | A | C |
Câu 1: Chọn C
Câu 2: Chọn D
Câu 3: Chọn B
Câu 4: Thu gọn
Bậc của đơn thức là 9. Chọn C
Câu 5: Chọn A
Câu 6: Thay x = 2, y = 3 vào biểu thức A ta có A = 1/4 .22.33= 27. Chọn C
B. Phần tự luận (7 điểm)
Câu 1
a. Thu gọn (1 điểm)
Bậc của đa thức là: 2 + 4 + 4 = 10 (1 điểm)
b. Phần hệ số của đơn thức M là 2 (0.5 điểm)
Phần biến của đơn thức M là x2y4y4 (0.5 điểm)
c. Thay x = 2, y = 1, z = 1/2 vào biểu thức M ta có
(1 điểm)
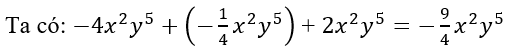
d. Vì M + N = 0 => N = - M = -2x2y4z4 (1 điểm)
Câu 2
Thay x = -2 và y = 2 vào biểu thức A = (a + 1) x2y (1 điểm)
Ta có: (a + 1)(-2)2.2 = 8.
Từ đây suy ra 8(a + 1) = 8 ⇒ a + 1 = 1 ⇒ a = 0 (1 điểm)
Phòng Giáo dục và Đào tạo .....
Đề kiểm tra 15 phút Chương 4 Đại số (phần Đơn thức)
Môn: Toán 7
Thời gian làm bài: 15 phút
(Trắc nghiệm + Tự luận - Đề 4)
A. Phần trắc nghiệm (3 điểm)
Trong mỗi câu dưới đây, hãy chọn phương án trả lời đúng:
Câu 1: Thu gọn đơn thức ta được đơn thức:
Câu 2: Cho hai đơn thức Tổng của hai đơn thức P+Q là:
Câu 3: Giá trị của đơn thức A = (-2x2y) tại x = 2,y = -3 là:
A. 8 B. 12 C. 24 D. 20
Thay x = 2, y = -3 vào đơn thức A ta có A = -(2.2)2.(-3) = 24
Câu 4: Bậc của đơn thức A = (xy)2 là:
A. 3 B. 4 C. 2 D. 1
Ta có A=(xy)2=x2y2. Bậc của đơn thức là 4
Câu 5: Cho các đơn thức sau:
Đơn thức đồng dạng với đơn thức xy2là:
A. 0 B. 1 C. 2 D. 3
Đơn thức đồng dạng với xy2là
Câu 6: Tích của hai đơn thức -2xyz và 3/2 x2y là
A. -3x3y2z B.-3/4 x3y2z C. 3x3y2z D. 4x3y2z
B. Phần tự luận (7 điểm)
Câu 1: (5 điểm): Cho đơn thức M = 5x3y3(-2/5) x3yxy2
a. Thu gọn đơn thức, xác định bậc của đơn thức M
b. Chỉ rõ phần hệ số, phần biến của đơn thức M
c. Tính giá trị của đơn thức tại x = 2 và y = 1/2
d. Tìm đơn thức R biết R = M.(xy)2
Câu 2: (2 điểm): Tìm số a để đơn thức -5/2 xayb(xy)2 đồng dạng với đơn thức -2x3y4
Đáp án và thang điểm
A. Phần trắc nghiệm (3 điểm)
Mỗi câu trả lời đúng được 0.5 điểm
| 1 | 2 | 3 | 4 | 5 | 6 |
| D | B | C | B | D | A |
Câu 1: Chọn D
Thu gọn
Câu 2: Chọn B
Ta có:
Câu 3: Thay x = 2, y = -3 vào đơn thức ta có A = -(2.2)2.(-3) = 24. Chọn C
Câu 4: Ta có A = (xy)2= x2y2.Bậc của đơn thức là 4. Chọn B
Câu 5: Các đơn thức đồng dạng là: -xy2, -1/3 xy2, 3xy2. Chọn D
Câu 6: Chọn A
B. Phần tự luận (7 điểm)
Câu 1
a. Thu gọn (1 điểm)
Bậc của đa thức là: 7 + 6 = 13 (1 điểm)
b. Phần hệ số của đơn thức M là -2 (0.5 điểm)
Phần biến của đơn thức M là x7y6 (0.5 điểm)
c. Thay x = 2,y = 1/2 vào biểu thức M ta có
M = -(2.2)7.(1/2)6 = -4 (1 điểm)
d. R = M.(xy)2= -2x7y6x2y2
= -2(x7x2)(y6y2) = -2x9y8 (1 điểm)
Câu 2
Thu gọn (1 điểm)
Vì đơn thức đồng dạng với đơn thức -2x3y4 (1 điểm)
Phần Đa thức - Đề kiểm tra 15 phút (Trắc nghiệm)
Phòng Giáo dục và Đào tạo .....
