Đề kiểm tra 45 phút Toán 8 Chương 2 Đại Số có đáp án (Đề 1)
Đề kiểm tra 45 phút Toán 8 Chương 2 Đại Số có đáp án (Đề 1)
Thời gian làm bài: 45 phút
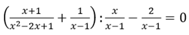
Bài 1: (3 điểm) Rút gọn biểu thức:
Bài 2: ( 2 điểm) Cho biểu thức:
a) Tìm điều kiện xác định của biểu thức P.
b) Tìm các giá trị của x để P nhận giá trị bằng 0.
Bài 3: (2 điểm) Chứng minh rằng:
Bài 4: (2 điểm) Cho biểu thức:
a) Rút gọn biểu thức A.
b) Tìm x ∈ Z sao cho A luôn nhận giá trị nguyên
Bài 5: (1 điểm) Tìm giá trị lớn nhất của phân thức
Đáp án và Hướng dẫn giải
Bài 1
a) Điều kiện : x ≠ 0 và x ≠ 1.
b)Điều kiện : x ≠ -1 và x ≠ 2
Bài 2
a) P xác định khi x3 – 4x ≠ 0
Ta có: x3 – 4x = x(x2 – 4)= x(x - 2)(x + 2) ≠ 0
⇒ x ≠ 0 và x ≠ 2 và x ≠ -2
b)P = 0 khi x ≠ 0 và x ≠ ± 2 và x4 - 4x3 - 4x2 = 0
Ta có: x4 - 4x3 - 4x2 = x2(x2 – 4x + 4) = x2(x – 2)2 = 0
⇒ x = 0 hoặc x = 2
Vậy không có giá trị nào của x để P = 0
Bài 3
Biến đổi vế trái ( VT), ta có:
Bài 4
Điều kiện: x ≠ 0; x ≠ 1 và x ≠ 3
b) A ∈ Z khi x – 1 là ước của 3, với x ∈ Z, x ≠ 0; x ≠ 1; x ≠ 3
⇒ x – 1 = ±1; x – 1 = ±3
Với x ∈ Z, x ≠ 0; x ≠ 1; x ≠ 3 ⇒ x = 2; x = 4; x = -2
Bài 5: (1 điểm)
Xem thêm các bài thi Toán 8 chọn lọc, có đáp án hay khác:
Tổng hợp Bộ đề thi Toán lớp 8 năm 2025 học kì 1 và học kì 2 có đáp án của chúng tôi được biên soạn và sưu tầm từ đề thi môn Toán của các trường THCS trên cả nước.
Nếu thấy hay, hãy động viên và chia sẻ nhé! Các bình luận không phù hợp với nội quy bình luận trang web sẽ bị cấm bình luận vĩnh viễn.
- Giải Tiếng Anh 8 Global Success
- Giải sgk Tiếng Anh 8 Smart World
- Giải sgk Tiếng Anh 8 Friends plus
- Lớp 8 - Kết nối tri thức
- Soạn văn 8 (hay nhất) - KNTT
- Soạn văn 8 (ngắn nhất) KNTT
- Giải sgk Toán 8 - KNTT
- Giải sgk Khoa học tự nhiên 8 - KNTT
- Giải sgk Lịch Sử 8 - KNTT
- Giải sgk Địa Lí 8 - KNTT
- Giải sgk Giáo dục công dân 8 - KNTT
- Giải sgk Tin học 8 - KNTT
- Giải sgk Công nghệ 8 - KNTT
- Giải sgk Hoạt động trải nghiệm 8 - KNTT
- Giải sgk Âm nhạc 8 - KNTT
- Lớp 8 - Chân trời sáng tạo
- Soạn văn 8 (hay nhất) - CTST
- Soạn văn 8 (ngắn nhất) - CTST
- Giải sgk Toán 8 - CTST
- Giải sgk Khoa học tự nhiên 8 - CTST
- Giải sgk Lịch Sử 8 - CTST
- Giải sgk Địa Lí 8 - CTST
- Giải sgk Giáo dục công dân 8 - CTST
- Giải sgk Tin học 8 - CTST
- Giải sgk Công nghệ 8 - CTST
- Giải sgk Hoạt động trải nghiệm 8 - CTST
- Giải sgk Âm nhạc 8 - CTST
- Lớp 8 - Cánh diều
- Soạn văn 8 Cánh diều (hay nhất)
- Soạn văn 8 Cánh diều (ngắn nhất)
- Giải sgk Toán 8 - Cánh diều
- Giải sgk Khoa học tự nhiên 8 - Cánh diều
- Giải sgk Lịch Sử 8 - Cánh diều
- Giải sgk Địa Lí 8 - Cánh diều
- Giải sgk Giáo dục công dân 8 - Cánh diều
- Giải sgk Tin học 8 - Cánh diều
- Giải sgk Công nghệ 8 - Cánh diều
- Giải sgk Hoạt động trải nghiệm 8 - Cánh diều
- Giải sgk Âm nhạc 8 - Cánh diều
Giải bài tập SGK & SBT
Tài liệu giáo viên
Sách
Khóa học
Thi online
Hỏi đáp



