15+ Đề thi Giữa kì 2 Toán 8 Kết nối tri thức (cấu trúc mới, có đáp án)
Với bộ 15+ Đề thi Toán 8 Giữa kì 2 Kết nối tri thức năm 2026 theo cấu trúc mới có đáp án và ma trận được biên soạn và chọn lọc từ đề thi Toán 8 của các trường THCS trên cả nước sẽ giúp học sinh lớp 8 ôn tập và đạt kết quả cao trong các bài thi Giữa học kì 2 Toán 8.
15+ Đề thi Giữa kì 2 Toán 8 Kết nối tri thức (cấu trúc mới, có đáp án)
Chỉ từ 150k mua trọn bộ Đề thi Giữa kì 2 Toán 8 Kết nối tri thức theo cấu trúc mới bản word có lời giải chi tiết:
- B1: gửi phí vào tk:
1133836868- CT TNHH DAU TU VA DV GD VIETJACK - Ngân hàng MB (QR) - B2: Nhắn tin tới Zalo VietJack Official - nhấn vào đây để thông báo và nhận đề thi
Đề thi Giữa kì 2 Toán 8 Kết nối tri thức (Giáo viên VietJack)
Top 50 Đề thi Giữa kì 2 Toán 8
Đề thi Giữa kì 2 Toán 8 trường THCS Phan Đình Giót (Hà Nội) năm 2025-2026
Đề thi Giữa kì 2 Toán 8 trường THCS Nguyễn Công Trứ (Hà Nội) năm 2025-2026
Đề thi Giữa kì 2 Toán 8 trường THCS Trưng Vương (Đà Nẵng) năm 2025-2026
Đề thi Giữa kì 2 Toán 8 trường Lương Thế Vinh (Hà Nội) năm 2024-2025
Đề thi Giữa kì 2 Toán 8 trường THPT chuyên Hà Nội - Amsterdam năm 2024-2025
Đề thi Giữa kì 2 Toán 8 trường THCS Cầu Giấy (Hà Nội) năm 2024-2025
Đề thi Giữa kì 2 Toán 8 trường THCS Lê Quý Đôn (Tp.HCM) năm 2024-2025
Đề thi Giữa kì 2 Toán 8 phòng GD&ĐT Bình Thạnh (Tp.HCM) năm 2024-2025
Đề thi Giữa kì 2 Toán 8 phòng GD&ĐT Quận 3 (Tp.HCM) năm 2024-2025
Phòng Giáo dục và Đào tạo ...
Đề thi Giữa kì 2 - Kết nối tri thức
Năm học ...
Môn: Toán 8
Thời gian làm bài: phút
(Đề số 1)
A. TRẮC NGHIỆM (7,0 điểm)
Phần 1. (3,0 điểm) Câu trắc nghiệm nhiều phương án lựa chọn
Trong mỗi câu hỏi từ câu 1 đến câu 12, hãy viết chữ cái in hoa đứng trước phương án đúng duy nhất vào bài làm.
Câu 1. Trong các biểu thức sau biểu thức nào là phân thức đại số?
A. .
B. .
C. .
D. .
Câu 2. Phân thức xác định khi
A. x = 3.
B. x ≠ 3.
C. x ≥ 3.
D. x ≤ 3.
Câu 3. Phân thức có phân thức đối là
A. .
B. .
C. .
D. .
Câu 4. Giả sử các biểu thức đều có nghĩa, kết quả của phép tính là
A. .
B. .
C. .
D. .
Câu 5. Phân thức là phân thức nghịch đảo của
A. .
B. .
C. .
D. .
Câu 6. Giả sử các biểu thức đều có nghĩa, kết quả của phép tính là
A. .
B. .
C. .
D. .
Câu 7. Trong các phương trình sau, phương trình nào không phải là phương trình bậc nhất một ẩn?
A. 0x + 2 = 0.
B. 2x + 1 = 0.
C. -2x = 0.
D. .
Câu 8. Phương trình có hạng tử tự do là
A. .
B.
C. 2.
D. .
Câu 9. Cho tam giác ABC đồng dạng với tam giác A'B'C'. Chọn khẳng định đúng trong các khẳng định dưới đây:
A. .
B. .
C. .
D. .
Câu 10. Cho tam giác MNP vuông tại P khi đó
A. .
B. .
C. .
D. .
Câu 11. Cho các mệnh đề sau:
(I). Nếu một góc nhọn của tam giác vuông này bằng một góc nhọn của tam giác vuông kia thì hai tam giác vuông ấy đồng dạng.