Đề kiểm tra 15 phút Chương 4 Đại số (phần Đa thức)
Môn: Toán 7
Thời gian làm bài: 15 phút
(Trắc nghiệm - Đề 1)
Trong mỗi câu dưới đây, hãy chọn phương án trả lời đúng:
Câu 1: Đa thức 2x + 1 = 0 có nghiệm là:
A. x = 1/2 B. x = -1/2
C. x = -2 D. x = -1
Câu 2: Giá trị x = 2 là nghiệm của đa thức:
A. x2-2x B. 2x + x2
C. x2-1/2 x D. x + 2
Câu 3: Nghiệm của đa thức f(x) = x2 + 1 là:
A. x = 1 B. x = -1
C. x = ±1 D. Không có nghiệm
Câu 4: Cho đa thức g(x) = x2 - 4. Nghiệm của g(x) là:
A. x = ±2 B. x = 2
C. x = -2 D. Không có nghiệm
Câu 5: Cho hai đa thức f(x) = 2x2 - 5x - 3 và g(x) = -2x2- 2x + 1. Nghiệm của đa thức f(x) + g(x) = 0 là:
Câu 6: Cho các đa thức sau f(x) = - x - 3, g(x) = x2 + 3, h(x) = x2-9, k(x) = x2-2x-15. Số các đa thức nhận x = -3 là nghiệm trong các đa thức trên là:
A. 1 B. 2 C. 3 D. 4
Câu 7: Xác định hệ số a để đa thức P(x) = x2-5x + a có một nghiệm là 2
A. a = 4 B. a = 5 C. a = 6 D. a = 7
Câu 8: Cho đa thức P(x) = x2 + 2ax. Biết 2P(1) = P(3). Tính a?
Câu 9: Gọi a là nghiệm của đa thức f(x) = 3x + 1, b là nghiệm của đa thức g(x) = - x - 1/2. Kết luận nào sau đây là đúng về a và b
A. a > b B. a < b
C. a = b D. Không kết luận được
Câu 10: Cho đa thức f(x) = 2x2 - 18. Kết luận nào sau đây là sai về đa thức f(x).
A. Đa thức f(x) là đa thức một biến có bậc là 2
B. Đa thức f(x) có hai nghiệm là x = ±3
C. Đa thức f(x) có hệ số bậc cao nhất là -18, hệ số tự do là 2
D. Tổng các nghiệm của đa thức f(x) bằng 0
Đáp án và thang điểm
A. Phần trắc nghiệm (3 điểm)
Mỗi câu trả lời đúng được 1 điểm
| 1 | 2 | 3 | 4 | 5 |
| B | A | D | A | C |
| 6 | 7 | 8 | 9 | 10 |
| C | C | B | A | C |
Câu 1: Ta có 2x + 1 = 0 ⇒ 2x = -1 ⇒ x = -1/2 . Chọn B
Câu 2: Thay x = 2 vào đa thức x2 - 2x ta có 22 - 2.2 = 0 nên x = 2 là nghiệm của x2 - 2x. Chọn A
Câu 3: Ta có x2 ≥ 0 ⇒ x2 + 1 > 0. Đa thức vô nghiệm. Chọn D
Câu 4:
Thay x = 2 vào g(x) ta có g(2) = 22 - 4 = 0
Thay x = -2 vào g(x) ta có g(-2) = (-2)2 - 4 = 0
Nên x = ±2 là nghiệm của g(x). Chọn A
Câu 5: Ta có f(x) + g(x) = (2x2 - 5x - 3) + (-2x2 - 2x + 1) = -7x - 2
Cho -7x - 2 = 0 ⇒ x = -2/7. Chọn C
Câu 6: Ta có
f(-3) = - (-3) - 3 = 0,
g(-3) = (-3)2 + 3 = 12,
h(-3) = (-3)2 - 9 = 0,
k(-3) = (-3)2-2.(-3) - 15 = 0
Nên x = -3 là nghiệm của f(x), g(x), k(x). Chọn C
Câu 7: Để x = 2 là nghiệm của đa thức P(x) = x2 - 5x + a thì P(2) = 0
Khi đó ta có 22 - 5.2 + a = 0 ⇒ -6 + a = 0 ⇒ a = 6. Chọn C
Câu 8: Ta có P(1) = 1 + 2a, P(3) = 9 + 6a.
Vì 2P(1) = P(3) ⇒ 2(1 + 2a) = 9 + 6a ⇒ 2 + 4a = 9 + 6a ⇒ a = -7/2. Chọn B
Câu 9: Chọn A
Câu 10: Đa thức f(x) có hệ số bậc cao nhất là 2, hệ số tự do là -18. Chọn C
Phòng Giáo dục và Đào tạo .....
Đề kiểm tra 15 phút Chương 4 Đại số (phần Đa thức)
Môn: Toán 7
Thời gian làm bài: 15 phút
(Trắc nghiệm - Đề 2)
Trong mỗi câu dưới đây, hãy chọn phương án trả lời đúng:
Câu 1: Bậc của đa thức là: là:
A. 3 B. 4 C. 5 D. 6
Câu 2: Đa thức thu gọn của đa thức: x6 + x2 y5 + xy6 + x2 y5 - xy6 là:
A. x6 + 2x5 y2
B. x6 + 2x2 y5 - 2xy6
C. x6 - 2x2 y5
D. x6 + 2x2 y5
Câu 3: Cho hai đa thức P = x2 y + xy2 - 5x2 y2 + x3, Q = 3xy2 - x2 y + x2 y2
Tổng P + Q là đa thức nào dưới đây?
