Đề thi Giữa học kì 1 Toán 9 Hà Nội năm 2025 (7 đề)
Tuyển chọn Đề thi Giữa học kì 1 Toán 9 Hà Nội năm 2025 (7 đề) chọn lọc được các Giáo viên nhiều năm kinh nghiệm biên soạn và sưu tầm từ đề thi Toán 9 của các trường THCS. Hi vọng bộ đề thi này sẽ giúp học sinh ôn tập và đạt kết quả cao trong các bài thi Giữa Học kì 1 môn Toán 9.
Đề thi Giữa học kì 1 Toán 9 Hà Nội năm 2025 (7 đề)
Chỉ từ 150k mua trọn bộ trên Đề thi Giữa kì 1 Toán 9 theo cấu trúc mới bản word có lời giải chi tiết:
- B1: gửi phí vào tk:
1133836868- CT TNHH DAU TU VA DV GD VIETJACK - Ngân hàng MB (QR) - B2: Nhắn tin tới Zalo VietJack Official - nhấn vào đây để thông báo và nhận đề thi
Phòng Giáo dục và Đào tạo .....
Đề thi Giữa Học kì 1 Hà Nội
năm 2025
Bài thi môn: Toán 9
Thời gian làm bài: 60 phút
(không kể thời gian phát đề)
(Đề số 1)
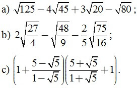
Câu 1. (2 điểm) Rút gọn biểu thức sau:
Câu 2. (2 điểm) Cho biểu thức:
a) Rút gọn biểu thức P.
b) Tính giá trị của P khi
.
c) Tìm x để P có giá trị là số tự nhiên.
Câu 3. (2 điểm) Giải phương trình:

Câu 4. (3,5 điểm)
1) Một chiếc đò đang ở điểm A muốn băng qua sông theo đường AH vuông góc với bờ bên kia nhưng bị nước cuốn đi nên tấp vào bờ bên kia ở điểm B cách H 50m (BH = 50m). Tìm chiều rộng con sông (AH) và quãng đường đò đã đi (AB).
2) Cho ΔABC có AC = 16cm, AB = 12cm, BC = 20cm. Đường cao AH.
a) Chứng minh ΔABC vuông.
b) Tính AH, ∠B, ∠C .
c) Từ H kẻ HE, HF lần lượt vuông góc với AC, AB. Tính HE, HF.
d) So sánh: tanB và sinB (không dùng bảng và máy tính bỏ túi).
Câu 5. (0,5 điểm) Giải phương trình:
.
Phòng Giáo dục và Đào tạo .....
Đề thi Giữa Học kì 1 Hà Nội
năm 2025
Bài thi môn: Toán 9
Thời gian làm bài: 60 phút
(không kể thời gian phát đề)
(Đề số 2)
Câu 1. (2 điểm) Cho biểu thức:
.
a) Rút gọn A nếu x ≥ 0, x ≠ 1 .
b) Tìm x để A dương.
c) Tìm giá trị lớn nhất của A.
Câu 2. (3 điểm) Thực hiện các phép tính sau:

Câu 3. (1 điểm) Cho
Hãy tính giá trị của
Câu 4. (3,5 điểm)
1) Một cái thang dài 3,5 m đặt dựa vào tường, góc “an toàn” giữa thang và mặt đất để thang không bị đổ khi người trèo lên là 650. Tính khoảng cách từ chân thang đến bức tường. (Kết quả làm tròn đến chữ số thập phân thứ nhất).
2) Cho tam giác ABC vuông tại A, ∠C = 30o, BC = 10cm .
a) Tính AB, AC.
b) Từ A kẻ AM, AN lần lượt vuông góc với các đường phân giác trong, ngoài của góc B. Chứng minh rằng: MN || BC và MN = AB.
c) Chứng minh rằng: ΔMAB ∼ ΔABC .
Câu 5. (0,5 điểm) Với các số thực x, y thỏa mãn x + y ≤ 1
Tìm giá trị nhỏ nhất của biểu thức
Phòng Giáo dục và Đào tạo .....
Đề thi Giữa Học kì 1 Hà Nội
năm 2025
Bài thi môn: Toán 9
Thời gian làm bài:60 phút
(không kể thời gian phát đề)
(Đề số 3)
Câu 1. (1,0 điểm) Tìm điều kiện của x để các căn thức sau có nghĩa:
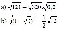
Câu 2. (2,0 điểm) Tính:
Câu 3. (1,0 điểm) Cho biểu thức
a) Rút gọn A.
b) Tìm x để A = 6
Câu 4. (2,0 điểm) Cho biểu thức:
(với x > 0; x ≠ 1)
a) Rút gọn biểu thức A.
b) Tìm x để
.
Câu 5. (3,5 điểm) Cho tam giác ABC vuông tại A, đường cao AH. Biết BC = 8cm, BH = 2cm.
a) Tính độ dài các đoạn thẳng AB, AC, AH.
b) Trên cạnh AC lấy điểm K (K ≠ A, K ≠ C), gọi D là hình chiếu của A trên BK. Chứng minh rằng: BD.BK = BH.BC.
c) Chứng minh rằng: SBHD =
SBKC . cos2∠ABD.
Câu 6.(1,0 điểm) Giải phương trình sau.

