(Ôn thi ĐGNL, ĐGTD) Tương giao của đồ thị hàm số
Chủ đề Tương giao của đồ thị hàm số trong tài liệu ôn thi Đánh giá năng lực, Đánh giá tư duy theo cấu trúc mới nhất đầy đủ lý thuyết trọng tâm, các dạng bài & bài tập đa dạng từ cơ bản đến nâng cao giúp Giáo viên & học sinh có thêm tài liệu ôn thi ĐGNL HSA, VACT và ĐGTD TSA đạt kết quả cao.
(Ôn thi ĐGNL, ĐGTD) Tương giao của đồ thị hàm số
Xem thử Tài liệu & Đề thi HSA Xem thử Tài liệu & Đề thi VACT Xem thử Tài liệu & Đề thi TSA Xem thử Tài liệu & Đề thi SPT
Chỉ từ 450k mua trọn bộ Đề thi & Tài liệu ôn thi ĐGNL - ĐGTD năm 2026 của các trường theo cấu trúc mới bản word có lời giải chi tiết:
- B1: gửi phí vào tk:
1133836868- CT TNHH DAU TU VA DV GD VIETJACK - Ngân hàng MB (QR) - B2: Nhắn tin tới Zalo VietJack Official - nhấn vào đây để thông báo và nhận đề thi
I. LÝ THUYẾT CẦN NHỚ
1. Tọa độ giao điểm của hai đồ thị hàm số
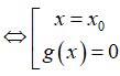
Cho 2 hàm số y = f(x) và y = g(x) có đồ thị lần lượt là (C) và (C'):
+ Lập phương trình hoành độ giao điểm của (C) và (C') là f(x) = g(x) (*).
+ Giải phương trình tìm x thay vào f(x) hoặc g(x) để suy ra y và tọa độ giao điểm.
+ Số nghiệm của phương trình (*) là số giao điểm của (C) và (C').
2. Tương giao của đồ thị hàm bậc ba chứa tham số m
Phương pháp 1: Bảng biến thiên (Phương pháp đồ thị)
• Lập phương trình hoành độ giao điểm dạng F (x, m) = 0 (phương trình ẩn x tham số m).
• Cô lập m đưa phương trình về dạng m = f(x).
• Lập bảng biến thiên cho hàm số y = f(x).
• Dựa và giả thiết và bảng biến thiên từ đó suy ra m.
Dấu hiệu: Sử dụng phương pháp bảng biến thiên khi m độc lập với x.
Phương pháp 2: Nhẩm nghiệm – tam thức bậc hai.
• Lập phương trình hoành độ giao điểm F (x, m) = 0.
• Nhẩm nghiệm: (Khử tham số). Giả sử x = x0 là 1 nghiệm của phương trình.
• Phân tích: F (x, m) = 0 (x - x0). g(x) = 0 (là g(x) = 0 là phương trình bậc hai ẩn x tham số m).
• Dựa vào yêu cầu bài toán đi xử lý phương trình bậc hai g(x) = 0.
Phương pháp 3: Cực trị
Nhận dạng: Khi bài toán không cô lập được m và cũng không nhẩm được nghiệm.
Quy tắc:
Lập phương trình hoành độ giao điểm F (x, m) = 0 (1). Xét hàm số y = F (x, m).
+) Để (1) có đúng 1 nghiệm thì đồ thị y = F (x, m) cắt trục hoành tại đúng 1 điểm. (2TH)
- Hoặc hàm số luôn đơn điệu trên hàm số không có cực trị y' = 0 hoặc vô nghiệm hoặc có nghiệm kép
- Hoặc hàm số có CĐ, CT và
+) Để (1) có đúng 3 nghiệm thì đồ thị y = F (x, m) cắt trục hoành tại 3 điểm phân biệt Hàm số có cực đại, cực tiểu và
+) Để (1) có đúng 2 nghiệm thì đồ thị y = F (x, m) cắt trục hoành tại 2 điểm phân biệt Hàm số có cực đại, cực tiểu và
Bài toán: Tìm m để đồ thị hàm bậc 3 cắt trục hoành tại 3 điểm lập thành 1 cấp số cộng.
