25+ Đề thi Học kì 1 Toán 8 Cánh diều (cấu trúc mới, có đáp án)
Với bộ 25+ Đề thi Toán 8 Học kì 1 Cánh diều năm 2026 theo cấu trúc mới có đáp án và ma trận được biên soạn và chọn lọc từ đề thi Toán 8 của các trường THCS trên cả nước sẽ giúp học sinh lớp 8 ôn tập và đạt kết quả cao trong các bài thi Học kì 1 Toán 8.
25+ Đề thi Học kì 1 Toán 8 Cánh diều (cấu trúc mới, có đáp án)
Chỉ từ 150k mua trọn bộ Đề thi Học kì 1 Toán 8 Cánh diều theo cấu trúc mới bản word có lời giải chi tiết:
- B1: gửi phí vào tk:
1133836868- CT TNHH DAU TU VA DV GD VIETJACK - Ngân hàng MB (QR) - B2: Nhắn tin tới Zalo VietJack Official - nhấn vào đây để thông báo và nhận đề thi
Đề thi Học kì 1 Toán 8 Cánh diều (Giáo viên VietJack)
50+ Đề thi Toán 8 Cuối kì 1 năm 2025-2026 (cả nước)
Đề thi Học kì 1 Toán 8 trường THCS Hoàng Văn Thụ (Tp. HCM) năm 2025-2026
Đề thi Học kì 1 Toán 8 trường THCS Phan Chu Trinh (Hà Nội) năm 2025-2026
Đề thi Học kì 1 Toán 8 trường THCS Nguyễn Gia Thiều (Tp. HCM) năm 2025-2026
Đề thi Học kì 1 Toán 8 trường THCS Nguyễn Trường Tộ (Hà Nội) năm 2025-2026
Đề thi Học kì 1 Toán 8 trường THCS Phạm Ngọc Thạch (Tp. HCM) năm 2025-2026
Đề thi Học kì 1 Toán 8 trường THPT chuyên Hà Nội – Amsterdam năm 2025-2026
Đề thi Học kì 1 Toán 8 trường Lương Thế Vinh (Hà Nội) năm 2025-2026
Đề thi Học kì 1 Toán 8 trường THCS Đông Thạnh (Tp. HCM) năm 2025-2026
Phòng Giáo dục và Đào tạo ...
Đề thi Học kì 1 - Cánh diều
năm 2025
Môn: Toán 8
Thời gian làm bài: phút
(Đề số 1)
A. TRẮC NGHIỆM (7,0 điểm)
Phần 1. Câu trắc nghiệm nhiều phương án lựa chọn (3,0 điểm)
Trong mỗi câu hỏi từ câu 1 đến câu 12, hãy viết chữ cái in hoa đứng trước phương án đúng duy nhất vào bài làm.
Câu 1. Đa thức A = x2 + 2y5 - x4y4 - 1có bao nhiêu hạng tử?
A. 3.
B. 4.
C. 5.
D. 6.
Câu 2. Hai đơn thức thu gọn trong các đơn thức đã cho là
A. A và B.
B. B và C.
C. A và D.
D. A và C.
Câu 3. Khẳng định nào sau đây là sai?
A. (x + y)2 = x2 + 2xy + y2.
B. (x + y)3 = x3 + 3x2y + 3xy2 + y3.
C. x3 - y3 = (x - y)(x2 + xy + y2).
D. (x - y)3 = x3 - y3.
Câu 4. Với mọi giá trị x ∈ ℝ thì giá trị của biểu thức x2 - 20x + 101 là một số
A. dương.
B. không âm.
C. không dương.
D. âm.
Câu 5. Biểu thức nào sau đây không phải là phân thức?
A.