A. -4x2 y2 - x3 + 4xy2
B. -4x2 y2 + x3 + 4xy2
C. 4x2 y2 + x3 + 4xy2
D. -4x2 y2 + x3 - 4xy2
Câu 4: Giá trị của đa thức 1/3 x2 y2 - xy - 1 tại x = 3, y = 1 là:
A. 6 B. -4 C. 4 D. -6
Câu 5: Cho đa thức
P(x) = 3x2 - 3x - 1 + x4
Q(x) = 5x3 + 2x4 - x2 - 5x3 - x4 + 1 + 3x2 + 5x2
Tìm đa thức R(x) sao cho P(x) + R(x) = Q(x)
A. 4x2 + 3x + 2 B. 4x2 - 3x + 2
C.-4x2 + 3x + 2 D. 4x2 + 3x - 2
Câu 6: Hệ số cao nhất và hệ số tự do của đa thức 4x6-3x2 + 5/2 x5-2x6-2 là:
A. -2 và 4 B. 4 và -2
C. 2 và -2 D. -2 và 2
Câu 7: Nghiệm của đa thức 4x + 5 là:
Câu 8: x = 1 là nghiệm của đa thức nào dưới đây?
A. -x + 1 B. -x2-1 C. x2 + x D. x2 + 1
Câu 9: Tìm a để đa thức f(x) = 2ax + 1 nhận x = 1/2 là nghiệm?
A. 1 B.-1 C.-2 D. 2
Câu 10: Cho f(x) = 4x2 + 9x - 4, g(x) = -4x2 - 5x + 2. Tìm nghiệm của đa thức f(x) + g(x)?
Đáp án và thang điểm
Mỗi câu trả lời đúng được 1 điểm
| 1 | 2 | 3 | 4 | 5 |
| C | D | B | B | A |
| 6 | 7 | 8 | 9 | 10 |
| C | B | A | B | A |
Câu 1: Chọn C
Câu 2: Ta có: x6 + x2 y5 + xy6 + x2 y5-xy6 = x6 + 2x2 y5. Chọn D
Câu 3:
Ta có P + Q=x2 y + xy2 - 5x2 y2 + x3 + 3xy2 - x2 y + x2 y2
= -4x2 y2 + x3 + 4xy2
Chọn B
Câu 4: Thay x = 3, y = 1 vào đa thức ta có giá trị của đa thức là
1/3.32.12 - 3.2 - 1 = -4
Chọn B
Câu 5: Thu gọn Q(x) = x4 + 7x2 + 1
Khi đó R(x) = Q(x) - P(x) = 4x2 + 3x + 2. Chọn A
Câu 6: Thu gọn 4x6 - 3x2 + 5/2 x5 - 2x6-2 = 2x6 + 5/2 x5-3x2-2
Hệ số cao nhất là 2, hệ số tự do là -2. Chọn C
Câu 7: Ta có 4x + 5 = 0 ⇒ x = -5/4. Chọn B
Câu 8: Chọn A
Câu 9: Thay x = 1/2 vào biểu thức ta có f(1/2) = 2a.1/2 + 1 = 0 ⇒ a + 1 = 0 ⇒ a = -1
Chọn B
Câu 10: Ta có f(x) + g(x) = 4x-2.
Cho 4x - 2 = 0 ⇒ 4x = 2 ⇒ x = 1/2. Chọn A
Phòng Giáo dục và Đào tạo .....
Đề kiểm tra 15 phút Chương 4 Đại số (phần Đa thức)
Môn: Toán 7
Thời gian làm bài: 15 phút
(Trắc nghiệm - Đề 3)
Trong mỗi câu dưới đây, hãy chọn phương án trả lời đúng:
Câu 1: Giá trị của đa thức x2 y2 + xy + x3 + y3 tại x = -1, y = 3 là
A. 29 B. 30 C. 31 D. 32
Câu 2: Bậc của đa thức A = x2 y5 - xy4 + y6 + 1
A. 7 B. 5 C. 6 D. 8
Câu 3: Cho đa thức x3 + 2x5 - x4 + x2 - 2x3 + x - 1 , tổng hệ số cao nhất và hệ số tự do của đa thức là:
A. -1 B. 3 C. 1 D. 2
Câu 4: Cho biểu thức M = 1/3 x2 y2 - xy3 + x4 y. Khẳng định nào dưới đây là sai?
A. M là đa thức bậc 4
B. Hệ số của -xy3 là -1
C. Giá trị của M khi x = 1, y = 1 là 1/3
D. M là đa thức 2 biến
Câu 5: Tính tổng của hai đa thức
A = 2x3 + x2 - 4x + 2x3 + 5 và B = 6x + 3x3 - 2x + x2 - 5
A. 7x3 - 2x2 - 10 B. 7x3 + 2x2 + 2x
C. 7x3 + 2x2 D. 5x3 + 2x2 - x
Câu 6: Cho các đa thức x2 - 16, (-x) + 4, -1/4 x + 1, 4x + 1. Số các đa thức nhận x = 4 là nghiệm là:
A. 3 B. 2 C. 4 D. 1
Câu 7: Thu gọn đa thức x2 + 2xy - 3x3 + 2y3 + 3x3 - y3 ta được đa thức
A. -x3 + x2 + 2xy + y3
B. x3 + x2 + 2xy + y3
C. x2 + 2xy + y3
D. x2 + 2xy - y3
Câu 8: Trong các số sau, số nào là nghiệm của đa thức f(x) = x2 + 5x - 14
A. 1 B. 2 C. 3 D. 4
Câu 9: Nghiệm của đa thức f(x) = (x - 1)(x2 + 1) là:
A. x = 2 B. x = -1 C. x = 0 D. x = 1
Câu 10: Tìm a để hai đa thức f(x)=2x-2 và g(x)=ax2-x có cùng nghiệm
A. a = -2 B. a = -1 C. a = 2 D. a = 1
Đáp án và thang điểm
Mỗi câu trả lời đúng được 1 điểm
| 1 | 2 | 3 | 4 | 5 |
| D | A | C | A | C |
| 6 | 7 | 8 | 9 | 10 |
| A | C | B | D | D |
Câu 1: Thay x = -1, y = 3 vào đa thức, ta có giá trị của đa thức là:
(-1)2.32 + (-1).3 + (-1)3 + 33 = 32.
