(Ôn thi ĐGNL, ĐGTD) Chuyên đề: Carbohydrate
Chuyên đề Carbohydrate trong tài liệu ôn thi Đánh giá năng lực, Đánh giá tư duy theo cấu trúc mới nhất đầy đủ lý thuyết trọng tâm, các dạng bài & bài tập đa dạng từ cơ bản đến nâng cao giúp Giáo viên & học sinh có thêm tài liệu ôn thi ĐGNL HSA, VACT và ĐGTD TSA đạt kết quả cao.
(Ôn thi ĐGNL, ĐGTD) Chuyên đề: Carbohydrate
Xem thử Tài liệu & Đề thi HSA Xem thử Tài liệu & Đề thi VACT Xem thử Tài liệu & Đề thi TSA Xem thử Tài liệu & Đề thi SPT
Chỉ từ 500k mua trọn bộ Đề thi & Tài liệu ôn thi ĐGNL - ĐGTD năm 2026 của các trường theo cấu trúc mới bản word có lời giải chi tiết:
- B1: gửi phí vào tk:
1133836868- CT TNHH DAU TU VA DV GD VIETJACK - Ngân hàng MB (QR) - B2: Nhắn tin tới Zalo VietJack Official - nhấn vào đây để thông báo và nhận đề thi
I. LÝ THUYẾT TRỌNG TÂM
- Carbohydrate là những hợp chất hữu cơ tạp chức, thường có công thức chung là
- Carbohydrate được chia thành ba loại chính: monosaccharide, disaccharide và polysaccharide.
1. Monosaccharide
Glucose () |
Frucstose () |
|
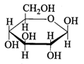
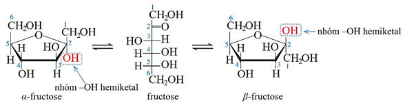
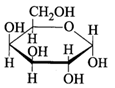
Cấu tạo * Các dạng cấu tạo thường gặp của glucose: * Các dạng cấu tạo thường gặp của fructose: | |
Tính chất hóa học | |
|
Glucose có tính chất của polyalcohol và aldehyde. - Tính chất polyalcohol: Dung dịch glucose có thể hòa tan copper(II) hydroxide trong môi trường kiềm. - Tính chất aldehyde: Glucose có thể bị oxi hóa bởi trong môi trường kiềm khi đun nóng, thuốc thử Tollens và nước bromine. - Tính chất của nhóm -OH hemiacetal: - Phản ứng lên men:
|
Fructose có tính chất của polyalcohol. - Tính chất polyalcohol: Dung dịch fructose có thể hòa tan copper(II) hydroxide trong môi trường kiềm. - Chú ý: Fructose có thể bị oxi hóa bởi trong môi trường kiềm khi đun nóng, thuốc thử Tollens do trong môi trường kiềm fructose có thể chuyển hóa thành hợp chất chứa nhóm -CHO. |
Trạng thái tự nhiên và ứng dụng | |
Glucose và fructose là chất rắn, dễ tan trong nước, có vị ngọt. | |
|
- Glucose hình thành nhờ quá trình quang hợp, có trong hầu hết các bộ phận như hoa, lá, ... đặc biệt trong quả chín. Glucose cũng có trong cơ thể người và động vật. Nồng độ glucose có trong máu người trưởng thành, khỏe mạnh trước khi ăn được duy trì trong khoảng 80 – 130 mg/dL (hay 4,4 – 7,2 mmol/L). - Glucose đóng vai trò cung cấp năng lượng cho tế bào và có các ứng dụng phổ biến như: tráng gương, tráng ruột phích, nguyên liệu sản xuất ethanol, thực phẩm và đồ uống, dung dịch truyền tĩnh mạch glucose 5%, … |
- Fructose có trong nhiều loại trái cây (táo, lựu, nho, lê,...), trong một số loại rau củ (cà rốt, củ cải đường,...) và fructose có nhiều trong mật ong. - Tương tự glucose, fructose chủ yếu đóng vai trò cung cấp năng lượng cho tế bào. |
2. Disaccharide
Saccharide (Đường ăn - ) |
Maltose (Đường mạch nha - ) |
|
Cấu tạo - Saccharide được tạo thành từ sự liên kết của một đơn vị glucose với một đơn vị fructose. - Maltose được tạo thành từ sự liên kết của hai đơn vị glucose. Chú ý: Maltose còn có cả cấu tạo dạng mở vòng của một đơn vị cấu tạo glucose. | |
|
Tính chất hóa học * Tính chất của polyalcohol: - Có thể hòa tan trong môi trường kiềm, tạo thành dung dịch có màu xanh lam.
