Top 50 Đề thi Toán 9 Học kì 1 năm 2026 (cấu trúc mới, có đáp án)
Trọn bộ 50 đề thi Toán 9 Học kì 1 theo cấu trúc mới sách mới Kết nối tri thức, Chân trời sáng tạo, Cánh diều có đáp án và ma trận sẽ giúp bạn ôn tập và đạt điểm cao trong bài thi Toán 9.
Top 50 Đề thi Toán 9 Học kì 1 năm 2026 (cấu trúc mới, có đáp án)
Xem thử Đề thi CK1 Toán 9 KNTT Xem thử Đề thi CK1 Toán 9 CTST Xem thử Đề thi CK1 Toán 9 CD
Chỉ từ 150k mua trọn bộ đề thi Toán 9 Học kì 1 theo cấu trúc mới bản word có lời giải chi tiết, dễ dàng chỉnh sửa:
- B1: gửi phí vào tk:
1133836868- CT TNHH DAU TU VA DV GD VIETJACK - Ngân hàng MB (QR) - B2: Nhắn tin tới Zalo VietJack Official - nhấn vào đây để thông báo và nhận giáo án
Đề thi Toán 9 Học kì 1 (Giáo viên VietJack)
Đề thi Học kì 1 Toán 9 cấu trúc mới (theo bộ sách)
Đề thi Cuối Học kì 1 Toán 9 năm 2025-2026 (trên cả nước)
Đề thi Học kì 1 Toán 9 trường THCS Chu Văn An (Tp. HCM) năm 2025-2026
Đề thi Học kì 1 Toán 9 trường THCS Lê Quý Đôn (Tp. HCM) năm 2025-2026
Đề thi Học kì 1 Toán 9 trường THCS Đoàn Thị Điểm (Tp. HCM) năm 2025-2026
Đề thi Học kì 1 Toán 9 trường THCS Kim Đồng (Tp. HCM) năm 2025-2026
Đề thi Học kì 1 Toán 9 trường chuyên Trần Đại Nghĩa (Tp. HCM) năm 2025-2026
Đề thi Học kì 1 Toán 9 trường THCS Chu Văn An (Hà Nội) năm 2025-2026
Đề thi Học kì 1 Toán 9 trường THCS Hoàng Quốc Việt (Tp. HCM) năm 2025-2026
Đề thi Học kì 1 Toán 9 trường THCS Thống Nhất (Đồng Nai) năm 2025-2026
Đề thi Học kì 1 Toán 9 trường TH&THCS Đông Giang (Hưng Yên) năm 2025-2026
Đề thi Học kì 1 Toán 9 trường THCS Lý Thường Kiệt (Đà Nẵng) năm 2025-2026
Đề thi Học kì 1 Toán 9 trường THCS Tây Sơn (Đà Nẵng) năm 2025-2026
Đề thi Học kì 1 Toán 9 trường THCS Nguyễn Du (Hà Nội) năm 2025-2026
Đề thi Học kì 1 Toán 9 trường THCS Nguyễn Trường Tộ (Hà Nội) năm 2025-2026
Đề thi Học kì 1 Toán 9 trường THCS Hoàng Liệt (Hà Nội) năm 2025-2026
Đề thi Học kì 1 Toán 9 trường TH&THCS Lâm Thao (Bắc Ninh) năm 2025-2026
Đề thi Học kì 1 Toán 9 trường THCS Ngô Sĩ Liên (Hà Nội) năm 2025-2026
Đề thi Học kì 1 Toán 9 cụm chuyên môn số 14 Hà Nội năm 2025-2026
Đề thi Học kì 1 Toán 9 trường THCS Nguyễn Văn Trỗi (Tây Ninh) năm 2025-2026
Đề thi Học kì 1 Toán 9 trường THCS Vĩnh Yên (Phú Thọ) năm 2025-2026
Đề thi Học kì 1 Toán 9 trường THCS Nhật Tân (Hà Nội) năm 2025-2026
Đề thi Học kì 1 Toán 9 trường THCS Lam Sơn (Tp. HCM) năm 2025-2026