Chọn D
Câu 2: Chọn A
Câu 3:
Thu gọn x3 + 2x5 - x4 + x2 - 2x3 + x - 1
= 2x5 - x4 - x3 + x2 + x - 1
Hệ số cao nhất là 2, hệ số tự do là -1. Tổng là 2 + (-1) = 1. Chọn C
Câu 4: Chọn A
Câu 5: Chọn C
Ta có A + B = (2x3 + x2 - 4x + 2x3 + 5) + (6x + 3x3 - 2x + x2 - 5)
= 7x3 + 2x2 .
Câu 6: x = 4 là nghiệm của các đa thức x2-16, (-x) + 4, -1/4 x + 1. Chọn A
Câu 7: Chọn C
Ta có x2 + 2xy - 3x3 + 2y3 + 3x3-y3 = x2 + 2xy + y3.
Câu 8: Ta có f(2) = 22 + 5.2 - 10 = 0. Chọn B
Câu 9: Thay x = 1 vào f(x) ta có f(1) = (1 - 1)(12 + 1) = 0. Chọn D
Câu 10: Ta có f(x) = 2x - 2 = 0 khi x=1
Để g(x) có nghiệm là 1 thì g(1) = 0 hay a.12-1 = 0 ⇒ a = 1. Chọn D
Phòng Giáo dục và Đào tạo .....
Đề kiểm tra 15 phút Chương 4 Đại số (phần Đa thức)
Môn: Toán 7
Thời gian làm bài: 15 phút
(Trắc nghiệm - Đề 4)
Trong mỗi câu dưới đây, hãy chọn phương án trả lời đúng:
Câu 1: Đa thức thu gọn của đa thức 1/2 x2y3- x2y3+ 3x2y2z2- z4 - 3x2y2z2
A. -1/2 x2y3-z4 - 3x2y2z2
B. -1/2 x2y3- z4
C. 1/2 x2y3- z4 - 6x2y2z2
D. 1/2 x2y3- z4
Câu 2: Cho hai đa thức N = 5x2- 3xy, M = 5xy + 2x2- 2y2. Tìm đa thức P biết P + N = M
A. -3x2+ 8xy - 2y2 B. 7x2+ 2xy - 2y2
C. -3x2- 8xy + 2y2 D. -x2+ 8xy + 2x2
Câu 3: Hệ số tự do của đa thức P(x) = (15x2- 7x-x3) + (2x - 12x2+ 7x3)
A. -7 B. 1 C. 2 D. 0
Câu 4: Cho hai đa thức f(x) = -x2- 2x - 1, g(x) = x2+ 3x - 1. Tìm nghiệm cúa đa thức f(x) + g(x) là:
A. x = -2 B. x = -1 C. x = 1 D. x = 2
Câu 5: Giá trị của đa thức -1/2 x2y2+ 3xy - 2 tại x = 2, y = 3 là:
A. 14 B. 16 C. -2 D. -6
Câu 6: Trong các đa thức sau, đa thức nào có bậc cao nhất?
A. 3xyz - 3x2+ 5xy - 1
B, x3y2+ 5 - 1,3y2
C. x2y + xy2- 5x2y2+ x3
D. x2yz + y3- xz
Câu 7: Giả sử a là nghiệm của đa thức f(x) = 3x + 4, b là nghiệm của đa thức g(x) = -4x - 5. Kết luận nào sau đây là đúng?
A. a < b B. a > b
C. a = b D. Không kết luận được
Câu 8: Nghiệm của đa thức f(x) = (x - 1)(x + 2) là:
A. x = 1 B. x = -2 C. x = 1, -2 D. x = -2
Câu 9: Tìm a để đa thức P(x) = ax - 3 có giá trị bằng 2 khi x = -1
A. a = -3 B. a = 1 C. a = 5 D. a = -5
Câu 10: x = 5 là nghiệm của đa thức nào dưới đây?
A. x5 - 5 B. 1/5x - 1 C. x2+ 25 D. -x - 5
Đáp án và thang điểm
Mỗi câu trả lời đúng được 1 điểm
| 1 | 2 | 3 | 4 | 5 |
| B | A | D | D | C |
| 6 | 7 | 8 | 9 | 10 |
| B | A | C | D | B |
Câu 1: Chọn B
Ta có: 1/2 x2y3 - x2y3+ 3x2y2z2- z4 - 3x2y2z2
= -1/2 x2y3 - z4.
Câu 2: Chọn A
Ta có P + N = M ⇒ P = M - N
= 5xy + 2x2- 2y2-5x2+ 3xy
= -3x2+ 8xy - 2y2
Câu 3: Chọn D
Câu 4: Ta có: f(x) + g(x) = x - 2. Cho x - 2 = 0 ⇒ x = 2. Chọn D
Câu 5: Chọn C
Thay x = 2, y = 3 vào đa thức, giá trị đa thức là:
-1/2.22.32+ 3.2.3 - 2 = -2.