(II). Nếu một cạnh góc vuông của tam giác vuông này bằng một cạnh góc vuông của tam giác vuông kia thì hai tam giác vuông ấy đồng dạng.
Khẳng định nào dưới đây là đúng?
A. Chỉ có (I) đúng.
B. Chỉ có (II) đúng.
C. Cả (I) và (II) đúng.
D. Cả (I) và (II) sai.
Câu 12. Trong các hình dưới đây, hình nào đồng dạng với nhau?
A. Hình a) và hình b).
B. Hình a) và hình c).
C. Hình b) và hình c).
D. Cả ba hình.
Phần 2. (2,0 điểm) Câu trắc nghiệm đúng sai
Trong câu 13, 14, hãy chọn đúng hoặc sai cho mỗi ý a), b), c), d).
Câu 13. Năm nay tuổi bố gấp 10 lần tuổi Minh. Bố Minh tính rằng sau 24 năm nữa thì tuổi bố chỉ gấp 2 lần tuổi Minh. Gọi tuổi của Minh hiện nay là x (x ∈ ℕ).
☐ a) Sau 24 năm nữa tuổi của Minh là x + 24 (tuổi).
☐ b) Sau 24 năm nữa tuổi của bố Minh là 10x + 24 (tuổi).
☐ c) Sau 24 năm nữa thì tuổi bố chỉ gấp 2 lần tuổi Minh nên phương trình mô tả bài toán là: 10x + 24 = 2x + 24
☐ d) Tuổi của bố Minh hiện tại là 30 tuổi.
Câu 14. Cho tam giác ABC. Trên cạnh AB, AC lần lượt lấy các điểm E, D sao cho AC = 3AE và AD = AB. Gọi I là giao điểm của BD và EC. Biết rằng .
☐ a) .
☐ b) .
☐ c) .
☐ d) ID.IB = IE.IC.
Phần 3. (2,0 điểm) Câu hỏi trắc nghiệm trả lời ngắn
Trong các câu từ 15 đến 18, hãy viết câu trả lời/ đáp án vào bài làm mà không cần trình bày lời giải chi tiết.
Câu 15. Cho biểu thức (x ≠ 2; x ≠ -2). Tính giá trị của biểu thức A tạo x = 4. (Kết quả ghi dưới dạng số thập phân)
Câu 16. Cho biểu thức với x ≠ -2, x ≠ -1 và x ≠ 0. Hỏi có bao nhiêu giá trị nguyên của x thỏa mãn để M nhận giá trị nguyên?
Câu 17. Cho phương trình (m2 - 3m + 2)x = m - 2 với m là tham số. Hỏi giá trị của m bằng bao nhiêu để phương trình có vô số nghiệm?
Câu 18. Cho tam giác nhọn ABC có AB = 13 cm, AC = 15 cm. Kẻ AD ⊥ BD (D ∈ BC). Biết BD = 5 cm, hỏi cạnh BC có độ dài bao nhiêu centimet?
B. TỰ LUẬN (3,0 điểm)
Bài 1. (1,0 điểm) Một xe tải và một xe con cùng khởi hành từ tỉnh A đến tỉnh B. Xe tải đi với vận tốc 30 km/h, xe con đi với vận tốc 45 km/h. Sau khi đi được quãng đường AB, xe con tăng vận tốc 5 km/h trên quãng đường còn lại thì đến B sớm hơn xe tải là 2 giờ 27 phút. Tính quãng đường AB.
Bài 2. (1,5 điểm) Cho ∆ABC vuông tại A có AB = 6 cm, AC = 8 cm.
a) Tính độ dài cạnh BC.
b) Vẽ đường cao AH. Chứng minh rằng .
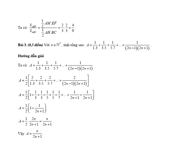
c) Trên cạnh AH lấy điểm M sao cho AM = 3,2 cm, từ điểm M kẻ đường thẳng d song song với BC lần lượt cắt AB, AC tại E, F. Tính .
Bài 3. (0,5 điểm) Với n ∈ ℕ*, tính tổng sau:
Phòng Giáo dục và Đào tạo ...
Đề thi Giữa kì 2 - Kết nối tri thức
Năm học ...
Môn: Toán 8
Thời gian làm bài: phút
(Đề số 2)
PHẦN I. TRẮC NGHIỆM KHÁCH QUAN (2,0 điểm)
Hãy viết chữ cái in hoa đứng trước phương án đúng duy nhất trong mỗi câu sau vào bài làm.