Đề thi Học kì 1 Toán 9 trường Thực hành Sài Gòn (Tp. HCM) năm 2025-2026
Đề thi Học kì 1 Toán 9 trường THCS Đặng Tấn Tài (Tp. HCM) năm 2025-2026
Đề thi Học kì 1 Toán 9 trường THCS Tăng Nhơn Phú B (Tp. HCM) năm 2025-2026
Đề thi Học kì 1 Toán 9 trường THCS Nguyễn Thị Minh Khai (Đà Nẵng) năm 2025-2026
Đề thi Học kì 1 Toán 9 trường THCS Chu Văn An (Đà Nẵng) năm 2025-2026
Đề thi Học kì 1 Toán 9 trường THCS Đỗ Đăng Tuyển (Đà Nẵng) năm 2025-2026
Đề thi Học kì 1 Toán 9 trường THCS Phạm Ngọc Thạch (Tp. HCM) năm 2025-2026
Đề thi Học kì 1 Toán 9 phường Ba Đình (Hà Nội) năm 2025-2026
Đề thi Học kì 1 Toán 9 phường Giảng Võ (Hà Nội) năm 2025-2026
Đề thi Học kì 1 Toán 9 trường THPT chuyên Hà Nội – Amsterdam năm 2025-2026
Đề thi Học kì 1 Toán 9 trường THCS Đống Đa (Hà Nội) năm 2025-2026
Đề thi Học kì 1 Toán 9 trường Tạ Quang Bửu (Hà Nội) năm 2025-2026
Đề thi Học kì 1 Toán 9 trường Marie Curie (Hà Nội) năm 2025-2026
Đề thi Học kì 1 Toán 9 trường THCS Đông Thạnh (Tp. HCM) năm 2025-2026
Xem thử Đề thi CK1 Toán 9 KNTT Xem thử Đề thi CK1 Toán 9 CTST Xem thử Đề thi CK1 Toán 9 CD
Phòng Giáo dục và Đào tạo .....
Đề thi Học kì 1 - Kết nối tri thức
năm 2026
Môn: Toán 9
Thời gian làm bài: phút
A. TRẮC NGHIỆM (2,0 điểm)
Câu 1. Phương trình nào sau đây không là phương trình bậc nhất hai ẩn?
A. .
B. 3x - 0y - 2 = 0.
C. .
D. .
Câu 2. Điều kiện xác định của phương trình là
A. x ≠ -3; x ≠ 4.
B. x ≠ 3; x ≠ -4.
C. x ≠ -3; x ≠ 4; x ≠ -2.
D. x ≠ -3; x ≠ -4.
Câu 3. Bất đẳng thức diễn tả khẳng định “ n nhỏ hơn ” là
A. .
B. .
C. .
D. .
Câu 4. Điều kiện xác định của biểu thức A = là
A. .
B. .
C. .
D. .
Câu 5. Cho khi đó cos x bằng
A. .
B. .
C. .
D. .
Câu 6. Cho tam giác ABC vuông tại A có BC = 8 cm, AC = 6 cm. Tỉ số lượng giác C là bao nhiêu? (kết quả được làm tròn đến hàng phần trăm)
A. 0,87.
B. 0,86.
C. 0,88.
D. 0,89.
Câu 7. Điểm M nằm trên đường tròn (O; R) nếu
A. OM = R.
B. OM > R.
C. OM < R.
D. OM = 2R.
Câu 8. Cung có số đo 110° của đường tròn bán kính 8 cm dài bao nhiêu? (làm tròn kết quả đến hàng phần chục)
A. 15,3 cm.
B. 14,5 cm.
C. 15,5 cm.
D. 15 cm.
B. TỰ LUẬN (8,0 điểm)
Bài 1. (2,0 điểm)
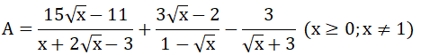
Cho biểu thức và với x > 0, x ≠ 4.
a) Tính giá trị của A khi x = 9.
b) Rút gọn biểu thức B.
c) Tìm tất cả các giá trị nguyên của x để biểu thức P = A.B có giá trị nguyên.
