Bộ Đề thi khảo sát chất lượng đầu năm Toán lớp 5 (có lời giải)
Tuyển chọn Đề thi khảo sát chất lượng đầu năm Toán lớp 5 năm 2025 chương trình sách mới Kết nối tri thức, Chân trời sáng tạo, Cánh diều chọn lọc được các Giáo viên nhiều năm kinh nghiệm biên soạn và sưu tầm từ đề thi KSCL đầu năm Toán lớp 5 của các trường Tiểu học trên cả nước. Hi vọng bộ đề thi này sẽ giúp học sinh ôn tập và đạt kết quả cao trong các bài thi khảo sát chất lượng đầu năm môn Toán lớp 5.
Bộ Đề thi khảo sát chất lượng đầu năm Toán lớp 5 (có lời giải)
Chỉ từ 60k mua trọn bộ đề thi khảo sát chất lượng đầu năm Toán 5 năm 2026 theo cấu trúc mới bản word có lời giải chi tiết, trình bày đẹp mắt, dễ dàng chỉnh sửa:
- B1: gửi phí vào tk:
1133836868- CT TNHH DAU TU VA DV GD VIETJACK - Ngân hàng MB (QR) - B2: Nhắn tin tới Zalo VietJack Official - nhấn vào đây để thông báo và nhận đề thi
Phòng Giáo dục và Đào tạo .....
Đề thi khảo sát chất lượng đầu năm
Năm 2025
Bài thi môn: Toán lớp 5
Thời gian làm bài: phút
(Đề thi số 1)
I. Phần trắc nghiệm. (3 điểm)
Khoanh tròn vào chữ cái đặt trước câu trả lời đúng:
Câu 1. Số “Năm triệu chín trăm sáu mươi nghìn không trăm năm mươi ba” được viết là:
A. 5 906 530
B. 5 906 503
C. 5 960 053
D. 5 690 035
Câu 2. Trong số 519 743 620, giá trị của chữ số 3 gấp giá trị của chữ số 6 số lần là:
A. 50 lần
B. 5 lần
C. 500 lần
D. 5000 lần
Câu 3. Trong các phép tính dưới đây, phép tính có kết quả lớn nhất là:
A.
B.
C.
D.
Câu 4. Một cửa hàng nhập về 3 tạ gạo. Buổi sáng bán được số gạo nhập về, buổi chiều bán được số gạo nhập về. Vậy số gạo cửa hàng còn lại là:
A. 200 kg
B. 240 kg
C. 160 kg
D. 140 kg
Câu 5. Một hình bình hành có độ dài đáy là 18 cm, chiều cao bằng độ dài đáy. Diện tích hình bình hành là:
A. 108 cm2
B. 216 cm2
C. 243 cm2
D. 485 cm2
Câu 6. Rút gọn phân số được phân số tối giản là:
A.
B.
C.
D.
Phần II. Tự luận (7 điểm)
Bài 1. (2 điểm) Tính:
Bài 2. (1 điểm) Tính bằng cách thuận tiện:
|
a) ................................... ................................... ................................... ................................... ................................... ................................... |
b) ................................... ................................... ................................... ................................... ................................... ................................... |
Bài 3. (2 điểm) Một thửa ruộng hình chữ nhật có nửa chu vi là 136 m, biết chiều dài bằng chiều rộng.
a) Tính diện tích của thửa ruộng.
b) Người ta trồng lúa trên thửa ruộng, cứ 1 m2 thì thu được kg thóc. Tính số thóc thu được trên thửa ruộng đó.
Bài giải
................................................................................................
................................................................................................
................................................................................................
................................................................................................
................................................................................................
Bài 4. (1 điểm) Cho dãy số 5, 7, 9, 11, ......, 2011. Tìm số chữ số của dãy.
Bài giải
................................................................................................
................................................................................................
................................................................................................
................................................................................................
Bài 5. (1 điểm) Sắp xếp các phân số dưới đây theo thứ tự từ bé đến lớn: .
Bài làm
................................................................................................
................................................................................................
................................................................................................
................................................................................................
ĐÁP ÁN
I. Phần trắc nghiệm. (3 điểm)
|
Câu |
1 |
2 |
3 |
4 |
5 |
6 |
|
Đáp án |
C |
B |
A |
D |
B |
D |
Câu 1.
Đáp án đúng là: C
Số “Năm triệu chín trăm sáu mươi nghìn không trăm năm mươi ba” được viết là: 5 960 053
Câu 2.
Đáp án đúng là: B
Trong số 519 743 620:
Giá trị của chữ số 6 là: 600
Giá trị của chữ số 3 là: 3 000
Vậy giá trị của chữ số 3 gấp giá trị của chữ số 6 số lần là:
3 000 : 600 = 5 (lần)
Đáp số: 5 lần
Câu 3.
Đáp án đúng là: A
A.
B.
C.
D.