Phòng Giáo dục và Đào tạo .....
Đề thi Giữa Học kì 1 Hà Nội
năm 2025
Bài thi môn: Toán 9
Thời gian làm bài: 60 phút
(không kể thời gian phát đề)
(Đề số 4)
Câu 1. (2,0 điểm)
1. Thực hiện phép tính.
2. Tìm điều kiện của x để các biểu thức sau có nghĩa:
a)
; b)
Câu 2. (2,0 điểm)
1. Phân tích đa thức thành nhân tử.
a) ab + b√a + √a + 1 (với a ≥ 0)
b) 4a + 1 (với a < 0)
2. Giải phương trình:
Câu 3. (2,0 điểm) Cho biểu thức M =
với x > 0 , x ≠ 4.
a) Rút gọn biểu thức M;
b) Tính giá trị của M khi x = 3 + 2√2 ;
c) Tìm giá trị của x để M > 0.
Câu 4. (3,0 điểm) Cho tam giác ABC vuông tại A có đường cao AH chia cạnh huyền BC thành hai đoạn : BH = 4 cm và HC = 6 cm.
a) Tính độ dài các đoạn AH, AB, AC.
b) Gọi M là trung điểm của AC. Tính số đo góc AMB (làm tròn đến độ).
c) Kẻ AK vuông góc với BM (K thuộc BM). Chứng minh : BK.BM = BH.BC.
Câu 5. (0,5 điểm) Cho biểu thức P = x3 + y3 - 3(x + y) + 1993. Tính giá trị biểu thức P với:
Phòng Giáo dục và Đào tạo .....
Đề thi Giữa Học kì 1 Hà Nội
năm 2025
Bài thi môn: Toán 9
Thời gian làm bài: 60 phút
(không kể thời gian phát đề)
(Đề số 5)
Câu 1. (2 điểm) Thực hiện phép tính:
Câu 2. (2 điểm) Tìm x, biết:
Câu 3. (2 điểm) Cho hai biểu thức
với x ≥ 0, x ≠ 4
a) Tính giá trị biểu thức P khi x = 9.
b) Rút gọn biểu thức Q.
c) Đặt
. Tìm x để
d) Tìm các giá trị nguyên của x để M có giá trị nguyên.
Câu 4. (3,5 điểm) Cho tam giác ABC vuông tại A, vẽ đường cao AH của .
a) Nếu sin∠ABC =
và BC = 20cm. Tính các cạnh AB, AC, BH và góc ∠ACB (số đo góc làm tròn đến độ).
b) Đường thẳng vuông góc với BC tại B, cắt đường thẳng AC tại D. Chứng minh rằng: AD.AC = BH.BC.
c) Kẻ tia phân giác BE của ∠DBA (E thuộc đoạn DA). Chứng minh rằng: tan ∠EBA =
.
d) Lấy điểm K thuộc đoạn AC, kẻ KM vuông góc với HC tại M, KN vuông góc với AH tại N. Chứng minh rằng: HN.NA + HM.MC = KA.KC.
Câu 5. (0,5 điểm) Cho x, y thay đổi thỏa mãn 0 < x < 1, 0 < y < 1.
Tìm giá trị lớn nhất của biểu thức:
Phòng Giáo dục và Đào tạo .....
Đề thi Giữa Học kì 1 Hà Nội
năm 2025
Bài thi môn: Toán 9
Thời gian làm bài: 60 phút
(không kể thời gian phát đề)
(Đề số 6)
Câu 1. (2 điểm) Rút gọn biểu thức:
Câu 2. (2 điểm) Giải phương trình:
Câu 3. ( 2 điểm) Cho biểu thức:
a) Tìm điều kiện của x để A và B đều có nghĩa.
b) Tính giá trị của A khi x = 9.
c) Rút gọn biểu thức P = A.B.
Câu 4. (3,5 điểm) Cho tam giác ABC vuông tại A có ∠B = 60o , BC = 6cm.
a) Tính AB, AC (độ dài làm tròn đến 1 chữ số thập phân).
b) Vẽ đường cao AH của tam giác ABC. Tính HB, HC.
c) Trên tia đối của tia BA lấy điểm D sao cho DB = BC. Chứng minh rằng:
d) Từ A kẻ đường thẳng song song với phân giác của ∠CBD cắt CD tại K. Chứng minh
Câu 5. (0,5 điểm) Giải phương trình