B. 5xy2 - 2.
C. .
D. .
Câu 6. Đa thức nào sau đây không là mẫu thức chung của hai phân thức
A. (x2 + x)y2.
B. 2x3y2.
C. x(x + 1)y.
D. 2xy2(x - y)2.
Câu 7. Đồ thị hàm số y = ax (a ≠ 0 )là một đường thẳng luôn đi qua
A. gốc tọa độ O(0; 0)
B. điểm A(1; 0)
C. điểm B(0; 1)
D. điểm C(1; 1)
Câu 8. Biết rằng đồ thị hàm số y = 2x + 1 và đồ thị hàm số y = ax + 3 là hai đường thẳng song song, khi đó hệ số a bằng
A. 1.
B. 2.
C. 3.
D. 0.
Câu 9. Số đo mỗi góc ở đỉnh của đáy hình chóp tam giác đều là
A. 180°.
B. 120°.
C. 90°.
D. 60°.
Câu 10. Một hình chóp tứ giác đều có cạnh đáy là a và độ dài đường cao là b thì có thể tích là
A.
B. V = a2b.
C. V = 3a2b.
D.
Câu 11. Gấp mảnh giấy hình chữ nhật như hình vẽ sau đây sao cho điểm D trùng với điểm E, là một điểm nằm trên cạnh BC. Biết rằng AD = 10 cm, AB = 8 cm. Hỏi độ dài của cạnh EC bằng bao nhiêu?
A. 3 cm.
B. 4 cm.
C. 6 cm.
D. 8 cm.
Câu 12. Cho các hình vẽ sau:
Trong các hình sau, những hình nào là hình vuông?
A. Hình 1.
B. Hình 2.
C. Hình 3.
D. Hình 4.
Phần 2. Câu trắc nghiệm đúng sai (2,0 điểm)
Trong câu 13 và câu 14, hãy chọn đúng hoặc sai cho mỗi ý a), b), c), d).
Câu 13. Cho hai đa thức:
A = 2xy(xy2 - 3x2y + 1) và B = (12x4y5 - 36x5y4 + 6x3y3) : 6x2y2
Đa thức M thỏa mãn A = M + B.
a) Bậc của đa thức A là 8.
b) Hệ số tự do của đa thức B là 2.
c) Giá trị của biểu thức B tại x = -1; y = 1 là 12.
d) M là một đơn thức.
Câu 14. Cho tam giác ABC. Dựng bên ngoài tam giác đó hai tam giác ABD, ACE vuông cân tại đỉnh A rồi dựng hình bình hành AEID. Biết . Gọi K là trung điểm của BD.
a) .
b) AI ⊥ BC.
c) .
d) .
Phần 3. Câu hỏi trắc nghiệm trả lời ngắn (2,0 điểm)
Trong mỗi câu hỏi từ câu 15 đến câu 18, hãy viết câu trả lời/ đáp án vào bài làm mà không cần trình bày lời giải chi tiết.
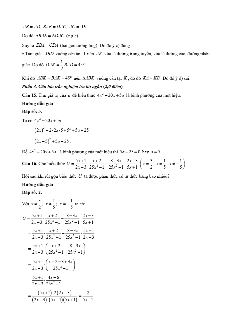
Câu 15. Tìm giá trị của a để biểu thức 4x2 - 20x + 5a là bình phương của một hiệu.
Câu 16. Cho biểu thức
Hỏi sau khi rút gọn biểu thức U ta được phân thức có tử thức bằng bao nhiêu?
Câu 17. Cho hình chóp tam giác đều S.ABC, có cạnh đáy AB = 5 cm và độ dài trung đoạn SI = 6 cm (hình vẽ bên). Tính diện tích xung quanh và diện tích toàn phần của hình chóp S.ABC.
Câu 18. Tứ giác ABCD có số đo các góc tỉ lệ thuận với 4; 3; 5; 6. Tính số đo theo đơn vị độ.
B. TỰ LUẬN (3,0 điểm)
Bài 1. (1,5 điểm) Một cửa hàng sách cũ có một chính sách như sau: nếu khách hàng đăng kí làm hội viên của cửa hàng sách thì mỗi năm phải đóng 50 000 đồng chi phí và chỉ phải mướn sách với giá 5 000 đồng/cuốn sách, còn nếu khách hàng không phải hội viên thì sẽ mướn sách với giá 10 000 đồng/cuốn sách. Gọi s (đồng) là tổng số tiền mỗi khách hàng phải trả trong mỗi năm và t là số cuốn sách mà khách hàng mướn.
a) Lập hàm số của s theo t đối với khách hàng là hội viên và với khách hàng không phải là hội viên.
b) Trung là một hội viên của cửa hàng sách, năm ngoái thì Trung đã trả cho cửa hàng sách tổng cộng 90 000 đồng. Hỏi nếu Trung không phải là hội viên của cửa hàng sách thì số tiền phải trả là bao nhiêu?
c) Một hội viên cần thuê tối thiểu bao nhiêu cuốn sách để có thể bù được phí hội viên?
