15+ Đề thi Giữa kì 1 Toán 9 Kết nối tri thức (cấu trúc mới, có đáp án)
Với bộ 15+ Đề thi Giữa kì 1 Toán 9 Kết nối tri thức năm 2026 theo cấu trúc mới có đáp án và ma trận được biên soạn và chọn lọc từ đề thi Toán 9 của các trường THCS trên cả nước sẽ giúp học sinh lớp 9 ôn tập và đạt kết quả cao trong các bài thi Giữa kì 1 Toán 9.
15+ Đề thi Giữa kì 1 Toán 9 Kết nối tri thức (cấu trúc mới, có đáp án)
Chỉ từ 150k mua trọn bộ Đề thi Giữa kì 1 Toán 9 Kết nối tri thức theo cấu trúc mới bản word có lời giải chi tiết:
- B1: gửi phí vào tk:
1133836868- CT TNHH DAU TU VA DV GD VIETJACK - Ngân hàng MB (QR) - B2: Nhắn tin tới Zalo VietJack Official - nhấn vào đây để thông báo và nhận đề thi
Đề thi Giữa kì 1 Toán 9 Kết nối tri thức (Giáo viên VietJack)
Đề thi Giữa kì 1 Toán 9 năm 2025-2026 (trên cả nước)
Đề thi Giữa kì 1 Toán 9 THCS&THPT Lương Thế Vinh năm 2025-2026
Đề thi Giữa kì 1 Toán 9 THCS Lê Quý Đôn (Tp HCM) năm 2025-2026
Đề thi Giữa kì 1 Toán 9 THCS&THPT Lê Quý Đôn (Hà Nội) năm 2025-2026
Phòng Giáo dục và Đào tạo .....
Đề thi Giữa kì 1 - Kết nối tri thức
năm 2025
Môn: Toán 9
Thời gian làm bài: phút
(Đề 1)
A. TRẮC NGHIỆM (7,0 điểm)
Phần 1. Câu trắc nghiệm nhiều phương án lựa chọn (3,0 điểm)
Trong mỗi câu hỏi từ câu 1 đến câu 12, hãy viết chữ cái in hoa đứng trước phương án đúng duy nhất vào bài làm.
Câu 1. Trong các phương trình sau phương trình nào không phải là phương trình bậc nhất hai ẩn?
A. 2x - 3y = 5
B. 0x + 2y = 4
C. 2x - 0y = 3
D. 0x - 0y = 6
Câu 2. Cặp số nào dưới đây là thuộc đường thẳng biểu diễn nghiệm của phương trình 2x - 5 = 19?
A. (2; -3)
B. (1; 1)
C. (1; -2)
D. (12; -1)
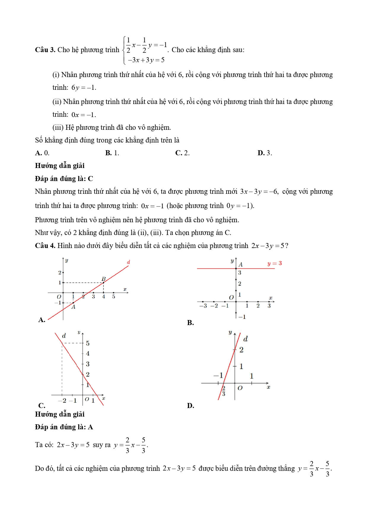
Câu 3. Cho hệ phương trình Cho các khẳng định sau:
(i) Nhân phương trình thứ nhất của hệ với 6, rồi cộng với phương trình thứ hai ta được phương trình: 6y = -1.
(ii) Nhân phương trình thứ nhất của hệ với 6, rồi cộng với phương trình thứ hai ta được phương trình: 0x = -1.
(iii) Hệ phương trình đã cho vô nghiệm.
Số khẳng định đúng trong các khẳng định trên là
A. 0.
B. 1.
C. 2.
D. 3.
Câu 4. Hình nào dưới đây biểu diễn tất cả các nghiệm của phương trình 2x - 3y = 5?
Câu 5. Điều kiện xác định của phương trình là
A.
B.
C. và
D. và
Câu 6. Tổng các nghiệm của phương trình là
A. 5
B. 1
C. -5
D. -1
Câu 7. Bất phương trình nào sau đây là bất phương trình bậc nhất một ẩn?