Phòng Giáo dục và Đào tạo .....
Đề thi Giữa Học kì 1 Hà Nội
năm 2025
Bài thi môn: Toán 9
Thời gian làm bài: 60 phút
(không kể thời gian phát đề)
(Đề số 7)
Câu 1. (2 điểm) Thực hiện phép tính và rút gọn các biểu thức sau:
Câu 2. (2 điểm) Giác các phương trình sau:
a)
; b)
.
Câu 3. (2 điểm) Cho biểu thức
với x > 0, x ≠ 4, x ≠ 9
a) Rút gọn P.
b) Tính giá trị của P khi x = 25.
c) Với x > 9, tìm giá trị nhỏ nhất của P.
Câu 4. (3,5 điểm) Cho tam giác ABC vuông tại A có đường cao AH. Gọi E và F lần lượt là hình chiếu vuông góc của H lên AB, AC.
a) Cho biết AB = 3cm, ∠ACB = 30o . Tính độ dài các đoạn AC, HA.
b) Chứng minh: BE.BA + CF.CA + 2HB.HC = BC2.
c) Biết BC = 6cm. Tính giá trị lớn nhất của diện tích tứ giác HEAF.
Câu 5. (0,5 điểm) Giải phương trình:
................................
................................
................................
Trên đây tóm tắt một số nội dung miễn phí trong bộ Đề thi Toán 9 năm 2026 mới nhất, để mua tài liệu trả phí đầy đủ, Thầy/Cô vui lòng xem thử:
Tủ sách VIETJACK luyện thi vào 10 cho 2k11 (2026):
Đã có app VietJack trên điện thoại, giải bài tập SGK, SBT Soạn văn, Văn mẫu, Thi online, Bài giảng....miễn phí. Tải ngay ứng dụng trên Android và iOS.
Theo dõi chúng tôi miễn phí trên mạng xã hội facebook và youtube:Bộ đề thi năm 2025 các lớp các môn học được Giáo viên nhiều năm kinh nghiệm tổng hợp và biên soạn theo Thông tư mới nhất của Bộ Giáo dục và Đào tạo, được chọn lọc từ đề thi của các trường trên cả nước.
Nếu thấy hay, hãy động viên và chia sẻ nhé! Các bình luận không phù hợp với nội quy bình luận trang web sẽ bị cấm bình luận vĩnh viễn.
- Đề thi lớp 1 (các môn học)
- Đề thi lớp 2 (các môn học)
- Đề thi lớp 3 (các môn học)
- Đề thi lớp 4 (các môn học)
- Đề thi lớp 5 (các môn học)
- Đề thi lớp 6 (các môn học)
- Đề thi lớp 7 (các môn học)
- Đề thi lớp 8 (các môn học)
- Đề thi lớp 9 (các môn học)
- Đề thi lớp 10 (các môn học)
- Đề thi lớp 11 (các môn học)
- Đề thi lớp 12 (các môn học)
- Giáo án lớp 1 (các môn học)
- Giáo án lớp 2 (các môn học)
- Giáo án lớp 3 (các môn học)
- Giáo án lớp 4 (các môn học)
- Giáo án lớp 5 (các môn học)
- Giáo án lớp 6 (các môn học)
- Giáo án lớp 7 (các môn học)
- Giáo án lớp 8 (các môn học)
- Giáo án lớp 9 (các môn học)
- Giáo án lớp 10 (các môn học)
- Giáo án lớp 11 (các môn học)
- Giáo án lớp 12 (các môn học)


Giải bài tập SGK & SBT
Tài liệu giáo viên
Sách
Khóa học
Thi online
Hỏi đáp