Bài 2. (2,0 điểm)
1. Giải các phương trình, bất phương trình sau:
a) .
b) .
2. Giải bài toán bằng cách lập hệ phương trình.
Một đội công nhân A và B làm chung một công việc và dự định hoàn thành trong 12 ngày. Khi làm chung được 8 ngày thì đội A được điều động đi làm việc khác, đội B tăng gấp đôi năng suất, do đó đội B đã hoàn thành phần việc còn lại trong 8 ngày tiếp theo. Hỏi với năng suất ban đầu thì mỗi đội làm một mình sẽ hoàn thành công việc đó trong bao lâu?
|
Bài 3. (1,0 điểm) Một người có tầm mắt cao 1,65 m đứng trên tầng thượng của tòa Lotte Center thì nhìn thấy một chiếc xe thu gom phế thải đang dừng ở B với góc nghiêng 80° (như hình vẽ). Biết xe đó cách tòa nhà 48 m. a) Tính chiều cao của tòa nhà Lotte Center. b) Một người ở độ cao 200 m của tòa nhà cũng nhìn thấy xe thu gom phế thải khác đang dừng ở E với góc nghiêng 65°. Hỏi hai xe thu gom phế thải cách nhau bao nhiêu mét? (tất cả các kết quả làm tròn đến hàng phần trăm) |
|
Bài 4. (2,5 điểm) Cho đường tròn (O;R) và điểm A nằm ngoài đường tròn (O). Từ A vẽ hai tiếp tuyến AB và AC của đường tròn (O) (B, C là hai tiếp điểm). Gọi H là giao điểm của OA và BC. Từ B vẽ đường kính BD của (O), đường thẳng AD cắt (O) tại E (E khác D).
a) Chứng minh rằng OA ⊥ BC tại H.
b) Chứng minh và AE.AD = AB2.
c) Cho biết OA = , tính diện tích hình quạt giới hạn bởi bán kính OC, OD và cung nhỏ CD.
|
Bài 5. (0,5 điểm) Bạn Nam làm một căn nhà đồ chơi bằng gỗ có phần mái là một chóp tứ giác đều. Biết các cạnh bên của mái nhà bạn Nam dùng các thanh gỗ có chiều dài 16 cm. Bạn Nam dự định dùng giấy màu để phủ kín phần mái nhà. Gọi độ dài cạnh đáy của phần mái là 2x (cm). Hỏi diện tích giấy màu cần sử dụng nhiều nhất là bao nhiêu? |
|
------HẾT------
Phòng Giáo dục và Đào tạo .....
Đề thi Học kì 1 - Chân trời sáng tạo
năm 2026
Môn: Toán 9
Thời gian làm bài: phút
I. TRẮC NGHIỆM (3,0 điểm)
Câu 1. Điều kiện xác định của phương trình là
A. x ≠ 2.
B. x ≠ 3.
C. x ≠ –2; x ≠ 3.
D. x ≠ –3; x ≠ 2.
Câu 2. Nghiệm của hệ phương trình là
A. (2; 1).
B. (1; 2).
C. (–1; 7).
D. (–1; 0).
Câu 3. Cho a bất kỳ. Mệnh đề nào dưới đây là đúng?
A. 2a – 7 > 2a – 5.
B. 2a – 3 > 2a – 2.
C. 3a – 4 > 3a – 6.
D. 2a – 4 > 2a – 5.
Câu 4. Bất phương trình 2 + 5x ≥ –1 – x có tập nghiệm là
A. .
B. .
C. .
D. .
Câu 5. Biểu thức nào sau đây có điều kiện xác định là x ≥ 0, x ≠ 9?