Câu 6: Chọn B
Câu 7: Chọn A
Ta có f(x) = 0 ⇒ 3x + 4 = 0 ⇒ x = -4/3 ⇒ a = -4/3
g(x) = 0 ⇒ -4x - 5 = 0 ⇒ x = -5/4 ⇒ b = -5/4
Vì -4/3 < -5/4 nên a < b.
Câu 8: Ta có f(1) = 0, f(-2) = 0 nên x = 1, x = -2 là nghiệm của đa thức
Chọn C
Câu 9: Chọn D
Thay x = -1 vào P(x)
Ta có a.(-1) - 3 = 2 ⇒ -a - 3 = 2
⇒ a = -5
Câu 10: Chọn B
Phần Đa thức - Đề kiểm tra 15 phút (Trắc nghiệm + Tự luận)
Phòng Giáo dục và Đào tạo .....
Đề kiểm tra 15 phút Chương 4 Đại số (phần Đa thức)
Môn: Toán 7
Thời gian làm bài: 15 phút
(Trắc nghiệm + Tự luận - Đề 1)
A. Phần trắc nghiệm (3 điểm)
Trong mỗi câu dưới đây, hãy chọn phương án trả lời đúng:
Câu 1: Bậc của đa thức xyz - 4x2 y2 + 5x - 1/2 là:
A. 5 B. 2 C. 4 D. 3
Câu 2: Thu gọn đa thức x3 - 5y2 + x + x3 - y2 - x ta được
A. 2x3 - 6y2 B. 2x3 + 6y2
C. 2x3 - 6y2 - 2y D. 2x3 - 6y2 + y
Câu 3: Hệ số tự do của đa thức 2x2 - y2 + 3 là:
A. 0 B. 2 C. -1 D. 3
Câu 4: Giá trị của đa thức 3x2 - xy + 1 tại x = 1, y = 1 là:
A. 4 B. 3 C. -3 D. -4
Câu 5: Cho P = x2 + y2 + z2, Q = 2x2 - y2 + 3z2. Tính tổng P + Q
A. 3x2 + 4z2 - 2y2 B. 3x2 + 4z2
C. 3x2 - 4z2 D. 3x2 + 4z2 + 2y2
Câu 6: Nghiệm của đa thức 2x - 3 là:
B. Phần tự luận (7 điểm)
Câu 1: (5 điểm) Cho hai da thức
A(x) = 5x3 - 3x2 - 2 + 5x - 7x4 + 2x
B(x) = -5x3 + 7x4 + 3x2 - 3x + 4
a. Thu gọn và sắp xếp mỗi đa thức trên theo lũy thừa giảm của biến
b. Tính A(x) + B(x), A(x) - B(x)
c. Tìm nghiệm của đa thức tổng C(x) = A(x) + B(x)
d. Tính giá trị của D(x) = A(x) - B(x) khi x = 1
Câu 2: (2 điểm) Tìm hệ số m để đa thức P(m) = mx2 - 1 có nghiệm là 3
Đáp án và thang điểm
A. Phần trắc nghiệm (3 điểm)
Mỗi câu trả lời đúng được 0.5 điểm
| 1 | 2 | 3 | 4 | 5 | 6 |
| C | A | D | B | B | A |
Câu 1: Chọn C
Câu 2: Ta có: x3 - 5y2 + x + x3 - y2 - x = 2x3 - 6y2. Chọn A
Câu 3: Chọn D
Câu 4: Thay x = 1, y = 1 vào đa thức ta có: 3.12 - 1.1 + 1 = 3. Chọn B
Câu 5: Chọn B
Ta có: P + Q = (x2 + y2 + z2 ) + (2x2 - y2 + 3z2 ) = 3x2 + 4z2.
Câu 6: Chọn A
B. Phần tự luận (7 điểm)
Câu 1
a. Ta có:
A(x) = 5x3 - 3x2 - 2 + 5x - 7x4 + 2x
= -7x4 + 5x3 - 3x2 + 7x - 2 (0.5 điểm)
B(x) = -5x3 + 7x4 + 3x2 - 3x + 4
=7x4 - 5x3 + 3x2 - 3x + 4 (0.5 điểm)
b. Ta có
A(x) + B(x) = 4x + 2 (1 điểm)
A(x) - B(x) = -14x4 + 10x3 - 6x2 + 10x - 6 (1 điểm)
c. Ta có: C(x) = A(x) + B(x) = 4x + 2 = 0
⇔4x = -2 ⇔x = -1/2 (1 điểm)
d. Thay x = 1 vào biểu thức D(x) ta có
D(1)= -14 + 10 - 6 + 10 - 6 = -6 (1 điểm)
Câu 2
Vì đa thức P(m) = mx2 - 1 có nghiệm là 3 nên ta có
m.32 - 1 = 0 ⇒ 3m = 1 ⇒ m = 1/3 (2 điểm)
Phòng Giáo dục và Đào tạo .....
