10+ Đề thi ĐGNL Bộ Quốc phòng phần Khoa học môn Hóa học (có lời giải)
Bộ 10+ Đề thi ĐGNL Bộ Quốc Phòng QDA phần Khoa học môn Hóa học năm 2026 theo cấu trúc mới có lời giải chi tiết giúp Giáo viên & học sinh có thêm tài liệu ôn thi Đánh giá năng lực Bộ Quốc Phòng phần Khoa học môn Hóa học đạt kết quả cao.
10+ Đề thi ĐGNL Bộ Quốc phòng phần Khoa học môn Hóa học (có lời giải)
Chỉ từ 500k mua trọn bộ Đề thi & Tài liệu ôn thi Đánh giá năng lực Bộ Quốc Phòng năm 2026 (cấu trúc mới) bản word có lời giải chi tiết:
- B1: gửi phí vào tk:
1133836868- CT TNHH DAU TU VA DV GD VIETJACK - Ngân hàng MB (QR) - B2: Nhắn tin tới Zalo VietJack Official - nhấn vào đây để thông báo và nhận đề thi
Câu 201. Phương trình hoá học thuỷ phân 2-bromo-2-methylpropane trong NaOH là:
(CH3)3CBr + NaOH → (CH3)3COH + NaBr
Phản ứng trên diễn ra theo 2 giai đoạn được mô tả như sau:
Nhận định nào sau đây đúng?
A. Phản ứng thuỷ phân 2-bromo-2-methylpropane là phản ứng tách hydrogen halide.
B. Trong giai đoạn (1) do độ âm điện C lớn hơn Br nên liên kết phân cực về phía Br.
C. Trong giai đoạn (2) có sự hình thành liên kết σ.
D. Sản phẩm thu được sau phản ứng thủy phân là alcohol bậc IV.
Câu 202. Cho các phát biểu sau:
(1) Để làm mềm nước cứng tạm thời có thể dùng dung dịch Ca(OH)2 hoặc NaOH.
(2) Nhúng thanh Cu trong dung dịch Fe2(SO4)3 có nhỏ vài giọt dung dịch H2SO4 có xuất hiện ăn mòn điện hóa.
(3) Các kim loại nhóm IIA có nhiệt độ sôi, nhiệt độ nóng chảy biến đổi không theo quy luật nhất định.
(4) Các kim loại đều có bán kính nhỏ hơn các phi kim thuộc cùng một chu kì.
(5) Khử zinc oxide ở nhiệt độ cao bằng than cốc thu được zinc ở trạng thái khí.
(6) Dùng dung dịch Fe2(SO4)3 dư có thể tách Ag ra khỏi hỗn hợp Ag và Cu.
Có bao nhiêu phát biểu đúng?
A. 3.
B. 4.
C. 5.
D. 6.
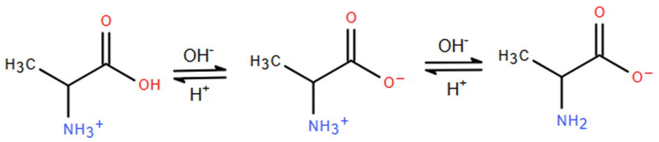
Câu 203. Alanine, ký hiệu là Ala là một amino acid được sử dụng trong quá trình sinh tổng hợp protein. Trong dung dịch ở pH khác nhau, alanine sẽ tồn tại ở các dạng như dưới đây:
Ở pH = 6 alanine tồn tại chủ yếu ở dạng ion lưỡng cực có tổng điện tích bằng không. Khi đặt trong điện trường, alanine hầu như không di chuyển. Nhận định nào sau đây về alanine là không đúng?
A. Alanine là một α-amino acid.
B. Trong môi trường kiềm, dạng tồn tại của alanine là dạng anion.
C. Alanine có tính lưỡng tính.
D. Ở pH < 6, alanine nhận proton trở thành anion, khi đặt trong điện trường di chuyển về cực dương.
Câu 204. Phát biểu nào dưới đây là sai về quá trình sản xuất aluminium (Al) trong công nghiệp?