A. .
B. .
C. .
D. .
Câu 6. Điều kiện xác định của là
A. x < 9.
B. x > 9.
C. x ≥ 9.
D. x ≤ 9.
Câu 7. Kết quả của phép tính với a ≥ 0 là
A. .
B. .
C. .
D. .
Câu 8. Cho tam giác MNP vuông tại M. Khi đó, bằng
A. .
B. .
C. .
D. .
Câu 9. Cho tam giác ABC vuông tại A có và AB = 8 cm. Độ dài cạnh BC bằng
A. 4 cm.
B. cm.
C. cm.
D. 16 cm.
Câu 10. Cho hai đường tròn (O; R) và (O'; R') thỏa mãn R - R' < OO' < R + R'. Số điểm chung của hai đường tròn là
A. 0.
B. 1.
C. 2.
D. 3.
Câu 11. Biết độ dài cung 60° là 6π. Độ dài cung tròn có số đo 100° là
A. 6π.
B. .
C. 9π.
D. 10π.
Câu 12. Cho hai đường tròn (O; 2 cm) và (O'; 5 cm) tiếp xúc ngoài thì độ dài của OO' bằng
A. 2 cm.
B. 7 cm.
C. 3 cm.
D. 1 cm.
II. TỰ LUẬN (7,0 điểm)
Bài 1. (1,5 điểm) Cho hai biểu thức: A = và B = với x > 0, x ≠ 9.
a) Tính giá trị của biểu thức A với x = .
b) Rút gọn biểu thức B.
c) Biết P = , tính giá trị lớn nhất của P.
Bài 2. (2,0 điểm)
1. Giải các phương trình, bất phương trình sau:
a) .
b) (x - 4)(x + 4) + 2x(x - 4) ≥ 3x2.
2. Giải bài toán sau bằng cách lập hệ phương trình:
Lan có một dung dịch nước muối sinh lí có nồng độ 1,5% và một dung dịch nước cất không chứa muối (nồng độ 0%). Lan cần pha trộn dung dịch này thu được 1 lít (1000 ml) dung dịch nước muối dinh lí súc miệng có nồng độ 0,9%. Hỏi cần bao nhiêu ml dung dịch nước muối và bao nhiêu ml nước cất để tạo ra dung dịch mong muốn?
|
Bài 3. (1,0 điểm) Một người quan sát một tòa nhà và đứng cách tòa nhà khoảng 25 m. Góc nâng từ mắt người quan sát đến nóc tòa nhà là 36°. |
|
a) Viết tỉ số lượng giác tan 36° trong tình huống này.
b) Nếu anh ta đi thêm 5 m nữa, đến vị trí E nằm giữa C và H, thì góc nâng từ F đến nóc tòa nhà là bao nhiêu (làm tròn đến độ)? Biết chiều cao CD tính từ chân đến mắt người quan sát là 1,6 m.
Bài 4. (2,0 điểm) Cho ∆ABC nhọn có ba đỉnh nằm trên đường tròn (O). Điểm M di động trên cung nhỏ BC. Vẽ MH vuông góc với AB ở H, MK vuông góc với AC ở K.
a) Chứng minh rằng AM là đường kính của đường tròn đi qua ba điểm A, H, K.
b) Chứng minh rằng HK =
c) Xác định vị trí của điểm M trên cung nhỏ BC để HK dài nhất.
|
Bài 5. (0,5 điểm) Nam làm một chiếc hộp không nắp dạng hình hộp chữ nhật bằng bìa carton có thể tích 3 dm3. Biết tỉ số giữa chiều cao h và chiều rộng đáy y bằng 4. Xác định chiều dài x để lượng bìa cần sử dụng là ít nhất. |
|
-----HẾT-----
Phòng Giáo dục và Đào tạo .....
