22+ Đề thi Học kì 1 Toán 8 Chân trời sáng tạo (cấu trúc mới, có đáp án)
Với bộ 22+ Đề thi Toán 8 Học kì 1 Chân trời sáng tạo năm 2026 theo cấu trúc mới có đáp án và ma trận được biên soạn và chọn lọc từ đề thi Toán 8 của các trường THCS trên cả nước sẽ giúp học sinh lớp 8 ôn tập và đạt kết quả cao trong các bài thi Học kì 1 Toán 8.
22+ Đề thi Học kì 1 Toán 8 Chân trời sáng tạo (cấu trúc mới, có đáp án)
Chỉ từ 150k mua trọn bộ Đề thi Học kì 1 Toán 8 Chân trời sáng tạo theo cấu trúc mới bản word có lời giải chi tiết:
- B1: gửi phí vào tk:
1133836868- CT TNHH DAU TU VA DV GD VIETJACK - Ngân hàng MB (QR) - B2: Nhắn tin tới Zalo VietJack Official - nhấn vào đây để thông báo và nhận đề thi
Đề thi Học kì 1 Toán 8 Chân trời sáng tạo (Giáo viên VietJack)
50+ Đề thi Toán 8 Cuối kì 1 năm 2025-2026 (cả nước)
Đề thi Học kì 1 Toán 8 trường THCS Hoàng Văn Thụ (Tp. HCM) năm 2025-2026
Đề thi Học kì 1 Toán 8 trường THCS Phan Chu Trinh (Hà Nội) năm 2025-2026
Đề thi Học kì 1 Toán 8 trường THCS Nguyễn Gia Thiều (Tp. HCM) năm 2025-2026
Đề thi Học kì 1 Toán 8 trường THCS Nguyễn Trường Tộ (Hà Nội) năm 2025-2026
Đề thi Học kì 1 Toán 8 trường THCS Phạm Ngọc Thạch (Tp. HCM) năm 2025-2026
Đề thi Học kì 1 Toán 8 trường THPT chuyên Hà Nội – Amsterdam năm 2025-2026
Đề thi Học kì 1 Toán 8 trường Lương Thế Vinh (Hà Nội) năm 2025-2026
Đề thi Học kì 1 Toán 8 trường THCS Đông Thạnh (Tp. HCM) năm 2025-2026
Phòng Giáo dục và Đào tạo ...
Đề thi Học kì 1 - Chân trời sáng tạo
năm 2025
Môn: Toán 8
Thời gian làm bài: phút
(Đề số 1)
A. TRẮC NGHIỆM (7,0 điểm)
Phần 1. Câu trắc nghiệm nhiều phương án lựa chọn (3,0 điểm)
Trong mỗi câu hỏi từ câu 1 đến câu 12, hãy viết chữ cái in hoa đứng trước phương án đúng duy nhất vào bài làm.
Câu 1. Trong các biểu thức sau, biểu thức nào là đơn thức thu gọn?
A. -x4y3z.
B.
C.
D.
Câu 2. Đơn thức 30x2y3 chia hết cho đơn thức nào sau đây?
A. 5x3y2.
B. 6y4.
C. 60xy.
D. 30x4.
Câu 3. Đẳng thức nào sau đây là hằng đẳng thức?
A. 3a + 1 = a + 3.
B. a + 3 = 3a - 1.
C. 2(a - 2) = 4a.
D. a(a + 1) = a2 + a.
Câu 4. Với điều kiện các phân thức có nghĩa. Phân thức bằng phân thức nào sau đây?
A.
B.
C.
D.
Câu 5. Nhận định nào sau đây là đúng?
A. Nếu hình chóp có đáy là hình thoi, chân đường cao trùng với tâm hình thoi thì nó là hình chóp đều.
B. Nếu hình chóp có đáy là hình chữ nhật, chân đường cao trùng với giao điểm của hai đường chéo đáy thì nó là hình chóp đều.
C. Nếu hình chóp có đáy là hình vuông thì nó là hình chóp đều.
D. Nếu hình chóp có đáy là tam giác đều, chân đường cao trùng với trọng tâm của tam giác thì nó là hình chóp đều.
Câu 6. Một hình chóp đều và một hình lăng trụ đứng có diện tích đáy bằng nhau. Chiều cao của hình chóp đều gấp đôi chiều cao của hình lăng trụ đứng. Thể tích của hình chóp đều là
A.