A. Điện phân nóng chảy Al2O3 với cryolite (Na3AlF6) làm xúc tác thu được Al ở cathode dưới dạng nóng chảy.
B. Trong quá trình điện phân phải hạ thấp dần các điện cực anode vào thùng điện phân, do khí O2 thoát ra đốt cháy dần điện cực.
C. Al có thể được tái chế nhiều lần do các tính chất vốn có của nó bị biến đổi, nên chủ yếu sử dụng trong xây dựng.
D. Vai trò cryolite để tiết kiệm năng lượng, tạo chất lỏng có tính dẫn điện tốt và nổi lên trên Al lỏng để ngăn cách Al lỏng với không khí.
Câu 205. Kết quả thí nghiệm của các chất X, Y, Z với các thuốc thử được ghi ở bảng sau:
|
Chất |
Thuốc thử |
Hiện tượng |
|
X |
Quỳ tím |
Quỳ tím chuyển màu hồng |
|
Y |
Dung dịch AgNO3 trong NH3 |
Tạo kết tủa Ag |
|
Z |
Nước bromine |
Tạo kết tủa trắng |
Các chất X, Y, Z lần lượt là
A. ethyl formate, glutamic acid, aniline.
B. aniline, ethyl formate, glutamic acid.
C. glutamic acid, ethyl formate, aniline.
D. glutamic acid, aniline, ethyl formate.
Câu 206. Amine X có phân tử khối nhỏ hơn 80. Trong phân tử X, nitrogen chiếm 19,18% về khối lượng. Cho X tác dụng với nitrous acid (HNO2) ở nhiệt độ thường thu được alcohol và giải phóng khí. Số công thức cấu tạo thỏa mãn X là
A. 4.
B. 8.
C. 3.
D. 2.
Câu 207. Cũng giống như nam châm, mỗi nguyên tử/ ion cũng có thể có từ tính (bị nam châm hút). Nếu nguyên tử/ ion có electron độc thân thì nó có từ tính và được gọi là chất thuận từ. Ngược lại, nguyên tử/ ion nếu không có electron độc thân thì được gọi là chất nghịch từ. Nguyên tử/ ion nào sau đây nghịch từ?
A. Cu.
B. Cu+.
C. Na.
D. Al.
Câu 208. Cho phản ứng cracking sau:
Công thức cấu tạo thu gọn của X là
A. CH3CH2CH3.
B. CH3-CH=CH2.
C. CH3-CH=CH-CH3.
D. CH3CH2CH2CH3.
Câu 209. Enthalpy tạo thành của một chất là nhiệt kèm theo phản ứng tạo thành 1 mol chất đó từ các đơn chất bền nhất. Biết nhiệt tạo thành chuẩn tính theo kJ/mol của C2H5OH(1), CO2 và H2O(1)lần lượt là −267, −393,5 và −285,8. Giả thiết, cồn là C2H5OH nguyên chất và có 40% nhiệt lượng thất thoát ra môi trường. Số gam cồn cần đốt cháy để đun 100 gam nước từ 25°C đến 100°C (biết nhiệt dung của nước là 4,2 J/g.K) là
A. 3,5 gam.
B. 2,7 gam.
C. 5,4 gam.
D. 1,75 gam.
Câu 210. Trong phản ứng tổng hợp ammonia:
N2(g) + 3H2(g) 2NH3(g) = − 92 kJ
Để tăng hiệu suất phản ứng tổng hợp phải
A. giảm nhiệt độ và áp suất.
B. tăng nhiệt độ và áp suất.
C. tăng nhiệt độ và giảm áp suất.
D. giảm nhiệt độ vừa phải và tăng áp suất.
................................
................................
................................