Bài 2. (1,0 điểm) Cho tam giác ABC có các đường trung tuyến BD, CE cắt nhau tại G. Gọi F, H lần lượt là trung điểm của BG, CG.
a) Tứ giác EFDH là hình gì? Vì sao?
b) Tìm điều kiện của tam giác ABC để tứ giác EFHD là hình vuông.
Bài 3. (0,5 điểm) Tính giá trị lớn nhất của biểu thức .
-----HẾT-----
Phòng Giáo dục và Đào tạo ...
Đề thi Học kì 1 - Cánh diều
năm 2025
Môn: Toán 8
Thời gian làm bài: phút
(Đề số 2)
PHẦN I. TRẮC NGHIỆM KHÁCH QUAN (3,0 điểm)
Hãy viết chữ cái in hoa đứng trước phương án đúng duy nhất trong mỗi câu sau vào bài làm.
Câu 1. Cho các đơn thức và . Hai đơn thức thu gọn trong các đơn thức đã cho là:
A. A và B.
B. A và C.
C. A và D.
D. B và C.
Câu 2. Biểu thức cần điền vào chỗ trống để có hằng đẳng thức đúng là
A. x.
B. -x.
C. 2x.
D. -2x.
Câu 3. Cho phân thức với B ≠ 0. Nhận định nào sau đây là đúng?
A. .
B. .
C. , N ≠ 0.
D. , M ≠ 0.
Câu 4. Phân thức đối của phân thức là
A. .
B. .
C. .
D. .
Câu 5. Cho hàm số y = f(x) = 2x2 - 1. Khẳng định nào sau đây là đúng?
A. f(-1) = -3.
B. f(1) = 1.
C. f(-1) = -1.
D. f(1) = 3.
|
Câu 6. Cho điểm A và B trong mặt phẳng tọa độ Oxy như hình bên. Khẳng định nào sau đây là đúng? A. N (-3; 2). B. N(2; -3). C. M (1; -2). D. M (-1; 2). |
|
Câu 7. Cho hai đường thẳng d: y = ax + b (a c 0) và d': y = a'x + b' (a' ≠ 0). Với điều kiện nào sau đây thì hai đường thẳng d và d' song song?
A. a = a'.
B. a = a' và b = b'.
C. a ≠ a'.
D. a = a' và b ≠ b'.
Câu 8. Góc tạo bởi đường thẳng y = -2x + 1 với trục Ox là
A. góc nhọn.
B. góc vuông.
C. góc tù.
D. góc bẹt.
Câu 9. Tổng số cạnh bên và cạnh đáy của một hình chóp tứ giác đều là
A. 4.
B. 6.
C. 8.
D. 10.
Câu 10. Một hình chóp tam giác đều có cạnh đáy là a và độ dài trung đoạn là b thì có diện tích xung quanh là
A. .
B. Sxq = ab.
C. .
D. Sxq = 3ab.
Câu 11. Một hình thang vuông có một góc bằng 75° góc còn lại không vuông của hình thang đó có số đo là
A. 25°.
B. 75°.
C. 105°.
D. 125°.
Câu 12. Hình thoi cần thêm yếu tố nào để trở thành hình vuông?
A. Hai đường chéo vuông góc.
B. Hai đường chéo bằng nhau.
C. Hai cạnh kề bằng nhau.
D. Một đường chéo là tia phân giác của một góc.
PHẦN II. TỰ LUẬN (7,0 điểm)
Bài 1. (1,0 điểm) Phân tích các đa thức sau thành nhân tử:
a) .
b) .