Đề kiểm tra 15 phút Chương 4 Đại số (phần Đa thức)
Môn: Toán 7
Thời gian làm bài: 15 phút
(Trắc nghiệm + Tự luận - Đề 2)
A. Phần trắc nghiệm (3 điểm)
Trong mỗi câu dưới đây, hãy chọn phương án trả lời đúng:
Câu 1: Giá trị của biểu thức x - 2y2 + z3 tại x = 4, y = -1, z = -1 là:
A. 2 B. 1 C. -1 D. -2
Câu 2: Bậc của đa thức x2y2 + xy + x3 + y3 là:
A. 4 B. 3 C. 2 D. 5
Câu 3: Kết quả của phép trừ (4x2 - 2x2 + 3x + 1) - (3x2 + 4x - 5) là:
A. x2 - x + 6 B. -x2 + x-6
C. -x2 + x + 6 D. -x2 - x + 6
Câu 4: Cho A(x) = 2x2 + x - 1, B(x)= x - 1. Tại x = 1, giá trị của đa thức A(x) - B(x) là:
A. 1 B. 2 C. 3 D. -1
Câu 5: Nghiệm của đa thức f(x) = (x - 10)(x2 + 1) là:
A. x = 10, x = ±1 B. x = 10, x = 1
C. x = 10 D. x = 10, x = -1
Câu 6: x = 3 là nghiệm của đa thức nào dưới đây?
A. x - 3 B. x2 + 3x C. 3x + 1 D. 2x + 6
B. Phần tự luận (7 điểm)
Câu 1: (5 điểm) Cho hai đa thức
A(x) = -4x5 - x3 + 4x2 + 5x + 7 + 4x5 - 6x2
B(x) = -3x4 - 4x3 + 10x2 - 8x + 5x3 - 7 + 8x
a. Thu gọn mỗi đa thức trên rồi sắp xếp theo lũy thừa giảm dần của biến.
b. Tính P(x) = A(x) + B(x) và Q(x) = A(x) - B(x)
c. Chứng tỏ rằng x = -1 là nghiệm của đa thức P(x).
d. So sánh P(1) và Q(1)
Câu 2: (2 điểm) Biết đa thức f(x) = 5x2 + ax nhận x = 1 là nghiệm. Tìm a?
Đáp án và thang điểm
A. Phần trắc nghiệm (3 điểm)
Mỗi câu trả lời đúng được 0.5 điểm
| 1 | 2 | 3 | 4 | 5 | 6 |
| B | A | D | B | C | A |
Câu 1: Thay x = 4, y = -1, z = -1 vào biểu thức ta có giá trị của biểu thức là:
4-2.(-1)2 + (-1)3 = 1. Chọn B
Câu 2: Chọn A
Câu 3: Ta có (4x2 - 2x2 + 3x + 1) - (3x2 + 4x - 5)
= 4x2 - 2x2 + 3x + 1 - 3x2 - 4x + 5 = -x2 - x + 6. Chọn D
Câu 4: Ta có: A(x) - B(x) = 2x2 + x - 1 - x + 1 = 2x2
Thay x = 1 vào biểu thức ta có giá trị của biểu thức bằng 2. Chọn B
Câu 5: Ta có f(10) = (10 - 10)(102 + 1) = 0. Nên f(x) nhận x = 10 là nghiệm. Chọn C
Câu 6: Chọn A
B. Phần tự luận (7 điểm)
Câu 1
a. Ta có:
A(x)= -4x5 - x3 + 4x2 + 5x + 7 + 4x5 - 6x2
= -x3 - 2x2 + 5x + 7 (0.5 điểm)
B(x) = -3x4 - 4x3 + 10x2 - 8x + 5x3 - 7 + 8x
= -3x4 + x3 + 10x2 - 7 (0.5 điểm)
b. P(x) = A(x) + B(x) = -3x4 + 8x2 + 5x
Q(x) = A(x) - B(x) = 3x4 - 2x3 - 12x2 + 5x + 14 (1 điểm)
c. Thay x = -1 vào P(x) ta có:
-3.(-1)4 + 8.(-1)2 + 5.(-1) = 0
Vậy x = -1 là nghiệm của P(x) (1 điểm)
d. Ta có P(1) = 10, Q(1) = 8
Vậy P(1) > Q(1) (1 điểm)
Câu 2
Vì đa thức f(x) = 5x2 + ax nhận x = 1 là nghiệm nên ta có: 5.12 + a.1 = 0 ⇒ 5 + a = 0 ⇒ a = -5 (2 điểm)
Phòng Giáo dục và Đào tạo .....
Đề kiểm tra 15 phút Chương 4 Đại số (phần Đa thức)
Môn: Toán 7
Thời gian làm bài: 15 phút
(Trắc nghiệm + Tự luận - Đề 3)
A. Phần trắc nghiệm (3 điểm)
Trong mỗi câu dưới đây, hãy chọn phương án trả lời đúng:
Câu 1: Bậc của đa thức 3xy - x2y3 + 5xy3 là:
A. 3 B. 4 C. 5 D. 2
Câu 2: Hệ số của x5 trong đa thức 7x5 - 3x2 - 3x + 5x6 - 3x5 - 1 là:
A. 4 B. 7 C. -3 D. 5
Câu 3: Cho M(x) + (3x2 - 7x) = 4x2 - 8x. Khi đó M(x) là:
A. x2 - 15x B. x2 + x
C. 7x2 - 15x D. x2 - x
Câu 4: Giá trị của đa thức h(x) = x4 + 2x2 + 1 tại x = -1 là:
A. 4 B. 2 C. 5 D. 0
Câu 5: Cho hai đa thức f(x) = -x + 6 và g(x) = x2 - 36. Đa thức nào nhận x = 6 là nghiệm
A. f(x) C. f(x) và g(x)
B. g(x) D. Không có đa thức nào
Câu 6: Nghiệm của đa thức -1/2 x là:
A. 1 B. 0 C. 2 D. -2
B. Phần tự luận (7 điểm)
Câu 1: (5 điểm) Cho hai đa thức P(x) = 2x3 - 2x + x2 + 3x + 2,
Q(x) = 4x3 - 3x2 - 3x + 4x - 3x2 + 4x2 + 1
a. Thu gọn và sắp xếp các đa thức trên theo lũy thừa giảm dần của biến
b. Tính P(x)-Q(x), P(x) + Q(x)
c. x = -1 có là nghiệm của P(x) không? Vì sao?