A. x + y > 8
B. 0x + 5 ≥ 0
C. 2x - 3 > 4
D. x2 - 6x + 1 ≤ 0
|
Câu 8. Biển báo giao thông trong hình bên báo đường cấm các xe cơ giới và thô sơ (kể cả các xe được ưu tiên theo quy định) có độ dài toàn bộ kể cả xe và hàng lớn hơn trị số ghi trên biển đi qua. Nếu xe có chiều rộng lớn hơn 3,2 mthì không được phép lưu thông để đảm bảo an toàn cho cả xe và các phương tiện khác, cũng như tránh gây cản trở giao thông. Nếu một xe tải đi trên đường đó có chiều rộng a (m) thỏa mãn điều kiện nào sau đây là đúng nhất? |
|
A. a ≤ 3,2.
B. a > 3,2
C. a ≥ 3,2.
D. a = 3,2.
Câu 9. Cho tam giác MNP vuông tại M có đường cao MH và . Tỉ số bằng
A. cot α.
B. cos α.
C. sin α.
D. tan α.
Câu 10. Cho tam giác ABC vuông tại A. Hệ thức nào sau đây không đúng?
A.
B.
C.
D.
Câu 11. Cho góc α thỏa mãn . Biết . Giá trị của bằng
A.
B.
C.
D.
Câu 12. Cho hình bình hành ABCD có và . Hỏi diện tích của hình bình hành là bao nhiêu? (Kết quả làm tròn đến hàng phần mười)
A. 14
B. 14,6
C. 14,5
D. 14,9
Phần 2. Câu trắc nghiệm đúng sai (2,0 điểm)
Trong câu 13 và câu 14, hãy chọn đúng hoặc sai cho mỗi ý a), b), c), d).
Câu 13. Cho phương trình 4x - 7y = -1 (*).
a) Hệ số a, b, c của phương trình (*) lần lượt là 4; -7; -1.
b) Phương trình (*) là không phải phương trình bậc nhất hai ẩn vì hệ số b < 0.
c) Cặp số (0; 5) là nghiệm của phương trình (*).
d) Biểu diễn hình học tất cả các nghiệm của phương trình (*) là đường thẳng
d) Tập hợp các điểm có tọa độ (x; y) thỏa mãn phương trình (*) là đường thẳng y = 2x - 1.
Câu 14. Cho hai số a, b và a > 1 > b.
a) a - 1 > 0.
b) a - b < 0.
c) (a - 1)(b - 1) < 0.
d) a - 2b < - 1
Phần 3. Câu hỏi trắc nghiệm trả lời ngắn (2,0 điểm)
Trong mỗi câu hỏi từ câu 15 đến câu 18, hãy viết câu trả lời/ đáp án vào bài làm mà không cần trình bày lời giải chi tiết.
Câu 15. Cho hệ phương trình có nghiệm (x; y). Tính tổng x + y.
Câu 16. Phương trình có bao nhiêu nghiệm?
Câu 17. Tìm giá trị nguyên lớn nhất của x thỏa mãn bất phương trình .
Câu 18. Biết tính giá trị biểu thức
B. TỰ LUẬN (3,0 điểm)
Bài 1. (1,0 điểm) Giải bài toán sau bằng cách lập hệ phương trình:
Anh Hoài đã đến phòng tập thể dục và tập 40 phút Yoga, sau đó nhảy Jumping jacks 10 phút và tiêu hao được 510 calo. Lần tiếp theo anh Hoài tập 30 phút Yoga và thực hiện nhảy Jumping jacks 20 phút, lượng calo tiêu hao được là 470 calo. Hỏi có bao nhiêu calo đã tiêu hao trong mỗi phút tập Yoga? Có bao nhiêu calo đã tiêu hao trong mỗi phút tập Jumping jacks?
Bài 2. (1,5 điểm)
1) Cho tam giác ABC có đường cao Tính độ dài các cạnh của tam giác ABC (làm tròn kết quả đến chữ số thập phân thứ hai).