B. V = Sh.
C.
D. V = 2Sh.
Câu 7. Nhà bạn An (vị trí A trên hình vẽ) cách nhà bạn Châu (vị trí C trên hình vẽ) 600 m và cách nhà bạn Bình (vị trí B trên hình vẽ) 450 m. Biết rằng 3 vị trí: nhà An, nhà Bình và nhà Châu là ba đỉnh của một tam giác vuông (như hình vẽ). Tính khoảng cách từ nhà Bình đến nhà Châu.
A. 396 m.
B. 750 m.
C. 150 m.
D. 250 m.
Câu 8. Cho tam giác ABC cân tại A. Gọi D, E theo thứ tự thuộc các cạnh bên AB, AC sao cho DE // BC. Tứ giác BDEC là hình gì?
A. Hình thang cân.
B. Hình thang vuông.
C. Hình bình hành.
D. Hình thoi.
Câu 9. Trong các dãy dữ liệu sau đây, dữ liệu nào là số liệu rời rạc?
A. Số thành viên trong một gia đình.
B. Cân nặng (kg) của các học sinh lớp 8D.
C. Kết quả nhảy xa (mét) của 10 vận động viên.
D. Lượng mưa trung bình (mm) trong một tháng ở Thành phố Hồ Chí Minh.
Câu 10. Khi muốn biểu diễn tuổi thọ trung bình của người Việt Nam qua 40 năm. Ta nên lựa chọn biểu đồ nào?
A. Biểu đồ đoạn thẳng.
B. Biểu đồ cột kép.
C. Biểu đồ tranh.
D. Biểu đồ hình quạt tròn.
Câu 11. Dự báo quy mô dân số của Trung Quốc và Ấn Độ qua các năm được biểu diễn bằng biểu đồ sau:
Nhận xét nào trong các nhận xét sau đây là đúng?
A. Dân số Trung Quốc luôn thấp hơn dân số Ấn Độ.
B. Dân số Trung Quốc luôn cao hơn dân số Ấn Độ.
C. Hiện tại dân số Trung Quốc cao hơn nhưng sẽ thấp hơn dân số Ấn Độ trong tương lai.
D. Hiện tại dân số Trung Quốc thấp hơn nhưng sẽ cao hơn dân số Ấn Độ trong tương lai.
Câu 12. Lượng tinh bột sẵn mà các thị trường cung cấp cho Đài Loan trong 9 tháng năm 2022 được thống kê trong bảng dưới đây.
(Nguồn: Theo thống kê của cơ quan Tài chính Đài Loan)
Thị trường Việt Nam cung cấp lượng tinh bột sắn cho Đài Loan trong 9 tháng năm 2022 chiếm bao nhiêu phần trăm so với tổng lượng tinh bột sắn mà các thị trường cung cấp cho Đài Loan trong 9 tháng năm 2022? (Kết quả làm tròn đến hàng phần mười)
A. 87,3%.
B. 9,9%.
C. 13,8%.
D. 87,5%.
Phần 2. Câu trắc nghiệm đúng sai (2,0 điểm)
Trong câu 13 và câu 14, hãy chọn đúng hoặc sai cho mỗi ý a), b), c), d).
Câu 13. Cho hai đa thức:
A = 2xy(xy2 - 3x2y + 1) và B = (12x4y5 - 36x5y4 + 6x3y3) : 6x2y2
Đa thức M thỏa mãn A = M + B.
a) Bậc của đa thức A là 8.
b) Hệ số tự do của đa thức B là 2.
c) Giá trị của biểu thức B tại x = -1; y = 1 là 12.
d) M là một đơn thức.
Câu 14. Cho ∆ABC vuông tại A có AB < AC, đường cao AH. Từ H kẻ HM ⊥ AB (M ∈ AB). Kẻ HN ⊥ AC (N ∈ AC). Trên tia đối của tia MH lấy điểm P sao cho M là trung điểm của PH. Gọi I là trung điểm của HC, lấy K trên tia AI sao cho I là trung điểm của AK; MN cắt AH tại O, CO cắt AK tại D.
a) .
b) Tứ giác AMHN là hình chữ nhật.
c) Tứ giác MNCK là hình thang vuông.
d) AK = 2AD.