Đề thi Học kì 1 - Cánh diều
năm 2026
Môn: Toán 9
Thời gian làm bài: phút
A. TRẮC NGHIỆM (3,0 điểm)
Câu 1. Điều kiện xác định của phương trình là
A. x ≠ 7 và x ≠ –4.
B. x ≠ 4.
C. x ≠ –7 và x ≠ 4.
D. x ≠ –7.
Câu 2. Trong các hệ phương trình dưới đây, hệ phương trình nào là hệ phương trình bậc nhất hai ẩn?
A. .
B. .
C. .
D. .
Câu 3. Tất cả các nghiệm của phương trình 4x + 2y – 6 = 0 được biểu diễn bởi đường thẳng nào sau đây?
A. y = 2x – 3.
B. y = –2x + 3.
C. y = 3x + 2.
D. y = 4x – 6.
Câu 4. Bất đẳng thức n ≤ 3 có thể được phát biểu là
A. n lớn hơn 3.
B. n nhỏ hơn 3.
C. n không lớn hơn 3.
D. n không nhỏ hơn 3.
Câu 5. Nghiệm của bất phương trình 5x – 4 – 3(2x – 9) ≤ 5x – 8 là
A. .
B. .
C. .
D. .
Câu 6. Với mọi số a, ta luôn có:
A. .
B. .
C. .
D. .
Câu 7. Với hai số a < 0, b > 0, biểu thức có giá trị là
A. –a2.
B. a2.
C. a2b2.
D. –a2b2.
Câu 8. Cho β là góc nhọn bất kì. Khẳng định nào sau đây đúng?
A. .
B. .
C. .
D. .
Câu 9. Cho tam giác ABC vuông tại C có AC = 1,2 cm, AB = 1,5 cm. Tỉ số lượng giác tanB là
A. .
B. .
C. .
D. .
Câu 10. Cho hai đường tròn (O; R) và (O’; r) với R > r cắt nhau tại hai điểm phân biệt và OO’ = d. Chọn khẳng định đúng?
A. d > R + r.
B. d = R – r.
C. d < R – r.
D. R – r < d < R + r.
Câu 11. Khẳng định nào sau đây là sai?
A. Trong một đường tròn, góc nội tiếp chắn nửa đường tròn là góc vuông.
B. Trong một đường tròn, số đo góc nội tiếp bằng nửa số đo góc ở tâm cùng chắn một cung.
C. Trong một đường tròn, hai góc nội tiếp cùng chắn một cung thì bằng nhau.
D. Trong một đường tròn, hai góc nội tiếp bằng nhau thì cùng chắn một cung.
Câu 12. Một công viên có hồ nước hình tròn với bán kính 50 m. Xung quanh hồ, người ta xây một lối đi hình vành khăn có chiều rộng 5 m (hình vẽ). Diện tích lối đi của công viên là
A. 252π m2.
B. 25π m2.
C. 5π m2.
D. 525π m2.
B. TỰ LUẬN (7,0 điểm)
Bài 1. (1,5 điểm) Cho hai biểu thức và với x > 0, x ≠ 1.
a) Tính giá trị của biểu thức A khi x = 16.
b) Rút gọn biểu thức B.
c) Xét biểu thức P = AB. Tìm tất cả các giá trị của x sao cho P nhận giá trị nguyên.
Bài 2. (2,0 điểm)
1. Giải các phương trình và bất phương trình sau:
a) .
b) .
2. Giải bài toán sau bằng cách lập hệ phương trình:
Có hai loại quặng chứa 75% sắt và 50% sắt. Tính khối lượng của mỗi loại quặng đem trộn để được 25 tấn quặng chứa 66% sắt.
Bài 3. (1,0 điểm) Trên nóc của một tòa nhà có một cột ăng – ten cao 5 m. Từ vị trí quan sát A cao 7 m so với mặt đất, có thể nhìn thấy đỉnh B và đỉnh C của một cột ăng – ten dưới góc 50° và 40° so với phương nằm ngang. Tính chiều cao của tòa nhà.