d. Tính giá trị của Q(x) khi x = 1
Câu 2: (2 điểm) Biết rằng H(x) = 5ax + 2 nhận giá trị bằng -3 khi x = 1.Tìm a
Đáp án và thang điểm
A. Phần trắc nghiệm (3 điểm)
Mỗi câu trả lời đúng được 0.5 điểm
| 1 | 2 | 3 | 4 | 5 | 6 |
| C | A | D | A | C | B |
Câu 1: Chọn C
Câu 2: Thu gọn 7x5 - 3x2 - 3x + 5x6 - 3x5 - 1 = 5x6 + 4x5 - 3x2 - 3x - 1
Chọn A
Câu 3: Ta có M(x) = 4x2 - 8x - (3x2 - 7x) = x2 - x. Chọn D
Câu 4: Thay x = -1 vào đa thức ta có h(x) = (-1)4 + 2.(-1)2 + 1 = 4.
Chọn A
Câu 5: Ta có f(0) = -6 + 6 = 0, g(0) = 62 - 36 = 0. Chọn C
Câu 6: Chọn B
B. Phần tự luận (7 điểm)
Câu 1
a. Ta có
P(x) = 2x3 - 2x + x2 + 3x + 2
= 2x3 + x2 + x + 2 (0.5 điểm)
Q(x) = 4x3 - 3x2 - 3x + 4x - 3x2 + 4x2 + 1
= 4x3 - 2x2 + x + 1 (0.5 điểm)
b. P(x) + Q(x) = (2x3 + x2 + x + 2) + (4x3 - 2x2 + x + 1)
= 6x3 - x2 + 2x + 3 (1 điểm)
P(x) - Q(x) = (2x3 + x2 + x + 2) - (4x3 - 2x2 + x + 1)
= -2x3 + 3x2 + 1 (1 điểm)
c. Thay x = -1 vào P(x) ta có:
P(-1) = 2.(-1)3 + (-1)2 + (-1) + 2 = 0
Vậy x = -1 là nghiệm của P(x) (1 điểm)
d. Thay x = 1 vào Q(x) ta có:
Q(1) = 4.13 - 2.12 + 1 + 1 = 4 (1 điểm)
Câu 2
Vì H(x) = 5ax + 2 nhận giá trị bằng -3 khi x = 1 nên ta có:
5a.1 + 2 = -3 ⇒ 5a = -5 ⇒ a = -1 (2 điểm)
Phòng Giáo dục và Đào tạo .....
Đề kiểm tra 15 phút Chương 4 Đại số (phần Đa thức)
Môn: Toán 7
Thời gian làm bài: 15 phút
(Trắc nghiệm + Tự luận - Đề 4)
A. Phần trắc nghiệm (3 điểm)
Trong mỗi câu dưới đây, hãy chọn phương án trả lời đúng:
Câu 1: Trong các đa thức sau, đa thức nào có bậc cao nhất?
A. x + 2x5-4x3 + 9
B. x3 + x2 y2 + 7x4 + 1
C. y4 + 3x2 y + xy
D. 3xy2 - x3 y + 10yz
Câu 2: Giá trị của A = 3x2 - 2x - 5 tại x = -1 là:
A. 1 B. 0 C. -4 D. 2
Câu 3: Cho P(x) = 3x2 - 5x + 2, Q(x) = 3x2 + 5x. Khi đó P(x) + Q(x) là:
A. 6x2 - 2 B. 9x2 + 2 C. 6x2 + 2 D. 6x2 - 10x + 2
Câu 4: Hệ số cao nhất và hệ số tự do của đa thức 3x3 - 5x - 3x2 - 1 - 2x3 + 2 là:
A. 1 và 3 B. 3 và 2 C. 1 và 1 D. 2 và 1
Câu 5: Số nghiệm của đa thức 3x2 + 5 là:
A. 0 B. 1 C. 2 D. 3
Câu 6: Đa thức f(x) = 2x2 - 3x + 1 nhận số nào sau đây là nghiệm
A. -1 B. 1 C. 2 D. -2
B. Phần tự luận (7 điểm)
Câu 1: (5 điểm) Cho hai đa thức sau:
P(x) = 5x3 + 3x - 4x4 - 2x3 + 4x2
Q(x) = 2x4-x + 3x2 - 2x3 + 1/4-x5
a. Sắp xếp các đa thức trên theo lũy thừa giảm dần của biến
b. Xác định bậc, hệ số tự do, hệ số cao nhất của mỗi đa thức P(x),Q(x)
c. Tính P(x) + Q(x) ; P(x) - Q(x)
d. Chứng tỏ x = 0 là nghiệm của P(x) nhưng không phải là nghiệm của Q(x)
Câu 2: (2 điểm) Cho đa thức P(x) = ax2 + 2x + 1 nhận giá trị bằng 5 khi x = 1. Tìm a?