Phần 3. Câu hỏi trắc nghiệm trả lời ngắn (2,0 điểm)
Trong mỗi câu hỏi từ câu 15 đến câu 18, hãy viết câu trả lời/ đáp án vào bài làm mà không cần trình bày lời giải chi tiết.
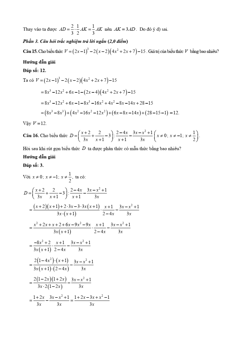
Câu 15. Cho biểu thức V = (2x - 1)3 - 2(x - 2)(4x2 + 2x + 7) - 15. Giá trị của biểu thức V bằng bao nhiêu?
Câu 16. Cho biểu thức .
Hỏi sau khi rút gọn biểu thức D ta được phân thức có mẫu thức bằng bao nhiêu?
Câu 17. Người ta thiết kế một chậu cây có dạng chóp tam giác đều có cạnh đáy 4 cm và trung đoạn hình chóp là 6 cm. Tính diện tích miếng bìa cần để bọc xung quanh một chậu cây theo đơn vị cm2 (không tính đến phần đường viền, nếp gấp).
Câu 18. Cho tứ giác ABCD có Tính theo đơn vị độ.
B. TỰ LUẬN (3,0 điểm)
Bài 1. (1,5 điểm) Biểu đồ hình quạt tròn biểu diễn kết quả thống kê (tính theo tỉ số phần trăm) các thị trường cung cấp cà phê cho Tây Ban Nha trong 7 tháng đầu năm 2022.
(Nguồn: Eurostat)
a) Trong 7 tháng đầu năm 2022 thị trường nào cung cấp cà phê cho Tây Ban Nha là nhiều nhất? ít nhất?
b) Biết lượng cà phê mà tất cả các thị trường cung cấp cho Tây Ban Nha trong 7 tháng đầu năm 2022 là 222 956 tấn. Lập bảng thống kê lượng cà phê mà các thị trường cung cấp cà phê cho Tây Ban Nha trong 7 tháng đầu năm 2022 theo mẫu sau:
c) Một bài báo có nêu thông tin: “Thị trường Indonesia và Bỉ là hai thị trường cung cấp lượng cà phê ít nhất cho Tây Ban Nha trong 7 tháng đầu năm 2022; Việt Nam cung cấp cà phê cho Tây Ban Nha nhiều hơn 24,6% so với thị trường Indonesia”. Theo em, bài báo nêu thông tin có chính xác không?
Bài 2. (1,0 điểm) Cho hình vuông ABCD. Lấy E là điểm trên cạnh DC; F là điểm trên tia đối của tia BC sao cho BF = DE. Gọi I là trung điểm của EF.
a) Chứng minh tam giác AEF vuông cân.
b) Lấy điểm K đối xứng với A qua I. Tứ giác AEKF là hình gì?
Bài 3. (0,5 điểm) Cho a + b + c = 0 và a2 + b2 + c2 = 1. Tính giá trị của biểu thức A = a4 + b4 + c4.
−−−−−HẾT−−−−−
Phòng Giáo dục và Đào tạo ...
Đề thi Học kì 1 - Chân trời sáng tạo
năm 2025
Môn: Toán 8
Thời gian làm bài: phút
(Đề số 2)
PHẦN I. TRẮC NGHIỆM KHÁCH QUAN (3,0 điểm)
Hãy viết chữ cái in hoa đứng trước phương án đúng duy nhất trong mỗi câu sau vào bài làm.
Câu 1. Cho các biểu thức: x2 + y2; 2 025; có bao nhiêu đa thức?
A. 1.
B. 2.
C. 3.
D. 4.
Câu 2. Đẳng thức nào sau đây là hằng đẳng thức?
A. 3a + 1 = a + 3.
B. a + 3 = 3a - 1.
C. 2(a - 2) = 4a.
D. a(a + 1) = a2 + a.
Câu 3. Giá trị của x để phân thức có giá trị bằng 0 là
A. 1.
B. 2.
C. 3.
D. -1.
Câu 4. Hình chóp tam giác đều có mặt bên là hình gì?