2) Một người quan sát ở đài hải đăng cao 149 m so với mực nước biển nhìn thấy một con tàu ở xa với một góc nghiêng xuống đất là 27°. Hỏi tàu đang đứng cách chân hải đăng là bao nhiêu mét? (làm tròn kết quả đến hàng đơn vị)
Bài 3. (0,5 điểm) Người ta giăng lưới để nuôi riêng một loại cá trên một góc hồ. Biết rằng lưới được giăng theo một đường thẳng từ một vị trí trên bờ ngang đến một vị trí trên bờ dọc và phải đi qua một cái cọc đã cắm sẵn ở vị trí A. Hỏi diện tích nhỏ nhất có thể giăng là bao nhiêu, biết rằng khoảng cách từ cọc đến bờ ngang là 5 m và khoảng cách từ cọc đến bờ dọc là 12 m.
-----HẾT-----
Phòng Giáo dục và Đào tạo .....
Đề thi Giữa kì 1 - Kết nối tri thức
năm 2025
Môn: Toán 9
Thời gian làm bài: phút
(Đề 2)
A. TRẮC NGHIỆM (3,0 điểm)
Phần 1. Câu trắc nghiệm nhiều phương án lựa chọn
Trong mỗi câu hỏi từ câu 1 đến câu 4, hãy viết chữ cái in hoa đứng trước phương án đúng duy nhất vào bài làm.
Câu 1. Cặp số nào sau đây không phải là nghiệm của phương trình 2x – y – 1 = 0?
A. (1; 1).
B. (2; 3).
C. (1; –2).
D. (0; –1).
Câu 2. Hệ phương trình có nhiều nhất bao nhiêu nghiệm?
A. 0.
B. 1.
C. 2.
D. Vô số.
Câu 3. Cho tam giác ABC vuông tại A có đường cao AH. Khi đó bằng
A. sinC.
B. cosC.
C. tanC.
D. cotC.
Câu 4. Cho α và β là hai góc nhọn bất kì thỏa mãn α + β = 90° và sinα = 0,5. Khẳng định nào sau đây là đúng?
A. sinβ = 0,5.
B. cosβ = 0,5.
C. tanβ = 0,5.
D. cotβ = 0,5.
Phần 2. Câu trắc nghiệm đúng sai
Trong câu 5, hãy chọn đúng hoặc sai cho mỗi ý a), b), c), d).
Câu 5. Cho ba số a, b, c thỏa mãn a > b và c < 0.
a) ac < bc.
b) .
c) 2a – c > 2b – c.
d) c – 3a > c – 3b.
Phần 3. Câu hỏi trắc nghiệm trả lời ngắn
Trong mỗi câu 6 và câu 7, hãy viết câu trả lời/ đáp án vào bài làm mà không cần trình bày lời giải chi tiết.
Câu 6. Xác định hàm số y = ax + b để đồ thị của nó đi qua hai điểm A(–2; –1) và B(1; 4).
Câu 7. Cho tam giác ABC vuông tại A có AB = 5 cm và AC = 11 cm. Số đo góc B được làm tròn đến phút là bao nhiêu?
B. TỰ LUẬN (7,0 điểm)
Bài 1. (2,0 điểm) Giải các phương trình và bất phương trình sau:
a) (2x + 5)(1 – 4x) = 0.
b) .
c) 13 – 5x > –3x + 9.
d) .
Bài 2. (2,5 điểm)
a) Tìm các hệ số x và y trong phản ứng hóa học đã được cân bằng sau:
xFe3O4 + O2 → yFe2O3.
Từ đó, hãy hoàn thiện phương trình phản ứng hóa học sau khi được cân bằng.
b) Giải bài toán sau bằng cách lập hệ phương trình:
Khi cho hai vòi nước cùng chảy vào một bể cạn thì sau 1 giờ 20 phút sẽ đầy bể. Nếu mở vòi thứ nhất chảy trong 10 phút và mở vòi thứ hai chảy trong 12 phút thì sẽ được bể. Hỏi nếu chảy riêng, mỗi vòi nước sẽ chảy đầy bể trong bao lâu?
Bài 3. (2,5 điểm)
1) Bạn An muốn tính khoảng cách AB (làm tròn đến hàng phần mười của mét) ở hai bên hồ nước (hình vẽ). Biết rằng các khoảng cách từ một điểm C đến A và đến B là CA = 90 m, CB = 150 m và bạn ấy dùng giác kế đo được . Hãy tính AB giúp bạn An.