* Phản ứng thủy phân: | |
Tính chất vật lí | |
Saccharide và maltose đều là chất rắn, có vị ngọt, dễ tan trong nước. | |
Trạng thái tự nhiên và ứng dụng | |
|
- Saccharose có trong nhiều loài thực vật, có nhiều nhất trong cây mía, củ cải đường và hoa thốt nốt. - Saccharose được sử dụng như một chất làm ngọt phổ biến trong sản xuất thực phẩm như bánh, kẹo, nước giải khát và đồ uống có gas,... |
- Maltose có trong một số hạt nảy mầm. - Maltose chủ yếu được tạo ra trong quá trình thuỷ phân tinh bột. - Maltose được sử dụng làm nguyên liệu sản xuất bia và chất tạo ngọt cho một số loại bánh kẹo. |
3. Polysaccharide
Tinh bột |
Cellulose |
|
Cấu tạo - Tinh bột và cellulose đều có công thức phân tử dạng (với n khác nhau) - Tinh bột là polymer thiên nhiên, gồm amylose và amylopectin. + Phân tử amylose cấu tạo từ nhiều đơn vị α-glucose liên kết với nhau qua các liên kết α-1,4-glycoside và hình thành chuỗi xoắn. + Phân tử amylopectin có cấu tạo phân nhánh, gồm các chuỗi chứa nhiều đơn vị α-glucose liên kết với nhau qua các liên kết α-1,4-glycoside. Các chuỗi này liên kết với nhau tạo cấu tạo mạch nhánh qua liên kết α-1,6-glycoside. - Cellulose là polymer thiên nhiên, phân tử cấu tạo từ nhiều đơn vị β-glucose qua liên kết β-1,4-glycoside và hình thành chuỗi không nhánh. | |
Tính chất hóa học | |
|
* Phản ứng thủy phân - Tinh bột bị thủy phân hoàn toàn tạo thành glucose dưới tác dụng của enzyme hoặc acid. (glucose) * Phản ứng màu với dung dịch iodine - Các phân tử amylose trong tinh bột có dạng xoắn nên khi tương tác với iodine tạo thành hợp chất có màu xanh tím đặc trưng. |
* Phản ứng thủy phân - Cellulose thủy phân hoàn toàn tạo thành glucose bởi enzymer hoặc acid (HCl hoặc ).
(glucose) * Phản ứng với nitric acid
* Cellulose phản ứng với nước Schweizer - Cellulose tan được trong nước Schweizer (dung dịch thu được khi hòa tan trong ammonia) |
Trạng thái tự nhiên và ứng dụng | |
|
- Tinh bột là chất rắn màu trắng, hầu như không tan trong nước lạnh. Trong nước nóng, tinh bột tan tạo dung dịch keo nhớt, gọi là hồ tinh bột. - Trong thực vật, tinh bột có chủ yếu trong củ, quả và hạt. Phản ứng tổng hợp tinh bột trong thực vật: - Tinh bột là nguồn lương thực chính của con người và một số động vật, đồng thời cũng được dùng nhiều trong công nghiệp thực phẩm (chất làm đặc, chất kết dính, sản xuất ethanol,...). - Ngoài ra, tinh bột cũng được sử dụng làm chất kết dính trong công nghiệp giấy và công nghiệp dệt may. |
- Cellulose là chất rắn, dạng sợi, màu trắng, không tan trong nước ngay cả khi đun nóng, không tan trong các dung môi hữu cơ thông thường như ether, benzene, … - Cellulose được tổng hợp bởi thực vật. |
|
- Cellulose được sử dụng để làm vật liệu xây dựng (các loại đồ gỗ), sản xuất giấy, sợi tự nhiên và sợi nhân tạo. - Cellulose cũng được sử dụng làm nguyên liệu để điều chế ethanol và cellulose trinitrate (dùng chế tạo thuốc súng không khói). | |
II. CÂU HỎI ÔN LUYỆN
Phần 1. Trắc nghiệm nhiều phương án lựa chọn
Câu 1. Chất nào dưới đây là một polysaccharide?
A. Saccharose.
B. Tinh bột.
C. Glucose.
D. Fructose.
Câu 2. Nồng độ glucose trong máu là 6 mmol/L có nghĩa là 1 dL máu chứa bao nhiêu mg glucose?
A. 10,8.
B. 108,0.
C. 1 080,0.
D. 10 800,0.
Câu 3. Cho các carbohydrate sau: glucose, fructose, maltose, saccharose. Số carbohydrate đã cho có liên kết α-1,2-glycoside trong phân tử là
A. 4.
B. 3.
C. 2.
D. 1.
Câu 4. Cho các chất sau: glucose, fructose, saccharose, maltose, tinh bột và cellulose. Số chất có phản ứng thủy phân là
A. 5.
B. 4.
C. 3.
D. 2.
Câu 5. Cho sơ đồ phản ứng sau:
(1)
(2) Y + ammonium gluconate + Ag +
(3) Y E + Z
(4)
Các chất X, Y, Z lần lượt là
A. cellulose, fructose, carbon dioxide.
B. cellulose, saccharose, carbon dioxide.
C. tinh bột, glucose, carbon dioxide.
D. tinh bột, glucose, ethanol.
Câu 6. Trong quá trình sản xuất bia bằng phương pháp lên men sinh học, dưới tác dụng của enzyme sẽ xảy ra quá trình chuyển hóa: X → maltose → Y. Chất X, Y tương ứng là
A. tinh bột và glucose.
B. cellulose và glucose.
C. cellulose và fructose.
D. tinh bột và fructose.
Câu 7. Chất nào sau đây có phản ứng tráng bạc?