A. Hình chữ nhật.
B. Hình vuông.
C. Hình tam giác.
D. Tam giác cân.
Câu 5. Hình dưới đây là một bóng đèn có 4 mặt bên là các tam giác cân, 1 mặt đáy là hình vuông.
Bóng đèn như vậy có dạng là hình gì?
A. Hình chóp tứ giác đều.
B. Hình chóp tam giác đều.
C. Hình chóp ngũ giác đều.
D. Không có tên gọi đặc biệt.
Câu 6. Cho hình chóp tứ giác đều có cạnh đáy dài 8 cm độ dài chiều cao 9 cm. Thể tích của hình chóp tứ giác đều đó là
A. 63 cm3.
B. 147 cm3.
C. 71 cm3.
D. 441 cm3.
Câu 7. Một chậu cây chóp tam giác đều có cạnh đáy 4 cm và trung đoạn hình chóp là 6 cm. Hỏi diện tích miếng bìa cần để bọc xung quanh một chậu cây là bao nhiêu? (không tính đến phần đường viền, nếp gấp).
A. 24 cm2.
B. 72 cm2.
C. 48 cm2.
D. 36 cm2.
Câu 8. Trong các phát biểu sau, phát biểu nào là định lý Pythagore?
A. Trong một tam giác vuông, bình phương của cạnh huyền bằng tổng bình phương của hai cạnh góc vuông.
B. Nếu một tam giác có một cạnh bằng tổng của hai cạnh còn lại thì tam giác đó là tam giác vuông.
C. Nếu một tam giác có bình phương cạnh huyền bằng hiệu bình phương của hai cạnh góc vuông thì tam giác đó là tam giác vuông.
D. Trong một tam giác vuông, bình phương một cạnh bằng tổng bình phương của hai cạnh còn lại.
|
Câu 9. Số đo x trong hình vẽ bên là A. 83°. B. 93°. C. 103°. D. 113°. |
Câu 10. Trong các hình sau, các hình nào có hai đường chéo vuông góc với nhau?
A. Hình chữ nhật, hình bình hành, hình thoi.
B. Hình bình hành, hình vuông, hình chữ nhật.
C. Hình thoi, hình vuông.
D. Hình thang cân, hình chữ nhật.
Câu 11. Cho bảng thống kê về tỉ số phần trăm các loại sách trong tủ sách của lớp 8A như sau:
|
Loại sách |
Tỉ số phần trăm |
|
Lịch sử Việt Nam |
25% |
|
Truyện tranh |
20% |
|
Thế giới động vật |
30% |
|
Các loại sách khác |
25% |
Cho các khẳng định sau:
(I) Dữ liệu định lượng là các loại sách: Lịch sử Việt Nam, Truyện tranh, thế giới động vật, các loại sách khác;
(II) Dữ liệu định tính là tỉ số phần trăm: 25%; 20%; 30%; 25%;
(III) Dữ liệu chưa hợp lí là tỉ số phần trăm.
Số khẳng định sai là
A. 0.
B. 1.
C. 2.
D. 3.
Câu 12. Để biểu diễn tỉ lệ của các phần trong tổng thể ta dùng biểu đồ nào sau đây?
A. Biểu đồ hình quạt tròn.
B. Biểu đồ đoạn thẳng.
C. Biểu đồ tranh.
D. Biểu đồ cột.
PHẦN II. TỰ LUẬN (7,0 điểm)
Bài 1. (1,5 điểm) Thực hiện phép tính:
a) (6x - 7)(7x - 1);
b) ;
c) .
Bài 2. (1,0 điểm) Phân tích các đa thức sau thành nhân tử:
a) 3x3 + 6x2y + 3xy2;
b) x2 - 7x + 6.