2) Cho tam giác ABC vuông tại A có đường cao AH (H ∈ BC).
a) Biết AC = 4 cm và . Tính độ dài đường cao AH, cạnh AB và BC (làm tròn kết quả đến hàng phần trăm của cm).
b) Kẻ HM vuông góc với AB tại M và HN vuông góc với AC tại N. Chứng minh rằng .
-----HẾT-----
ĐÁP ÁN
A. TRẮC NGHIỆM (3,0 điểm)
Bảng đáp án trắc nghiệm:
|
Câu |
1 |
2 |
3 |
4 |
5a |
5b |
5c |
5d |
6 |
7 |
|
Đáp án |
C |
D |
D |
B |
Đ |
S |
Đ |
S |
B. TỰ LUẬN (7,0 điểm)
Bài 1. (2,0 điểm) Giải các phương trình và bất phương trình sau:
a) (2x + 5)(1 – 4x) = 0
2x + 5 = 0 hoặc 1 – 4x = 0
2x = –5 hoặc –4x = –1
x = hoặc x =
Vậy phương trình đã cho có hai nghiệm là x = ; x = .
b) Điều kiện xác định: x ≠ –1; x ≠ 4.
(x + 4)(x – 4) – (x + 1)2 = 15x
x2 – 16 – (x2 + 2x + 1) = 15x
x2 – 16 – x2 – 2x – 1 = 15x
–17x = 17
x = –1 (không thỏa mãn điều kiện).
Vậy phương trình đã cho vô nghiệm.
c) 13 – 5x > –3x + 9
–5x + 3x > 9 – 13
–2x > –4
x < 2.
Vậy bất phương trình đã cho có nghiệm là x < 2.
d)
4(x + 1) + 3(2x + 1) ≤ 2(5x + 3) + 7 + 12x
4x + 4 + 6x + 3 ≤ 10x + 6 + 7 + 12x
10x + 7 ≤ 22x + 13
10x – 22x ≤ 13 – 7
–12x ≤ 6
.
Vậy bất phương trình đã cho có nghiệm là .
Bài 2. (2,5 điểm)
a) Vì số nguyên tử của Fe và O ở cả hai vế của phương trình phản ứng phải bằng nhau nên ta có hệ phương trình: hay .
Nhân hai vế của phương trình thứ nhất với 3 và nhân hai vế của phương trình thứ hai với 2, ta được hệ phương trình mới là
Trừ từng vế phương trình thứ nhất cho phương trình thứ hai của hệ trên ta được: x = 4.
Thay x = 4 vào phương trình 3x = 2y, ta được:
3.4 = 2y hay 2y = 12 nên y = 6.
Vậy x = 4 và y = 6. Khi đó, ta hoàn thiện được phương trình phản ứng hóa học đã cho như sau:
4Fe3O4 + O2 → 6Fe2O3.
b) Đổi: 1 giờ 20 phút = giờ; 10 phút = giờ; 12 phút = (giờ).
Gọi x (giờ); y (giờ) lần lượt là thời gian vòi thứ nhất và vòi thứ hai chảy một mình thì đầy bể .
⦁ Trong một giờ vòi thứ nhất chảy được: (bể).
Trong một giờ vòi thứ hai chảy được: (bể).
Do đó, trong một giờ cả hai vòi sẽ chảy được: (bể).
Theo bài, cả hai vòi cùng chảy thì sau (giờ) sẽ đầy bể nên trong một giờ cả hai vòi sẽ chạy được: (bể).
Do đó, ta có phương trình (1)
⦁ Khi mở vòi thứ nhất trong 10 phút thì vòi thứ nhất chảy được (bể).
Khi mở vòi thứ hai trong 12 phút thì vòi thứ hai chảy được (bể).
Theo bài, nếu mở vòi thứ nhất chảy trong 10 phút và mở vòi thứ hai chảy trong 12 phút thì sẽ được bể nên ta có phương trình (2)
Từ phương trình (1) và phương trình (2) ta có hệ phương trình:
Nhân hai vế của phương trình thứ hai của hệ trên với 5, ta được:
Trừ từng vế của phương trình thứ nhất cho phương trình thứ hai của hệ trên, ta được:
hay , suy ra nên x = 2 (thỏa mãn).
Thay x = 2 vào phương trình , ta được:
suy ra nên y = 4 (thỏa mãn).