Xem thêm bộ đề ôn thi Đánh giá năng lực Bộ Quốc phòng QDA năm 2026 có đáp án hay khác:
- 10+ Đề thi ĐGNL Bộ Quốc phòng phần Toán học và xử lý số liệu
- 10+ Đề thi ĐGNL Bộ Quốc phòng phần Văn học - Ngôn ngữ
- 10+ Đề thi ĐGNL Bộ Quốc phòng phần Khoa học môn Vật Lí
- 10+ Đề thi ĐGNL Bộ Quốc phòng phần Lịch sử; Địa lí
Xem thêm đề thi lớp 12 các môn học có đáp án hay khác:
Đề ôn thi Tốt nghiệp (các môn học), ĐGNL, ĐGTD các trường có đáp án hay khác:
Tài liệu giáo án lớp 12 các môn học chuẩn khác:
Đã có app VietJack trên điện thoại, giải bài tập SGK, SBT Soạn văn, Văn mẫu, Thi online, Bài giảng....miễn phí. Tải ngay ứng dụng trên Android và iOS.
Theo dõi chúng tôi miễn phí trên mạng xã hội facebook và youtube:Nếu thấy hay, hãy động viên và chia sẻ nhé! Các bình luận không phù hợp với nội quy bình luận trang web sẽ bị cấm bình luận vĩnh viễn.
- Giải Tiếng Anh 12 Global Success
- Giải sgk Tiếng Anh 12 Smart World
- Giải sgk Tiếng Anh 12 Friends Global
- Lớp 12 Kết nối tri thức
- Soạn văn 12 (hay nhất) - KNTT
- Soạn văn 12 (ngắn nhất) - KNTT
- Giải sgk Toán 12 - KNTT
- Giải sgk Vật Lí 12 - KNTT
- Giải sgk Hóa học 12 - KNTT
- Giải sgk Sinh học 12 - KNTT
- Giải sgk Lịch Sử 12 - KNTT
- Giải sgk Địa Lí 12 - KNTT
- Giải sgk Giáo dục KTPL 12 - KNTT
- Giải sgk Tin học 12 - KNTT
- Giải sgk Công nghệ 12 - KNTT
- Giải sgk Hoạt động trải nghiệm 12 - KNTT
- Giải sgk Giáo dục quốc phòng 12 - KNTT
- Giải sgk Âm nhạc 12 - KNTT
- Giải sgk Mĩ thuật 12 - KNTT
- Lớp 12 Chân trời sáng tạo
- Soạn văn 12 (hay nhất) - CTST
- Soạn văn 12 (ngắn nhất) - CTST
- Giải sgk Toán 12 - CTST
- Giải sgk Vật Lí 12 - CTST
- Giải sgk Hóa học 12 - CTST
- Giải sgk Sinh học 12 - CTST
- Giải sgk Lịch Sử 12 - CTST
- Giải sgk Địa Lí 12 - CTST
- Giải sgk Giáo dục KTPL 12 - CTST
- Giải sgk Tin học 12 - CTST
- Giải sgk Hoạt động trải nghiệm 12 - CTST
- Giải sgk Âm nhạc 12 - CTST
- Lớp 12 Cánh diều
- Soạn văn 12 Cánh diều (hay nhất)
- Soạn văn 12 Cánh diều (ngắn nhất)
- Giải sgk Toán 12 Cánh diều
- Giải sgk Vật Lí 12 - Cánh diều
- Giải sgk Hóa học 12 - Cánh diều
- Giải sgk Sinh học 12 - Cánh diều
- Giải sgk Lịch Sử 12 - Cánh diều
- Giải sgk Địa Lí 12 - Cánh diều
- Giải sgk Giáo dục KTPL 12 - Cánh diều
- Giải sgk Tin học 12 - Cánh diều
- Giải sgk Công nghệ 12 - Cánh diều
- Giải sgk Hoạt động trải nghiệm 12 - Cánh diều
- Giải sgk Giáo dục quốc phòng 12 - Cánh diều
- Giải sgk Âm nhạc 12 - Cánh diều


Giải bài tập SGK & SBT
Tài liệu giáo viên
Sách
Khóa học
Thi online
Hỏi đáp