A. Cellulose.
B. Glucose.
C. Tinh bột.
D. Saccharose.
Câu 8. Phát biểu nào sau đây không đúng về maltose?
A. Không làm mất màu nước brom.
B. Có phản ứng thủy phân.
C. Là một disaccharide.
D. Phân tử còn một nhóm -OH hemiacetal.
Câu 9. Ở trạng thái rắn, glucose () chủ yếu tồn tại ở dạng mạch vòng β-glucose. Công thức cấu trúc của β-glucose là
A.
B.
C.
D.
Câu 10. Carbohydrate là hợp chất hữu cơ tạp chức, thường có công thức chung dạng là
A.
B.
C.
D.
................................
................................
................................
Xem thử Tài liệu & Đề thi HSA Xem thử Tài liệu & Đề thi VACT Xem thử Tài liệu & Đề thi TSA Xem thử Tài liệu & Đề thi SPT
Xem thêm tài liệu ôn thi đánh giá năng lực HSA, VACT, đánh giá tư duy TSA hay khác:
- (Ôn thi ĐGNL HSA) Chuyên đề: Ester - Lipid
- (Ôn thi ĐGNL HSA) Chuyên đề: Hợp chất chứa nitrogen
- (Ôn thi ĐGNL HSA) Chuyên đề: Polymer
- (Ôn thi ĐGNL HSA) Chuyên đề: Pin điện và điện phân
- (Ôn thi ĐGNL HSA) Chuyên đề: Đại cương kim loại
- (Ôn thi ĐGNL HSA) Chuyên đề: Nguyên tố nhóm IA và IIA
- (Ôn thi ĐGNL HSA) Chuyên đề: Sơ lược về kim loại chuyển tiếp dãy thứ nhất và phức chất
Đã có app VietJack trên điện thoại, giải bài tập SGK, SBT Soạn văn, Văn mẫu, Thi online, Bài giảng....miễn phí. Tải ngay ứng dụng trên Android và iOS.
Theo dõi chúng tôi miễn phí trên mạng xã hội facebook và youtube:Nếu thấy hay, hãy động viên và chia sẻ nhé! Các bình luận không phù hợp với nội quy bình luận trang web sẽ bị cấm bình luận vĩnh viễn.
- Giải Tiếng Anh 12 Global Success
- Giải sgk Tiếng Anh 12 Smart World
- Giải sgk Tiếng Anh 12 Friends Global
- Lớp 12 Kết nối tri thức
- Soạn văn 12 (hay nhất) - KNTT
- Soạn văn 12 (ngắn nhất) - KNTT
- Giải sgk Toán 12 - KNTT
- Giải sgk Vật Lí 12 - KNTT
- Giải sgk Hóa học 12 - KNTT
- Giải sgk Sinh học 12 - KNTT
- Giải sgk Lịch Sử 12 - KNTT
- Giải sgk Địa Lí 12 - KNTT
- Giải sgk Giáo dục KTPL 12 - KNTT
- Giải sgk Tin học 12 - KNTT
- Giải sgk Công nghệ 12 - KNTT
- Giải sgk Hoạt động trải nghiệm 12 - KNTT
- Giải sgk Giáo dục quốc phòng 12 - KNTT
- Giải sgk Âm nhạc 12 - KNTT
- Giải sgk Mĩ thuật 12 - KNTT
- Lớp 12 Chân trời sáng tạo
- Soạn văn 12 (hay nhất) - CTST
- Soạn văn 12 (ngắn nhất) - CTST
- Giải sgk Toán 12 - CTST
- Giải sgk Vật Lí 12 - CTST
- Giải sgk Hóa học 12 - CTST
- Giải sgk Sinh học 12 - CTST
- Giải sgk Lịch Sử 12 - CTST
- Giải sgk Địa Lí 12 - CTST
- Giải sgk Giáo dục KTPL 12 - CTST
- Giải sgk Tin học 12 - CTST
- Giải sgk Hoạt động trải nghiệm 12 - CTST
- Giải sgk Âm nhạc 12 - CTST
- Lớp 12 Cánh diều
- Soạn văn 12 Cánh diều (hay nhất)
- Soạn văn 12 Cánh diều (ngắn nhất)
- Giải sgk Toán 12 Cánh diều
- Giải sgk Vật Lí 12 - Cánh diều
- Giải sgk Hóa học 12 - Cánh diều
- Giải sgk Sinh học 12 - Cánh diều
- Giải sgk Lịch Sử 12 - Cánh diều
- Giải sgk Địa Lí 12 - Cánh diều
- Giải sgk Giáo dục KTPL 12 - Cánh diều
- Giải sgk Tin học 12 - Cánh diều
- Giải sgk Công nghệ 12 - Cánh diều
- Giải sgk Hoạt động trải nghiệm 12 - Cánh diều
- Giải sgk Giáo dục quốc phòng 12 - Cánh diều
- Giải sgk Âm nhạc 12 - Cánh diều


Giải bài tập SGK & SBT
Tài liệu giáo viên
Sách
Khóa học
Thi online
Hỏi đáp

