Đề thi Giữa học kì 1 Toán 9 Trắc nghiệm + Tự luận năm 2026 (7 đề)
Tuyển chọn Đề thi Giữa học kì 1 Toán 9 Trắc nghiệm + Tự luận năm 2026 (7 đề) chọn lọc được các Giáo viên nhiều năm kinh nghiệm biên soạn và sưu tầm từ đề thi Toán 9 của các trường THCS. Hi vọng bộ đề thi này sẽ giúp học sinh ôn tập và đạt kết quả cao trong các bài thi Giữa Học kì 1 môn Toán 9.
Đề thi Giữa học kì 1 Toán 9 Trắc nghiệm + Tự luận năm 2026 (7 đề)
Chỉ từ 150k mua trọn bộ trên Đề thi Giữa kì 1 Toán 9 theo cấu trúc mới bản word có lời giải chi tiết:
- B1: gửi phí vào tk:
1133836868- CT TNHH DAU TU VA DV GD VIETJACK - Ngân hàng MB (QR) - B2: Nhắn tin tới Zalo VietJack Official - nhấn vào đây để thông báo và nhận đề thi
Phòng Giáo dục và Đào tạo .....
Đề thi Giữa Học kì 1 - Trắc nghiệm + Tự luận
năm 2025
Bài thi môn: Toán 9
Thời gian làm bài: 60 phút
(không kể thời gian phát đề)
(Đề số 1)
Phần I. Trắc nghiệm (3 điểm)
Câu 1. Giá trị lớn nhất của biểu thức 2019 - x + 2√x bằng:
A. 2020
B. 2019
C. 2018
D.- 2019
Câu 2. Với x, y là số đo các góc nhọn. Chọn nội dung sai trong các câu sau:
A. tan y =
B. sin2x + cos2y = 1
C. cot x =
D. tan v . cot v = 1
Câu 3. Cho ΔABC vuông tại A ,đường cao AH, ta có:
A. AC2 = AB.BC
B. AB2 = AC.HB
C. AH2 = B.HC
D. AB.AH = AC.BC
Câu 4. Giá trị của biểu thức √(-11)2 bằng:
A. -11 B.121 C.-121 D.11
Câu 5. Căn bậc hai số học của 4 là
A. 2 B.8 C.16 D.4
Câu 6. Chọn khẳng định đúng:
A. cot720 = cot180 B.cos250 = sin650
C.sin670 = sin230 D.tan310 = cot310
Phần II. Tự luận (7 điểm)
Bài 1. (3 điểm)
a) So sánh: 2√3 + 1 và 2√2 + √5
b) Tìm điều kiện để
có nghĩa.
c) Khử căn ở mẫu 
d) Tính giá trị biểu thức 
Bài 2. (3,5 điểm): Cho tam giác ABC vuông tại A, AB = 3(cm), AC = 4(cm), đường cao AH. Kẻ HK vuông góc với AC tại K, kẻ HG vuông góc với AB tại G.
a) Chứng tỏ rằng: BH2 = AB.BG
b) Tìm tanC
c) Chứng minh rằng:
d) Tính CK
Bài 3. (0,5 điểm): Giải phương trình
Phòng Giáo dục và Đào tạo .....
Đề thi Giữa Học kì 1 - Trắc nghiệm + Tự luận
năm 2025
Bài thi môn: Toán 9
Thời gian làm bài: 60 phút
(không kể thời gian phát đề)
(Đề số 2)
Phần I. Trắc nghiệm (3 điểm)
Câu 1. Trong một tam giác vuông. Biết cosx =
. Tính sinx.
Câu 2. Điều kiện để
có nghĩa là:
A. x < 5 B. x > 5 C. x ≥ 5 D. ∀x
Câu 3. Trục căn thức ở mẫu
ta được:

Câu 4. Cho tam giác DEG vuông tại E, cosG bằng:
Câu 5. Căn bậc ba của -27 là:
A. 9 B.3 C.-3 D.-9
Câu 6. Nếu sin α =
thì cot α bằng:

Phần II. Tự luận (7 điểm)
Bài 1. (1,5 điểm) Tìm x, biết:
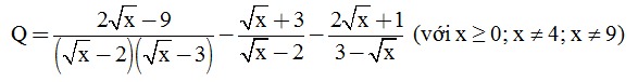
Bài 2. (2 điểm) Cho biểu thức:
a) Rút gọn Q.
b) Tìm x để Q có giá trị là 2.
c) Tìm x ∈ Z để Q có giá trị nguyên.
Bài 3. (3,5 điểm) Cho hình vuông ABCD. Trên cạnh BC lấy điểm E, tia AE cắt đường thẳng CD tại G. Trên nửa mặt phẳng bờ là đường thẳng AE chứa tia AD kẻ đoạn thẳng AF sao cho AF ⊥ AE và AF = AE. Chứng minh:
a) FD = BE
b) Các điểm F, D, C thẳng hàng.
c)
Phòng Giáo dục và Đào tạo .....
Đề thi Giữa Học kì 1 - Trắc nghiệm + Tự luận
năm 2025
Bài thi môn: Toán 9
Thời gian làm bài: 60 phút
(không kể thời gian phát đề)
(Đề số 3)
Phần I. Trắc nghiệm (3 điểm)
Câu 1. Cho
bằng:
A. |3x -1| B. -(3x - 1) C. 1 - 3x D. 3x - 1
Câu 2. Nếu cos x = sin 350 thì x bằng:
A. 350 B.450 C.650 D.550
Câu 3. Tìm điều kiện để
có nghĩa, ta có:

Câu 4. Tìm điều kiện để
có nghĩa, ta có:
Câu 5. Cho tam giác BDC vuông tại D, sinC bằng:

Câu 6. Các tia nắng mặt trời tạo với mặt đất một góc bằng 400 và bóng của tháp trên mặt đất dài 20 m. Tính chiều cao của tháp (làm tròn đến mét)
A. 24 m B.20 m C.17 m D.13 m
Phần II. Tự luận (7 điểm)
Câu 1. (1,5 điểm) Rút gọn các biểu thức sau:
Câu 2. (1,0 điểm) Tìm x, biết:
Câu 3. (3 điểm) Cho ΔABC vuông tại A, đường cao AH, AB = 3cm, BC = 6cm. Gọi E, F lần lượt là hình chiếu của H trên cạnh AB và AC.
a) Giải tam giác vuông ABC
b) Tính độ dài AH và chứng minh: EF = AH.
c) Tính: EA.EB + AF.FC
Câu 4. (1,0 điểm) Cho ba số x, y, z không âm. Chứng minh: .

Phòng Giáo dục và Đào tạo .....
Đề thi Giữa Học kì 1 - Trắc nghiệm + Tự luận
năm 2025
Bài thi môn: Toán 9
Thời gian làm bài: 60 phút
(không kể thời gian phát đề)
(Đề số 4)
Phần I. Trắc nghiệm (3 điểm)
Câu 1. Biểu thức liên hợp của biểu thức
là:
Câu 2. Căn bậc hai của 16 là:
A. -4 và 4 B.16 C.-16 và 16 D.4
Câu 3. Rút gọn biểu thức
bằng:
Câu 4. Nếu α = 250 18' thì cot α khoảng:
A. 0,47 B.0,43 C.0,9 D.2,12
Câu 5. Cho tam giác ABC vuông ở A, BC = 25 ; AC = 20 , số đo của góc C bằng:
A.530 B.370 C.360 D.540
Câu 6. Cho tam giác MNP vuông tại M, đường cao MH. Biết NH = 5 cm, HP = 9 cm. Độ dài MH bằng:
A. 4 B.4,5 C.7 D. 3√5
Phần II. Tự luận (7 điểm)
Bài 1. (1,5 điểm) Rút gọn các biểu thức sau:

Bài 2. (2,0 điểm)
a) Tìm x, biết: (√x + 1)(2√x - 3) - 2x = -4
b) Tìm x;y trong hình vẽ sau:

Bài 3. (3,5 điểm) Cho ΔABC vuông tại A đường cao AH, biết BC = 8cm; BH = 2cm
a) Tính độ dài AB, AC và AH.
b) Trên cạnh AC lấy điểm K (K khác A, K khác C). Gọi D là hình chiếu của A trên BK. Chứng minh: BD.BK = BH.BC
c) Chứng minh: SBHD =
SBKC.cos2∠ABD
Bài 4. (0,5 điểm) Chứng minh:
với mọi
Phòng Giáo dục và Đào tạo .....
Đề thi Giữa Học kì 1 - Trắc nghiệm + Tự luận
năm 2025
Bài thi môn: Toán 9
Thời gian làm bài: 60 phút
(không kể thời gian phát đề)
(Đề số 5)
Phần I. Trắc nghiệm (4 điểm)
Câu 1: Biết sinα =
Giá trị của tanα bằng:

Câu 2: Cho hình vẽ, biết ∠QPT = 18o; ∠PTQ = 150o; QT = 8cm; TR = 5cm. Diện tích ΔPQR (làm tròn đến chữ số thập phân thứ ba) bằng:

A. 34,613cm2 B. 20,766cm2 C. 17,549cm2 D. 25,112cm2
Câu 3: Kết quả so sánh 5 và √26 là:
Câu 4: Giá trị lớn nhất của biểu thức
là:
A. 4 B. – 4 C. 2 D. 0
Câu 5: Cho ΔABC vuông tại A, đường cao AH, biết AB. Độ dài đường cao AH lả:
A. 6,5cm B. 3,6cm C. 2,4cm D. 7,2cm
Câu 6: Kết quả của phép tính là:
A. 18 B. 180 C. 108 D. 122
Câu 7: Cho hình vẽ ΔABC có AB = 11cm; ∠ABC = 38o; ∠ACB = 38o; ∠ACB = 30o . N là chân đường cao kẻ từ A đến BC. Tính AC (làm tròn đến chữ số thập phân thứ ba) bằng:
A. 21,115cm B. 41,518cm C. 17,615cm D. 13,544cm
Câu 8: Đưa thừa số vào trong dấu căn
là:

Câu 9: Trục căn dưới mẫu của biểu thức
là:

Câu 10: Biểu thức
sau khi bỏ dấu căn là:

Câu 11: Với giá trị nào của thì biểu thức
có nghĩa ?
Câu 12: Kết quả của phép tính là:

Phần II. Tự luận (8 điểm)
Bài 1. (2 điểm)
a) Rút gọn biểu thức:
b) Phân tích thành nhân tử:
c) Tìm x, biết:
Bài 2. (2 điểm) Cho biểu thức:
a) Tìm điều kiện xác định của biểu thức.
b) Rút gọn A
c) Tìm giá trị nguyên của x để A có giá trị nguyên.
Bài 3. (3 điểm) Cho hình chữ nhật ABCD có AC = 10cm, AB = 8cm . Từ D kẻ DH ⊥ AC.
a) Chứng minh: ΔABC ∼ ΔAHD
b) Chứng minh: AD.CH = DC.DH .
c) Tính độ dài các đoạn thẳng BC,DH,AH.
d) Tính tỉ số lượng giác của ∠DCH
Phòng Giáo dục và Đào tạo .....
Đề thi Giữa Học kì 1 - Trắc nghiệm + Tự luận
năm 2025
Bài thi môn: Toán 9
Thời gian làm bài: 60 phút
(không kể thời gian phát đề)
(Đề số 6)
I. Trắc nghiệm (2 điểm)
Hãy chọn câu trả lời đúng trong các câu hỏi sau:
Câu 1: Biểu thức
xác định khi:

Câu 2: Giá trị của biểu thức bằng:
A. 16 B. 10 C. 8 D.4
Câu 3: Hãy tìm khẳng định SAI trong các khẳng định sau:
A. cos150 < sin400. B. tg270 > cotg650.
C. sin350 > cos700. D. cotg700 < tg700.
Câu 4: Cho tam giác ABC vuông tại A. Giá trị của biểu thức: (sinB - sinC)2 + (cosB +cosC)2 bằng:
A. 4 B. 2 C.1 D. 0
II. Tự luận (8 điểm)
Bài 1. (2,5 điểm) Cho hàm số y = ( m - 1)x + m + 1
a) Tìm m để hàm số đồng biến.
b) Tìm m biết (d) đi qua điểm A( 2 ; 5). Vẽ đồ thị của hàm số tìm được.
c) Chứng minh rằng khi m thay đổi thì các đường thẳng (d) luôn đi qua 1 điểm cố định.
Bài 2. (2,5 điểm) Cho biểu thức:
a) Tìm điều kiện để P xác định.
b) Rút gọn P.
c) Tìm x để
Bài 3. (3 điểm)
Cho đường tròn tâm O đường kính AB = 13 cm. Dây CD có độ dài 12 cm vuông góc với OA tại H.
a) Tính HC; OH.
b) Gọi M, N theo thứ tự là hình chiếu của H trên AC, BC. Chứng minh CM.CA = CN. CB.
c) Tính diện tích tứ giác CMHN.
Phòng Giáo dục và Đào tạo .....
Đề thi Giữa Học kì 1 - Trắc nghiệm + Tự luận
năm 2025
Bài thi môn: Toán 9
Thời gian làm bài: 60 phút
(không kể thời gian phát đề)
(Đề số 7)
Phần I. Trắc nghiệm (2 điểm)
Câu 1: Trục căn dưới mẫu của biểu thức
là:

Câu 2: Kết quả của phép tính
bằng:

Câu 3: Cho vuông tại A. Tính C, biết rằng tanB = 4
Câu 4: Tập hợp các giá trị của x thỏa mãn
là:
A. x ≥ 1 B. x > -1 C. x < 1 D. x ≥ 0
Câu 5: Trong một tam giác vuông, bình phương mỗi cạnh góc vuông bằng:
A. Tích của hai hình chiếu.
B. Tích của cạnh huyền và đường cao tương ứng.
C. Tích của cạnh huyền và hình chiếu của cạnh góc vuông đó trên cạnh huyền.
D. Tích của cạnh huyền và hình chiếu của cạnh góc vuông kia trên cạnh huyền.
Câu 6: Cho ΔABC vuông tại A đường cao AH biết CH = 1cm; AC = √3cm . Độ dài cạnh BC bằng:
A. 1cm B. 3cm C. 2cm D. 4cm
Câu 7: Một chiếc ti vi hình chữ nhật màn hình phẳng 75inch (đường chéo ti vi dài 75inch) có góc tạo bởi chiều dài và đường chéo là 36o52' . Hỏi chiếc ti vi ấy có chiều dài và chiều rộng (làm tròn đến chữ số thập phân thứ nhất) lần lượt là:
A. 172,1cm; 116,8cm B. 146,3cm; 87,9cm C. 152,4cm; 114,3cm D. 168,6cm; 121,5cm
Câu 8: Căn bậc hai số học của -144 là:
A.12 B. ∅ C. 144 D. -12
Phần II. Tự luận (8 điểm)
Bài 1 (2 điểm). Cho biểu thức:

a) Rút gọn biểu thức
b) Tìm giá trị của x để
Bài 2 (1,5 điểm). Thực hiện phép tính:

Bài 3 (1,5 điểm). Giải phương trình:
Bài 4 (3 điểm). Cho tam giác ABC có cạnh AB = 12cm, AC = 16cm, BC = 20cm. Kẻ đường cao AM. Kẻ ME vuông góc với AB.
- Chứng minh tam giác ABC là tam giác vuông.
- Tính độ dài AM, BM.
- Chứng minh AE.AB = AC2 – MC2.
- Chứng minh AE . AB = MB . MC = EM.AC.
................................
................................
................................
Trên đây tóm tắt một số nội dung miễn phí trong bộ Đề thi Toán 9 năm 2026 mới nhất, để mua tài liệu trả phí đầy đủ, Thầy/Cô vui lòng xem thử:
Tủ sách VIETJACK luyện thi vào 10 cho 2k11 (2026):
Đã có app VietJack trên điện thoại, giải bài tập SGK, SBT Soạn văn, Văn mẫu, Thi online, Bài giảng....miễn phí. Tải ngay ứng dụng trên Android và iOS.
Theo dõi chúng tôi miễn phí trên mạng xã hội facebook và youtube:Bộ đề thi năm 2025 các lớp các môn học được Giáo viên nhiều năm kinh nghiệm tổng hợp và biên soạn theo Thông tư mới nhất của Bộ Giáo dục và Đào tạo, được chọn lọc từ đề thi của các trường trên cả nước.
Nếu thấy hay, hãy động viên và chia sẻ nhé! Các bình luận không phù hợp với nội quy bình luận trang web sẽ bị cấm bình luận vĩnh viễn.
- Đề thi lớp 1 (các môn học)
- Đề thi lớp 2 (các môn học)
- Đề thi lớp 3 (các môn học)
- Đề thi lớp 4 (các môn học)
- Đề thi lớp 5 (các môn học)
- Đề thi lớp 6 (các môn học)
- Đề thi lớp 7 (các môn học)
- Đề thi lớp 8 (các môn học)
- Đề thi lớp 9 (các môn học)
- Đề thi lớp 10 (các môn học)
- Đề thi lớp 11 (các môn học)
- Đề thi lớp 12 (các môn học)
- Giáo án lớp 1 (các môn học)
- Giáo án lớp 2 (các môn học)
- Giáo án lớp 3 (các môn học)
- Giáo án lớp 4 (các môn học)
- Giáo án lớp 5 (các môn học)
- Giáo án lớp 6 (các môn học)
- Giáo án lớp 7 (các môn học)
- Giáo án lớp 8 (các môn học)
- Giáo án lớp 9 (các môn học)
- Giáo án lớp 10 (các môn học)
- Giáo án lớp 11 (các môn học)
- Giáo án lớp 12 (các môn học)


Giải bài tập SGK & SBT
Tài liệu giáo viên
Sách
Khóa học
Thi online
Hỏi đáp