Bài 3. (1,5 điểm) Biểu đồ đoạn thẳng biểu diễn vốn sản xuất kinh doanh bình quân hàng năm của doanh nghiệp nhà nước của Việt Nam qua các năm 2015; 2017; 2018; 2019; 2020. (đơn vị: nghìn tỷ đồng)
(Nguồn: Niên giám thống kê 2021)
a) Biểu đồ trên là biểu đồ gì? Để thu được dữ liệu được biểu diễn ở biểu đồ trên, ta sử dụng phương pháp thu thập trực tiếp hay gián tiếp?
b) Năm 2020 vốn sản xuất kinh doanh bình quân của doanh nghiệp nhà nước tăng bao nhiêu phần trăm so năm 2015 (làm tròn kết quả đến hàng phần mười)?
c) Tính tỉ số phần trăm vốn sản xuất kinh doanh bình quân của doanh nghiệp nhà nước trong năm 2020 và tổng số vốn sản xuất kinh doanh bình quân của doanh nghiệp nhà nước trong các năm còn lại (làm tròn kết quả đến hàng phần mười).
Bài 4. (2,5 điểm)
|
1. Nhà bạn An (vị trí A trên hình vẽ) cách nhà bạn Châu (vị trí C trên hình vẽ) 600 m và cách nhà bạn Bình (vị trí B trên hình vẽ) 450 m. Biết rằng 3 vị trí: nhà An, nhà Bình và nhà Châu là ba đỉnh của một tam giác vuông (như hình vẽ). Tính khoảng cách từ nhà Bình đến nhà Châu. |
2. Cho tam giác ABC vuông tại A. Gọi M là một điểm bất kì trên cạnh huyền BC. Gọi D và E lần lượt là chân đường vuông góc kẻ từ M xuống AB và AC.
a) Tứ giác ADME là hình gì? Vì sao?
b) Lấy điểm I sao cho A là trung điểm của ID; điểm K sao cho M là trung điểm của EK. Chứng minh EI = DK và EI // DK.
Bài 5. (0,5 điểm) Cho và a + b + c = 2022. Tính a, b, c.
−−−−−HẾT−−−−−
ĐÁP ÁN & HƯỚNG DẪN
PHẦN I. TRẮC NGHIỆM KHÁCH QUAN (3,0 điểm)
Bảng đáp án trắc nghiệm:
|
Câu |
1 |
2 |
3 |
4 |
5 |
6 |
7 |
8 |
9 |
10 |
11 |
12 |
|
Đáp án |
C |
D |
B |
D |
A |
B |
D |
A |
C |
C |
D |
A |
PHẦN II. TỰ LUẬN (7,0 điểm)
Bài 1. (1,5 điểm):
|
a) (6x - 7)(7x - 1) = = . |
b) = = . |
c)
=
= .
Bài 2. (1,0 điểm):
|
a) |
b) |
Bài 3. (1,5 điểm):
a) Biểu đồ đã cho là biểu đồ đoạn thẳng.
Để thu được dữ liệu được biểu diễn ở biểu đồ trên, ta sử dụng phương pháp thu thập gián tiếp bằng cách truy cập website của Niên giám thống kê 2021.
b) Tỉ số phần trăm vốn sản xuất kinh doanh bình quân của doanh nghiệp nhà nước năm 2020 so với năm 2015 là: .
Vậy năm 2020 vốn sản xuất kinh doanh bình quân của doanh nghiệp nhà nước tăng khoảng 148,1% - 100% = 48,1% so năm 2015.
c) Tổng tổng số vốn sản xuất kinh doanh bình quân của doanh nghiệp nhà nước trong các năm 2015; 1017; 2018; 2019 là:
(nghìn tỉ đồng).
Tỉ số phần trăm vốn sản xuất kinh doanh bình quân của doanh nghiệp nhà nước trong năm 2020 và tổng số vốn sản xuất kinh doanh bình quân của doanh nghiệp nhà nước trong các năm còn lại (các năm 2015; 1017; 2018; 2019) là:
.
Vậy tỉ số phần trăm vốn sản xuất kinh doanh bình quân của doanh nghiệp nhà nước trong năm 2020 và tổng số vốn sản xuất kinh doanh bình quân của doanh nghiệp nhà nước trong các năm còn lại khoảng 0,3%.
Bài 4. (2,5 điểm):
1. Trong hình vẽ trên, ta thấy tam giác ABC vuông tại A nên ta có:
BC2 = AB2 + AC2 (theo định lí Pythagore)
Suy ra .