Bài 2. (1,5 điểm) Cho biểu thức .
a) Viết điều kiện xác định của biểu thức N.
b) Rút gọn biểu thức N.
c) Tính giá trị của biểu thức N khi |x| = 2.
Bài 3. (1,0 điểm) Hàm chi phí đơn giản nhất là hàm chi phí bậc nhất y = ax + b, trong đó b biểu thị chi phí cố định của hoạt động kinh doanh và hệ số a biểu thị chi phí của mỗi mặt hàng được sản xuất. Giả sử rằng một xưởng sản xuất xe đạp có chi phí cố định hằng ngày là 36 triệu đồng và mỗi chiếc xe đạp có chi phí sản xuất là <![if !vml]>
<![endif]> triệu đồng.
a) Viết công thức của hàm số bậc nhất biểu thị chi phí y (triệu đồng) để sản xuất x (xe đạp) trong một ngày.
b) Có thể sản xuất bao nhiêu chiếc xe đạp trong ngày, nếu chi phí trong ngày đó là 72 triệu đồng?
Bài 4. (3,0 điểm)
|
1) Bạn Hà làm một cái lồng đèn hình quả trám (xem hình bên) là hình ghép từ hai hình chóp tứ giác đều có cạnh đáy 20 cm, cạnh bên 26 cm, khoảng cách giữa hai đỉnh của hai hình chóp là 30 cm. a) Tính thể tích của lòng đèn. b) Bạn Hà muốn dán giấy mờ lên cái lòng đèn hình quả trám này thì cần phải chuẩn bị bao nhiêu mét vuông giấy (bỏ qua các mép dán)? |
|
2) Cho tam giác ABC nhọn có AB < AC. Gọi N là trung điểm của AC. Lấy điểm D trên tia BN sao cho BN = ND. Kẻ .
a) Chứng minh N là trung điểm của PQ.
b) Tam giác ABC cần thêm điều kiện gì để tứ giác ABCD là hình vuông.
Bài 5. (0,5 điểm) Cho hai số x, y khác 0 thỏa mãn . Tìm giá trị nhỏ nhất của biểu thức A = xy + 2024.
-----HẾT-----
ĐÁP ÁN
PHẦN I. TRẮC NGHIỆM KHÁCH QUAN (3,0 điểm)
Bảng đáp án trắc nghiệm:
|
Câu |
1 |
2 |
3 |
4 |
5 |
6 |
7 |
8 |
9 |
10 |
11 |
12 |
|
Đáp án |
C |
A |
C |
C |
B |
B |
D |
C |
C |
C |
C |
B |
PHẦN II. TỰ LUẬN (7,0 điểm)
Bài 1. (1,0 điểm):
Bài 2. (1,5 điểm):
a) Ta có x2 - 1 = (x - 1)(x + 1).
Điều kiện xác định của biểu thức N là x + 1 ≠ 0, x - 1 ≠ 0, 2 + x ≠ 0 và x2 - 1 ≠ 0
Hay x ≠ -1, x ≠ 1 và x ≠ 2.
Vậy biểu thức N xác định khi x ≠ -1, x ≠ 1 và x ≠ 2.
b) Với x ≠ -1, x ≠ 1 và x ≠ -2 ta có:
Vậy với x ≠ -1, x ≠ 1 và x ≠ -2 thì .
c) Ta có |x| = 2 suy ra x = 2 (thỏa mãn điều kiện) hoặc x = -2 (không thỏa mãn điều kiện).
Thay x = 2 vào biểu thức , ta được:
.
Vậy khi .
Bài 3. (1,0 điểm):
a) Công thức của hàm số bậc nhất biểu thị chi phí y (triệu đồng) để sản xuất x (xe đạp) trong một ngày là:
y = 1,8x + 36 (triệu đồng).
b) Do chi phí trong ngày đó là 72 triệu đồng nên y = 72 (triệu đồng).
Thay y = 72 vào công thức y = 1,8x + 36 ta có:
1,8x + 36 = 72
1,8x = 36
x = 20
Vậy với chi phí là 72 triệu đồng thì trong ngày đó có thể sản xuất được 20 chiếc xe đạp.
