Đề thi Giữa kì 2 Toán 7 trường THCS Uy Nỗ (Hà Nội) năm 2024-2025
Với đề thi Giữa kì 2 Toán 7 trường THCS Uy Nỗ, Hà Nội năm 2024-2025 có đáp án sẽ giúp học sinh lớp 7 ôn tập và đạt điểm cao trong bài thi Toán 7.
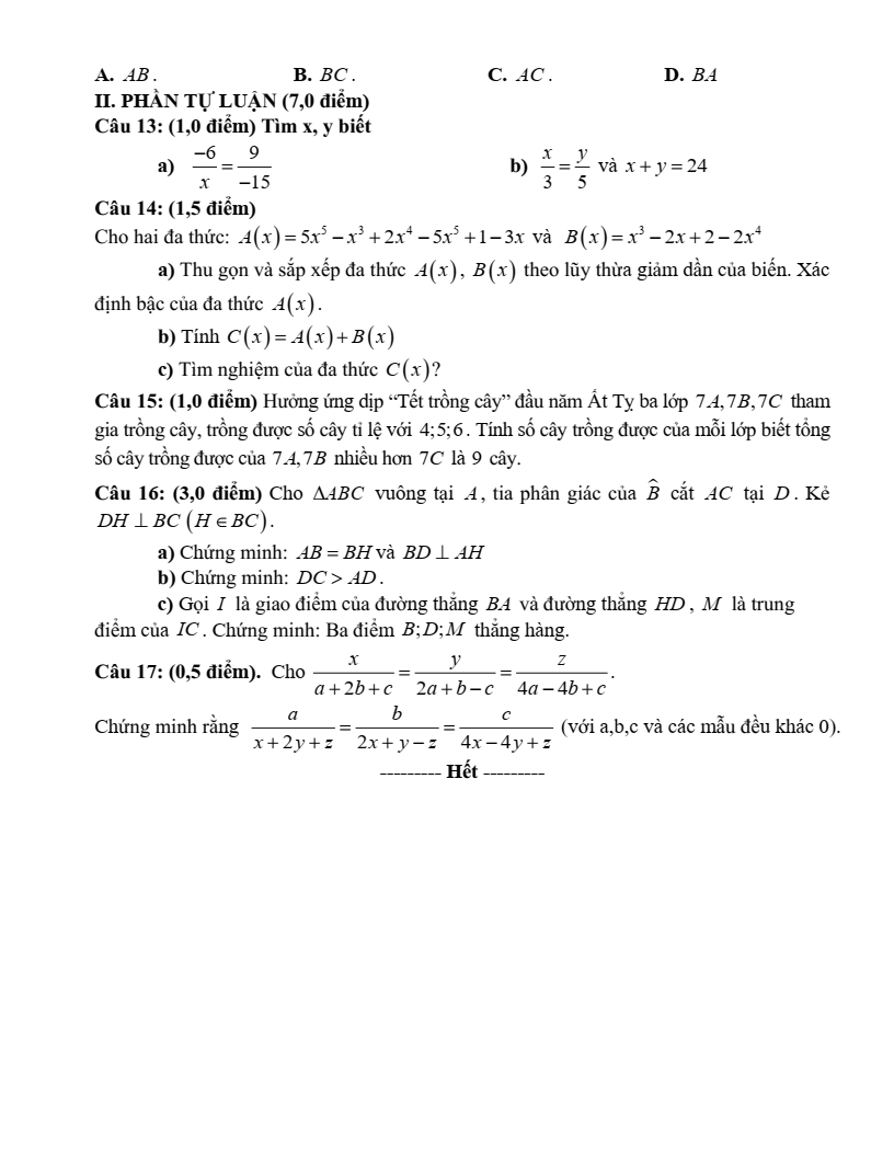
Đề thi Giữa kì 2 Toán 7 trường THCS Uy Nỗ (Hà Nội) năm 2024-2025
Xem thử Đề Toán 7 GK2 KNTT Xem thử Đề Toán 7 GK2 CD Xem thử Đề Toán 7 GK2 CTST
Chỉ từ 150k mua trọn bộ Đề thi Toán 7 Giữa kì 2 (mỗi bộ sách) theo cấu trúc mới bản word có lời giải chi tiết:
- B1: gửi phí vào tk:
1133836868- CT TNHH DAU TU VA DV GD VIETJACK - Ngân hàng MB (QR) - B2: Nhắn tin tới Zalo VietJack Official - nhấn vào đây để thông báo và nhận đề thi
Xem thử Đề Toán 7 GK2 KNTT Xem thử Đề Toán 7 GK2 CD Xem thử Đề Toán 7 GK2 CTST
Xem thêm đề thi Toán 7 Giữa kì 2 các trường trên cả nước hay khác:
Đề thi Giữa kì 2 Toán 7 trường THCS Thanh Mỹ (Hà Nội) năm 2024-2025
Đề thi Giữa kì 2 Toán 7 trường THCS Ngô Sĩ Liên (Hà Nội) năm 2024-2025
Đề thi Giữa kì 2 Toán 7 trường THCS Cầu Giấy (Hà Nội) năm 2024-2025
Đề thi Giữa kì 2 Toán 7 trường THCS Nguyễn Huệ (Bà Rịa - Vũng Tàu) năm 2024-2025
Đề thi Giữa kì 2 Toán 7 trường THCS Phước Bửu (Bà Rịa - Vũng Tàu) năm 2024-2025
Đề thi Giữa kì 2 Toán 7 phòng GD&ĐT Bình Thạnh (Tp.HCM) năm 2024-2025
Đề thi Giữa kì 2 Toán 7 phòng GD&ĐT Quận 3 (Tp.HCM) năm 2024-2025
Đề thi Giữa kì 2 Toán 7 trường THCS Nội Duệ (Bắc Ninh) năm 2024-2025
Đề thi Giữa kì 2 Toán 7 phòng GD&ĐT Lương Tài (Bắc Ninh) năm 2024-2025
Đề thi Giữa kì 2 Toán 7 phòng GD&ĐT Thuận Thành (Bắc Ninh) năm 2024-2025
Lời giải bài tập lớp 7 sách mới:
- Giải bài tập Lớp 7 Kết nối tri thức
- Giải bài tập Lớp 7 Chân trời sáng tạo
- Giải bài tập Lớp 7 Cánh diều
Tủ sách VIETJACK shopee lớp 6-8 (2025):
Đã có app VietJack trên điện thoại, giải bài tập SGK, SBT Soạn văn, Văn mẫu, Thi online, Bài giảng....miễn phí. Tải ngay ứng dụng trên Android và iOS.
Theo dõi chúng tôi miễn phí trên mạng xã hội facebook và youtube:Tuyển tập Đề thi các môn học lớp 7 năm 2025 học kì 1, học kì 2 được các Giáo viên hàng đầu biên soạn bám sát chương trình và cấu trúc ra đề thi trắc nghiệm và tự luận mới.
Nếu thấy hay, hãy động viên và chia sẻ nhé! Các bình luận không phù hợp với nội quy bình luận trang web sẽ bị cấm bình luận vĩnh viễn.
- Giáo án lớp 7 (các môn học)
- Giáo án điện tử lớp 7 (các môn học)
- Giáo án Toán 7
- Giáo án Ngữ văn 7
- Giáo án Tiếng Anh 7
- Giáo án Khoa học tự nhiên 7
- Giáo án Lịch Sử 7
- Giáo án Địa Lí 7
- Giáo án GDCD 7
- Giáo án Tin học 7
- Giáo án Công nghệ 7
- Giáo án HĐTN 7
- Giáo án Hoạt động trải nghiệm 7
- Giáo án Vật Lí 7
- Giáo án Sinh học 7
- Giáo án Hóa học 7
- Giáo án Âm nhạc 7
- Đề thi lớp 7 (các môn học)
- Đề thi Ngữ Văn 7 (có đáp án)
- Chuyên đề Tiếng Việt lớp 7
- Đề thi Toán 7 (có đáp án)
- Đề cương ôn tập Toán 7
- Đề thi Tiếng Anh 7 (có đáp án)
- Đề thi Khoa học tự nhiên 7 (có đáp án)
- Đề thi Lịch Sử & Địa Lí 7 (có đáp án)
- Đề thi Địa Lí 7 (có đáp án)
- Đề thi Lịch Sử 7 (có đáp án)
- Đề thi GDCD 7 (có đáp án)
- Đề thi Công nghệ 7 (có đáp án)
- Đề thi Tin học 7 (có đáp án)


Giải bài tập SGK & SBT
Tài liệu giáo viên
Sách
Khóa học
Thi online
Hỏi đáp