Bài 4. (2,0 điểm) Cho đường tròn (O) và một điểm A nằm ngoài đường tròn. Các tiếp tuyến với đường tròn kẻ từ A tiếp xúc với đường tròn tại B và C. Gọi H là giao điểm của OA và BC, kẻ đường kính BD của đường tròn (O), hạ CM ⊥ BD tại M. Tia AO cắt đường tròn (O) tại E, F.
a) Chứng minh rằng ∆CMD ᔕ ∆ACO.
b) Chứng minh rằng BE là phân giác của .
c) Cho và AH = 4 cm. Tính diện tích hình quạt giới hạn bởi các bán kính OB, OC và cung nhỏ BC.
Bài 5. (0,5 điểm) Một tấm bìa cứng hình chữ nhật có chiều dài là 50 cm và chiều rộng là 30 cm. Bạn Linh cắt ở mỗi góc một tấm bìa hình vuông cạnh x (cm) và xếp phần còn lại thành một hình hộp không nắp. Tìm x để diện tích xung quanh của hình hộp chữ nhật sau khi cắt là lớn nhất.
-----HẾT-----
Xem thử Đề thi CK1 Toán 9 KNTT Xem thử Đề thi CK1 Toán 9 CTST Xem thử Đề thi CK1 Toán 9 CD
Lưu trữ: Đề thi Học kì 1 Toán 9 (sách cũ)
Xem thêm đề thi Toán 9 có đáp án, chọn lọc hay khác:
Top 50 Đề thi Toán 9 Giữa kì 1 năm 2026 (cấu trúc mới, có đáp án)
Top 50 Đề thi Toán 9 Giữa kì 2 năm 2026 (cấu trúc mới, có đáp án)
Top 50 Đề thi Toán 9 Học kì 2 năm 2026 (cấu trúc mới, có đáp án)
Xem thêm đề thi lớp 9 các môn học có đáp án hay khác:
Tài liệu giáo án lớp 9 các môn học chuẩn khác:
Loạt bài Đề thi Toán lớp 9 năm 2025 học kì 1 và học kì 2 được biên soạn bám sát cấu trúc ra đề thi mới Tự luận và Trắc nghiệm giúp bạn giành được điểm cao trong các bài thi Toán lớp 9.
Nếu thấy hay, hãy động viên và chia sẻ nhé! Các bình luận không phù hợp với nội quy bình luận trang web sẽ bị cấm bình luận vĩnh viễn.
- Giáo án lớp 9 (các môn học)
- Giáo án điện tử lớp 9 (các môn học)
- Giáo án Toán 9
- Giáo án Ngữ văn 9
- Giáo án Tiếng Anh 9
- Giáo án Khoa học tự nhiên 9
- Giáo án Vật Lí 9
- Giáo án Hóa học 9
- Giáo án Sinh học 9
- Giáo án Địa Lí 9
- Giáo án Lịch Sử 9
- Giáo án GDCD 9
- Giáo án Tin học 9
- Giáo án Công nghệ 9
- Đề thi lớp 9 (các môn học)
- Đề thi Ngữ Văn 9 (có đáp án)
- Đề thi Toán 9 (có đáp án)
- Đề thi Tiếng Anh 9 mới (có đáp án)
- Đề thi Tiếng Anh 9 (có đáp án)
- Đề thi Khoa học tự nhiên 9 (có đáp án)
- Đề thi Lịch Sử và Địa Lí 9 (có đáp án)
- Đề thi GDCD 9 (có đáp án)
- Đề thi Tin học 9 (có đáp án)
- Đề thi Công nghệ 9 (có đáp án)
Giải bài tập SGK & SBT
Tài liệu giáo viên
Sách
Khóa học
Thi online
Hỏi đáp