Câu 1. Biểu thức nào sau đây không phải là phân thức?
A.
B.
C.
D.
Câu 2. Mẫu thức chung của các phân thức là
A.
B.
C.
D.
Câu 3. Phân thức đối của phân thức là
A.
B.
C.
D.
Câu 4. Phân thức nghịch đảo của phân thức là
A.
B.
C.
D.
Câu 5. Trong các phương trình sau, phương trình nào là phương trình bậc nhất 1 ẩn?
A.
B.
C.
D.
Câu 6. Nghiệm của phương trình là
A.
B.
C.
D.
Câu 7. Cho tam giác vuông tại và tam giác vuông tại Điều nào dưới đây không suy ra được
A.
B.
C.
D.
Câu 8. Tam giác vuông cân tại có độ dài cạnh lớn nhất bằng Độ dài cạnh là
A.
B.
C.
D.
PHẦN II. TỰ LUẬN (8,0 điểm)
Bài 1. (2,0 điểm) Cho biểu thức:
a) Tìm điều kiện xác định của biểu thức
b) Tìm để
c) Với giá trị nào của thì giá trị của biểu thức là số nguyên âm lớn nhất?
Bài 2. (1,0 điểm) Giải các phương trình sau:
a)
b)
Bài 3. (1,5 điểm) Giải bài toán sau bằng cách lập phương trình:
Năm nay tuổi bố gấp 10 lần tuổi của Minh. Bố Minh tính rằng sau 24 năm nữa thì tuổi của bố chỉ gấp 2 lần tuổi của Minh. Hỏi năm nay Minh bao nhiêu tuổi?
Bài 4. (3,0 điểm)
1) Người ta buộc chú cún bằng sợi dây có một đầu buộc cố định tại điểm làm cho chú cún cách điểm xa nhất là Hỏi với các kích thước đã cho như hình trên, chú cún có thể đến các vị trí để canh giữ mảnh vườn hình chữ nhật hay không?
2) Cho hình bình hành có Gọi lần lượt là hình chiếu vuông góc của trên đường thẳng và Vẽ tia cắt lần lượt tại Gọi là điểm đối xứng với qua . Chứng minh:
a)
b)
c)
d)
Bài 5. (0,5 điểm)
Cho là 2024 số thực thỏa mãn với
Tính tổng
-----HẾT-----
ĐÁP ÁN & HƯỚNG DẪN
PHẦN I. TRẮC NGHIỆM KHÁCH QUAN (2,0 điểm)
Bảng đáp án trắc nghiệm:
Câu |
1 |
2 |
3 |
4 |
5 |
6 |
7 |
8 |
Đáp án |
D |
D |
C |
A |
B |
C |
C |
B |
PHẦN II. TỰ LUẬN (8,0 điểm)
Bài 1. (2,0 điểm)
a) Ta có:
⦁
⦁
Khi đó, điều kiện xác định của biểu thức là:
Vậy điều kiện xác định của biểu thức là và
b) Với và ta có:
Vì vậy, với và thì
Khi đó tức là do đó vì
Suy ra nên
Kết hợp với điều kiện và ta được và
Vậy với và thì
c) Để là số nguyên âm lớn nhất thì khi đó:
(thoả mãn điều kiện).
Vậy với thì có giá trị là số nguyên âm lớn nhất.
Bài 2. (1,0 điểm)
a)
Vậy phương trình đã cho có nghiệm
b)
Vậy phương trình đã cho có nghiệm
Bài 3. (1,5 điểm)
Gọi tuổi của Minh hiện nay là thì tuổi của bố Minh hiện nay là
Sau 24 năm nữa tuổi của Minh là
Sau 24 năm nữa tuổi của bố Minh là
Vì sau 24 năm nữa thì tuổi của bố chỉ gấp 2 lần tuổi của Minh nên ta có phương trình:
(thỏa mãn).
Vậy tuổi Minh hiện nay là 3 tuổi.
Bài 4. (3,0 điểm)
1) Áp dụng định lí Pythagore cho các tam giác vuông ta tính được:
⦁ hay
⦁ hay
⦁ hay
⦁ hay
Vì nên chú cún có thể đến các vị trí nhưng không thể đến được vị trí
2)
a)
Ta có là hình bình hành nên (1) (tính chất hình bình hành)
Mà (2) (hai góc kề bù)
(3) (hai góc kề bù)
Từ (1), (2), (3) suy ra
Xét và có:
và
Do đó (g.g).