Bài 4. (3,0 điểm):
1)
a) Chiều cao của mỗi hình chóp tứ giác đều là 30:2 = 15 (cm).
Thể tích của lồng đèn quả trám là: (cm3).
b) Một nửa lồng đèn được mô tả bởi hình chóp S.ABCD với các kích thước như hình vẽ.
2)
Bài 5. (0,5 điểm):
Theo đề bài: suy ra
Do đó hay .
Khi đó .
Vậy giá trị nhỏ nhất của biểu thức A là 2 016 khi (x; y) ∈ {(2;-4);(-2;4)}.
-----HẾT-----
................................
................................
................................
Trên đây tóm tắt một số nội dung miễn phí trong bộ Đề thi Toán 8 năm 2026 mới nhất, để mua tài liệu trả phí đầy đủ, Thầy/Cô vui lòng xem thử:
Tham khảo đề thi Toán 8 Cánh diều có đáp án hay khác:
Tủ sách VIETJACK shopee lớp 6-8 (2025):
Đã có app VietJack trên điện thoại, giải bài tập SGK, SBT Soạn văn, Văn mẫu, Thi online, Bài giảng....miễn phí. Tải ngay ứng dụng trên Android và iOS.
Theo dõi chúng tôi miễn phí trên mạng xã hội facebook và youtube:Bộ đề thi các môn học lớp 8 năm 2025 Học kì 1, Học kì 2 của chúng tôi được biên soạn và sưu tầm từ đề thi khối lớp 8 của các trường THCS trên cả nước.
Nếu thấy hay, hãy động viên và chia sẻ nhé! Các bình luận không phù hợp với nội quy bình luận trang web sẽ bị cấm bình luận vĩnh viễn.
- Giải Tiếng Anh 8 Global Success
- Giải sgk Tiếng Anh 8 Smart World
- Giải sgk Tiếng Anh 8 Friends plus
- Lớp 8 - Kết nối tri thức
- Soạn văn 8 (hay nhất) - KNTT
- Soạn văn 8 (ngắn nhất) KNTT
- Giải sgk Toán 8 - KNTT
- Giải sgk Khoa học tự nhiên 8 - KNTT
- Giải sgk Lịch Sử 8 - KNTT
- Giải sgk Địa Lí 8 - KNTT
- Giải sgk Giáo dục công dân 8 - KNTT
- Giải sgk Tin học 8 - KNTT
- Giải sgk Công nghệ 8 - KNTT
- Giải sgk Hoạt động trải nghiệm 8 - KNTT
- Giải sgk Âm nhạc 8 - KNTT
- Lớp 8 - Chân trời sáng tạo
- Soạn văn 8 (hay nhất) - CTST
- Soạn văn 8 (ngắn nhất) - CTST
- Giải sgk Toán 8 - CTST
- Giải sgk Khoa học tự nhiên 8 - CTST
- Giải sgk Lịch Sử 8 - CTST
- Giải sgk Địa Lí 8 - CTST
- Giải sgk Giáo dục công dân 8 - CTST
- Giải sgk Tin học 8 - CTST
- Giải sgk Công nghệ 8 - CTST
- Giải sgk Hoạt động trải nghiệm 8 - CTST
- Giải sgk Âm nhạc 8 - CTST
- Lớp 8 - Cánh diều
- Soạn văn 8 Cánh diều (hay nhất)
- Soạn văn 8 Cánh diều (ngắn nhất)
- Giải sgk Toán 8 - Cánh diều
- Giải sgk Khoa học tự nhiên 8 - Cánh diều
- Giải sgk Lịch Sử 8 - Cánh diều
- Giải sgk Địa Lí 8 - Cánh diều
- Giải sgk Giáo dục công dân 8 - Cánh diều
- Giải sgk Tin học 8 - Cánh diều
- Giải sgk Công nghệ 8 - Cánh diều
- Giải sgk Hoạt động trải nghiệm 8 - Cánh diều
- Giải sgk Âm nhạc 8 - Cánh diều


Giải bài tập SGK & SBT
Tài liệu giáo viên
Sách
Khóa học
Thi online
Hỏi đáp