Đáp án và thang điểm
A. Phần trắc nghiệm (3 điểm)
Mỗi câu trả lời đúng được 0.5 điểm
| 1 | 2 | 3 | 4 | 5 | 6 |
| A | B | C | C | A | B |
Câu 1: Chọn A
Câu 2: Thay x = -1 vào biểu thức, ta có A = 3.(-1)2 - 2.(-1) - 5 = 0.
Chọn B
Câu 3: Ta có P(x) + Q(x) = 3x2 - 5x + 2 + 3x2 + 5x = 6x2 + 2. Chọn C
Câu 4: Thu gọn 3x3 - 5x - 3x2 - 1 - 2x3 + 2 = x3 - 3x2 - 5x + 1. Chọn C
Câu 5: Ta có 3x2 ≥ 0 ⇒ 3x2 + 5 > 0. Đa thức vô nghiệm. Chọn A
Câu 6: Ta có f(1) = 2.12 - 3.1 + 1 = 0 ⇒ x = 1 là nghiệm của đa thức.
Chọn B
B. Phần tự luận (7 điểm)
Câu 1
a Ta có:
P(x) = 5x3 + 3x - 4x4 - 2x3 + 4x2
= -4x4 + 3x3 + 4x2 + 3x (0.5 điểm)
Q(x) = 2x4 - x + 3x2 - 2x3 + 1/4 - x5
= -x5 + 2x4 - 2x3 + 3x2 - x + 1/4 (0.5 điểm)
b Bậc của P(x) là 4, hệ số cao nhất là -4, hệ số tự do là 0 (0.5 điểm)
Bậc của Q(x) là 4, hệ số cao nhất là -1, hệ số tự do là 1/4 (0.5 điểm)
c Ta có:
P(x) + Q(x) = -x5 - 2x4 + x3 + 7x2 + 2x + 1/4 (1 điểm)
P(x) - Q(x) = x5 - 6x4 + 5x3 + x2 + 4x - 1/4 (1 điểm)
d Ta có P(0) = 0, Q(0) = 1/4 nên x = 0 là nghiệm của P(x) nhưng không phải là nghiệm của Q(x) (1 điểm)
Câu 2
Vì đa thức P(x) = ax2 + 2x + 1 nhận giá trị bằng 5 khi x = 1 nên ta có:
a.12 + 2.1 + 1 = 0 ⇒ a + 3 = 0 ⇒ a = -3 (2 điểm)
Xem thêm Đề thi Toán 7 chọn lọc, có đáp án hay khác:
- Đề kiểm tra 15 phút Toán 7 Chương 3 Đại số có đáp án, cực hay (10 đề)
- Đề kiểm tra 1 tiết Toán 7 Chương 3 Đại số có đáp án, cực hay (8 đề)
- Đề kiểm tra 1 tiết Toán 7 Chương 4 Đại số có đáp án, cực hay (8 đề)
- Đề kiểm tra 15 phút Toán 7 Chương 3 Hình học có đáp án, cực hay (16 đề)
- Đề kiểm tra 1 tiết Toán 7 Chương 3 Hình học có đáp án, cực hay (8 đề)
Lời giải bài tập lớp 7 sách mới:
- Giải bài tập Lớp 7 Kết nối tri thức
- Giải bài tập Lớp 7 Chân trời sáng tạo
- Giải bài tập Lớp 7 Cánh diều
Loạt bài Đề thi Toán lớp 7 năm 2025 học kì 1, học kì 2 có đáp án của chúng tôi được biên soạn bám sát nội dung sgk Toán 7 giúp bạn giành điểm cao trong các bài thi Toán lớp 7.
Nếu thấy hay, hãy động viên và chia sẻ nhé! Các bình luận không phù hợp với nội quy bình luận trang web sẽ bị cấm bình luận vĩnh viễn.
- Giáo án lớp 7 (các môn học)
- Giáo án điện tử lớp 7 (các môn học)
- Giáo án Toán 7
- Giáo án Ngữ văn 7
- Giáo án Tiếng Anh 7
- Giáo án Khoa học tự nhiên 7
- Giáo án Lịch Sử 7
- Giáo án Địa Lí 7
- Giáo án GDCD 7
- Giáo án Tin học 7
- Giáo án Công nghệ 7
- Giáo án HĐTN 7
- Giáo án Hoạt động trải nghiệm 7
- Giáo án Vật Lí 7
- Giáo án Sinh học 7
- Giáo án Hóa học 7
- Giáo án Âm nhạc 7
- Đề thi lớp 7 (các môn học)
- Đề thi Ngữ Văn 7 (có đáp án)
- Chuyên đề Tiếng Việt lớp 7
- Đề thi Toán 7 (có đáp án)
- Đề cương ôn tập Toán 7
- Đề thi Tiếng Anh 7 (có đáp án)
- Đề thi Khoa học tự nhiên 7 (có đáp án)
- Đề thi Lịch Sử & Địa Lí 7 (có đáp án)
- Đề thi Địa Lí 7 (có đáp án)
- Đề thi Lịch Sử 7 (có đáp án)
- Đề thi GDCD 7 (có đáp án)
- Đề thi Công nghệ 7 (có đáp án)
- Đề thi Tin học 7 (có đáp án)
Giải bài tập SGK & SBT
Tài liệu giáo viên
Sách
Khóa học
Thi online
Hỏi đáp