Ta có: nên phép tính có kết quả lớn nhất.
Câu 4.
Đáp án đúng là: D
Số tạ gạo bán buổi sáng được là: (tạ)
Số tạ gạo bán buổi chiều được là: = 1 (tạ)
Tổng số gạo bán được buổi sáng và buổi chiều là:
(tạ)
Số gạo còn lại của cửa hàng là:
(tạ) = 140 kg
Đáp số: 140 kg
Câu 5.
Đáp án đúng là: B
Chiều cao của hình bình hành là:
= 12 (cm)
Diện tích hình bình hành là:
18 × 12 = 216 (cm2)
Đáp số: 216 cm2
Câu 6.
Đáp án đúng là: D
Phần II. Tự luận (7 điểm)
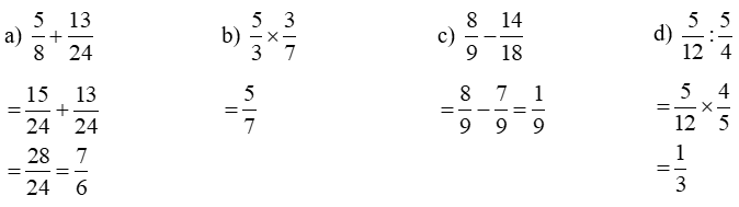
Bài 1.
Bài 2.
|
a) |
b) |
Bài 3.
a) Ta có sơ đồ:
Theo sơ đồ, tổng số phần bằng nhau là:
5 + 3 = 8 (phần)
Chiều dài thửa ruộng hình chữ nhật là:
136 : 8 × 5 = 85 (m)
Chiều rộng thửa ruộng hình chữ nhật là:
136 – 85 = 51 (m)
Diện tích thửa ruộng hình chữ nhật là:
85 × 51 = 4335 (m2)
b) Số thóc thu được trên thửa ruộng là:
4335 × = 2601 (kg)
Đáp số: a) 4335 (m2)
b) 2601 kg
Bài 4.
Số các số có 1 chữ số là: 5, 7, 9. Có 3 số
Số các số có 2 chữ số là: (99 – 11) : 2 + 1 = 45 số
Số các số có 3 chữ số là: (999 – 101) : 2 + 1 = 450 (số)
Số các số có 4 chữ số là: (2011 – 1001) : 2 + 1 = 506 (số)
Số chữ số của dãy là:
3 × 1 + 45 × 2 + 450 × 3 + 506 × 4 = 3 467 (chữ số)
Đáp số: 3 467 (số)
Bài 5.
Ta có: ; ; ; .
Vì nên .
Xem thêm đề thi Toán lớp 5 có đáp án hay khác:
Xem thêm đề thi lớp 5 các môn học có đáp án hay khác:
Tài liệu giáo án lớp 5 các môn học chuẩn khác:
Tủ sách VIETJACK shopee lớp 1-5 (2025):
Đã có app VietJack trên điện thoại, giải bài tập SGK, SBT Soạn văn, Văn mẫu, Thi online, Bài giảng....miễn phí. Tải ngay ứng dụng trên Android và iOS.
Theo dõi chúng tôi miễn phí trên mạng xã hội facebook và youtube:Loạt bài Đề thi Toán lớp 5 có đáp án của chúng tôi được biên soạn bám sát nội dung chương trình sgk Toán 5 sách mới.
Nếu thấy hay, hãy động viên và chia sẻ nhé! Các bình luận không phù hợp với nội quy bình luận trang web sẽ bị cấm bình luận vĩnh viễn.
- Giáo án lớp 5 (các môn học)
- Giáo án điện tử lớp 5 (các môn học)
- Giáo án Toán lớp 5
- Giáo án Tiếng Việt lớp 5
- Giáo án Khoa học lớp 5
- Giáo án Đạo đức lớp 5
- Giáo án Lịch Sử và Địa Lí lớp 5
- Giáo án Tin học lớp 5
- Giáo án Công nghệ lớp 5
- Đề thi lớp 5 (các môn học)
- Đề thi Tiếng Việt lớp 5 (có đáp án)
- Bài tập cuối tuần Tiếng Việt lớp 5(có đáp án)
- Đề thi Toán lớp 5 (có đáp án)
- Bài tập cuối tuần Toán lớp 5 (có đáp án)
- Ôn hè Toán lớp 5 lên lớp 6
- Đề thi Tiếng Anh lớp 5 (có đáp án)
- Đề thi Khoa học lớp 5 (có đáp án)
- Đề thi Lịch Sử & Địa Lí lớp 5 (có đáp án)
- Đề thi Đạo Đức lớp 5 (có đáp án)
- Đề thi Tin học lớp 5 (có đáp án)
- Đề thi Công nghệ lớp 5 (có đáp án)


Giải bài tập SGK & SBT
Tài liệu giáo viên
Sách
Khóa học
Thi online
Hỏi đáp