Vậy vòi thứ nhất chảy một mình thì sau 2 giờ sẽ đầy bể; vòi thứ hai chảy một mình thì sau 4 giờ sẽ đầy bể.
Bài 3. (2,5 điểm)
1) Ta có (hai góc kề bù)
Suy ra = 180° - 120° = 60°.
Xét ∆ACH vuông tại H, ta có:
⦁ AH = AC. = 90.sin60° = 90. = (m).
⦁ CH = AC. = 90.sin60° = 90. = 45 (m).
Ta có: BH = BC + CH = 120 + 45 = 165 (m).
Xét ∆ABH vuông tại H, theo định lí Pythagore, ta có:
AB2 = BH2 + AH2 = 1652 + = 33 300.
Suy ra AB = ≈ 182,5 (m).
Vậy khoảng cách AB giữa hai bên hồ nước đã cho là khoảng 182,5 mét.
2) a)
Xét ∆AHC vuông tại H, ta có:
AH = AC.sinC = 4 . sin 40° ≈ 2,57 (cm).
Xét ∆ABC vuông tại A, ta có:
⦁ AB = AC.tanC = 4 . tan 40° ≈ 3,36 (cm);
⦁ AC = BC.cosC, suy ra BC = (cm).
b)
Xét ∆ABC vuông tại A, ta có:
⦁ tan C = . Khi đó .
⦁ cos B = .
Xét ∆ABH vuông tại H, ta có: cos B = .
Do đó cos B = nên AB2 = BH.BC.
Tương tự, ta cũng có cos C = nên AC2 = CH.BC.
Khi đó, = = .
Mặt khác, ta cũng chứng minh được:
cos B = nên BH2 = BM.AB.
cos C = nên CH2 = CN.AC.
Do đó = = =
Suy ra , mà nên .
-----HẾT-----
................................
................................
................................
Trên đây tóm tắt một số nội dung miễn phí trong bộ Đề thi Toán 9 năm 2026 mới nhất, để mua tài liệu trả phí đầy đủ, Thầy/Cô vui lòng xem thử:
Tham khảo đề thi Toán 9 Kết nối tri thức có đáp án hay khác:
Tủ sách VIETJACK luyện thi vào 10 cho 2k11 (2026):
Đã có app VietJack trên điện thoại, giải bài tập SGK, SBT Soạn văn, Văn mẫu, Thi online, Bài giảng....miễn phí. Tải ngay ứng dụng trên Android và iOS.
Theo dõi chúng tôi miễn phí trên mạng xã hội facebook và youtube:Loạt bài Đề thi các môn học lớp 9 năm 2025 học kì 1 và học kì 2 được biên soạn bám sát cấu trúc ra đề thi mới Tự luận và Trắc nghiệm giúp bạn giành được điểm cao trong các bài thi lớp 9.
Nếu thấy hay, hãy động viên và chia sẻ nhé! Các bình luận không phù hợp với nội quy bình luận trang web sẽ bị cấm bình luận vĩnh viễn.
- Giáo án lớp 9 (các môn học)
- Giáo án điện tử lớp 9 (các môn học)
- Giáo án Toán 9
- Giáo án Ngữ văn 9
- Giáo án Tiếng Anh 9
- Giáo án Khoa học tự nhiên 9
- Giáo án Vật Lí 9
- Giáo án Hóa học 9
- Giáo án Sinh học 9
- Giáo án Địa Lí 9
- Giáo án Lịch Sử 9
- Giáo án GDCD 9
- Giáo án Tin học 9
- Giáo án Công nghệ 9
- Đề thi lớp 9 (các môn học)
- Đề thi Ngữ Văn 9 (có đáp án)
- Đề thi Toán 9 (có đáp án)
- Đề thi Tiếng Anh 9 mới (có đáp án)
- Đề thi Tiếng Anh 9 (có đáp án)
- Đề thi Khoa học tự nhiên 9 (có đáp án)
- Đề thi Lịch Sử và Địa Lí 9 (có đáp án)
- Đề thi GDCD 9 (có đáp án)
- Đề thi Tin học 9 (có đáp án)
- Đề thi Công nghệ 9 (có đáp án)


Giải bài tập SGK & SBT
Tài liệu giáo viên
Sách
Khóa học
Thi online
Hỏi đáp