Vậy khoảng cách từ nhà Bình đến nhà Châu là 750 m.
|
2. a) Xét tứ giác ADME có: (vì vuông tại A)
Do đó tứ giác ADME là hình chữ nhật. b) Vì ADME là hình chữ nhật nên AD = ME; AD // ME (tính chất hình chữ nhật). Mà A là trung điểm của DI; M là trung điểm của KE nên DI = KE; DI // KE. Suy ra DIKE là hình bình hành. Do đó DK // EI và DK = EI (đpcm). |
Bài 5. (0,5 điểm):
Ta có
Ta thấy .
Khi đó, thì .
Khi đó a = b = c và a + b + c = 2022.
Do đó .
−−−−−HẾT−−−−−
................................
................................
................................
Trên đây tóm tắt một số nội dung miễn phí trong bộ Đề thi Toán 8 năm 2026 mới nhất, để mua tài liệu trả phí đầy đủ, Thầy/Cô vui lòng xem thử:
Tham khảo đề thi Toán 8 Chân trời sáng tạo có đáp án hay khác:
Tủ sách VIETJACK shopee lớp 6-8 (2025):
Đã có app VietJack trên điện thoại, giải bài tập SGK, SBT Soạn văn, Văn mẫu, Thi online, Bài giảng....miễn phí. Tải ngay ứng dụng trên Android và iOS.
Theo dõi chúng tôi miễn phí trên mạng xã hội facebook và youtube:Bộ đề thi các môn học lớp 8 năm 2025 Học kì 1, Học kì 2 của chúng tôi được biên soạn và sưu tầm từ đề thi khối lớp 8 của các trường THCS trên cả nước.
Nếu thấy hay, hãy động viên và chia sẻ nhé! Các bình luận không phù hợp với nội quy bình luận trang web sẽ bị cấm bình luận vĩnh viễn.
- Giải Tiếng Anh 8 Global Success
- Giải sgk Tiếng Anh 8 Smart World
- Giải sgk Tiếng Anh 8 Friends plus
- Lớp 8 - Kết nối tri thức
- Soạn văn 8 (hay nhất) - KNTT
- Soạn văn 8 (ngắn nhất) KNTT
- Giải sgk Toán 8 - KNTT
- Giải sgk Khoa học tự nhiên 8 - KNTT
- Giải sgk Lịch Sử 8 - KNTT
- Giải sgk Địa Lí 8 - KNTT
- Giải sgk Giáo dục công dân 8 - KNTT
- Giải sgk Tin học 8 - KNTT
- Giải sgk Công nghệ 8 - KNTT
- Giải sgk Hoạt động trải nghiệm 8 - KNTT
- Giải sgk Âm nhạc 8 - KNTT
- Lớp 8 - Chân trời sáng tạo
- Soạn văn 8 (hay nhất) - CTST
- Soạn văn 8 (ngắn nhất) - CTST
- Giải sgk Toán 8 - CTST
- Giải sgk Khoa học tự nhiên 8 - CTST
- Giải sgk Lịch Sử 8 - CTST
- Giải sgk Địa Lí 8 - CTST
- Giải sgk Giáo dục công dân 8 - CTST
- Giải sgk Tin học 8 - CTST
- Giải sgk Công nghệ 8 - CTST
- Giải sgk Hoạt động trải nghiệm 8 - CTST
- Giải sgk Âm nhạc 8 - CTST
- Lớp 8 - Cánh diều
- Soạn văn 8 Cánh diều (hay nhất)
- Soạn văn 8 Cánh diều (ngắn nhất)
- Giải sgk Toán 8 - Cánh diều
- Giải sgk Khoa học tự nhiên 8 - Cánh diều
- Giải sgk Lịch Sử 8 - Cánh diều
- Giải sgk Địa Lí 8 - Cánh diều
- Giải sgk Giáo dục công dân 8 - Cánh diều
- Giải sgk Tin học 8 - Cánh diều
- Giải sgk Công nghệ 8 - Cánh diều
- Giải sgk Hoạt động trải nghiệm 8 - Cánh diều
- Giải sgk Âm nhạc 8 - Cánh diều


Giải bài tập SGK & SBT
Tài liệu giáo viên
Sách
Khóa học
Thi online
Hỏi đáp