Suy ra (tỉ số cạnh tương ứng), hay (tính chất tỉ lệ thức).
b) Ta có là góc ngoài của nên (4)
Vì là hình bình hành nên và (tính chất hình bình hành)
Mà nên nên
Do đó (5)
Từ (4) và (5) suy ra
Theo câu a,
Mà nên
Xét và có:
và
Do đó (c.g.c).
c) Kẻ tại
Xét và có:
và là góc chung.
Do đó (g.g).
Suy ra (tỉ số cạnh tương ứng) nên (6)
Xét và có:
và (hai góc so le trong, )
Do đó (g.g).
Suy ra (tỉ số cạnh tương ứng) nên
Mà nên (7)
Từ (6) và (7) suy ra:
Hay
d)
Do là hình bình hành nên (tính chất hình bình hành)
................................
................................
................................
Trên đây tóm tắt một số nội dung miễn phí trong bộ Đề thi Toán 8 năm 2026 mới nhất, để mua tài liệu trả phí đầy đủ, Thầy/Cô vui lòng xem thử:
Tham khảo đề thi Toán 8 Kết nối tri thức có đáp án hay khác:
Tủ sách VIETJACK shopee lớp 6-8 (2025):
Đã có app VietJack trên điện thoại, giải bài tập SGK, SBT Soạn văn, Văn mẫu, Thi online, Bài giảng....miễn phí. Tải ngay ứng dụng trên Android và iOS.
Theo dõi chúng tôi miễn phí trên mạng xã hội facebook và youtube:Bộ đề thi các môn học lớp 8 năm 2025 Học kì 1, Học kì 2 của chúng tôi được biên soạn và sưu tầm từ đề thi khối lớp 8 của các trường THCS trên cả nước.
Nếu thấy hay, hãy động viên và chia sẻ nhé! Các bình luận không phù hợp với nội quy bình luận trang web sẽ bị cấm bình luận vĩnh viễn.
- Giải Tiếng Anh 8 Global Success
- Giải sgk Tiếng Anh 8 Smart World
- Giải sgk Tiếng Anh 8 Friends plus
- Lớp 8 - Kết nối tri thức
- Soạn văn 8 (hay nhất) - KNTT
- Soạn văn 8 (ngắn nhất) KNTT
- Giải sgk Toán 8 - KNTT
- Giải sgk Khoa học tự nhiên 8 - KNTT
- Giải sgk Lịch Sử 8 - KNTT
- Giải sgk Địa Lí 8 - KNTT
- Giải sgk Giáo dục công dân 8 - KNTT
- Giải sgk Tin học 8 - KNTT
- Giải sgk Công nghệ 8 - KNTT
- Giải sgk Hoạt động trải nghiệm 8 - KNTT
- Giải sgk Âm nhạc 8 - KNTT
- Lớp 8 - Chân trời sáng tạo
- Soạn văn 8 (hay nhất) - CTST
- Soạn văn 8 (ngắn nhất) - CTST
- Giải sgk Toán 8 - CTST
- Giải sgk Khoa học tự nhiên 8 - CTST
- Giải sgk Lịch Sử 8 - CTST
- Giải sgk Địa Lí 8 - CTST
- Giải sgk Giáo dục công dân 8 - CTST
- Giải sgk Tin học 8 - CTST
- Giải sgk Công nghệ 8 - CTST
- Giải sgk Hoạt động trải nghiệm 8 - CTST
- Giải sgk Âm nhạc 8 - CTST
- Lớp 8 - Cánh diều
- Soạn văn 8 Cánh diều (hay nhất)
- Soạn văn 8 Cánh diều (ngắn nhất)
- Giải sgk Toán 8 - Cánh diều
- Giải sgk Khoa học tự nhiên 8 - Cánh diều
- Giải sgk Lịch Sử 8 - Cánh diều
- Giải sgk Địa Lí 8 - Cánh diều
- Giải sgk Giáo dục công dân 8 - Cánh diều
- Giải sgk Tin học 8 - Cánh diều
- Giải sgk Công nghệ 8 - Cánh diều
- Giải sgk Hoạt động trải nghiệm 8 - Cánh diều
- Giải sgk Âm nhạc 8 - Cánh diều


Giải bài tập SGK & SBT
Tài liệu giáo viên
Sách
Khóa học
Thi online
Hỏi đáp