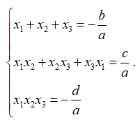
Định lí Vi-et:
Cho bậc hai: Cho phương trình ax2 + bx + c = 0 có 2 nghiệm x1, x2 thì ta có: ,
Cho bậc ba: Cho phương trình ax3 + bx2 + cx + d = 0 có 3 nghiệm x1, x2, x3 thì ta có:
x1 + x2 + x3 = , x1x2+ x2x3 + x3x1 = , x1x2x3
Tính chất của cấp số cộng:
Cho 3 số a, b, c theo thứ tự đó lập thành 1 cấp số cộng thì: a + c = 2b.
Phương pháp giải toán:
Điều kiện cần: là 1 nghiệm của phương trình. Từ đó thay vào phương trình để tìm m.
Điều kiện đủ: Thay m tìm được vào phương trình và kiểm tra.
3. Tương giao của hàm số phân thức
Phương pháp:
Cho hàm số và đường thẳng d: y = px + q.
Phương trình hoành độ giao điểm của (C) và d:
F (x, m) = 0 (1) (phương trình bậc hai ẩn x tham số m).
* Các câu hỏi thường gặp:
(1) Tìm m để d cắt (C) tại 2 điểm phân biệt (1) có 2 nghiệm phân biệt khác
(2) Tìm m để d cắt (C) tại 2 điểm phân biệt cùng thuộc nhánh phải của (C) (1) có 2 nghiệm phân biệt x1, x2 và thỏa mãn:
(3) Tìm m để d cắt (C) tại 2 điểm phân biệt cùng thuộc nhánh trái của (C) (1) có 2 nghiệm phân biệt x1, x2 và thỏa mãn
(4) Tìm m để d cắt (C) tại 2 điểm phân biệt thuộc 2 nhánh của (C) (1) có 2 nghiệm phân biệt x1, x2 và thỏa mãn
(5) Tìm m để d cắt (C) tại 2 điểm phân biệt A và B thỏa mãn điều kiện hình học cho trước:
• Đoạn thẳng AB = k.
• Tam giác ABC vuông.
• Tam giác ABC có diện tích S0.
Quy tắc:
• Tìm điều kiện tồn tại A, B → (1) có 2 nghiệm phân biệt.
• Xác định tọa độ của A và B (chú ý Vi-et).
• Dựa vào giả thiết xác lập phương trình ẩn m. Từ đó suy ra m.
* Lưu ý: Công thức khoảng cách:
A (xA; yA), B (xB; yB) : AB =
4. Tương giao của hàm số bậc bốn
Nghiệm của phương trình trùng phương: ax4 + bx2 + c = 0 (1).
a) Nhẩm nghiệm
- Nhẩm nghiệm: Giả sử x = x0 là một nghiệm của phương trình.
- Khi đó ta phân tích: f(x, m) = (x2 - ) g(x) = 0
- Dựa vào giả thiết xử lý phương trình bậc hai g(x) = 0.
b) Ẩn phụ - tam thức bậc hai
- Đặt t = x2, (t ≥ 0) Phương trình: at2 + bt + c = 0 (2).
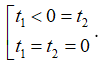
- Để (1) có đúng 1 nghiệm thì (2) có nghiệm t1, t2 thỏa mãn:
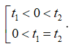
- Để (1) có đúng 2 nghiệm thì (2) có nghiệm t1, t2 thỏa mãn:
- Để (1) có đúng 3 nghiệm thì (2) có nghiệm t1, t2 thỏa mãn: 0 = t1 < t2.
- Để (1) có đúng 4 nghiệm thì (2) có nghiệm t1, t2 thỏa mãn: 0 < t1 < t2.
c) Bài toán: Tìm m để (C): y = ax4 + bx2 + c (1) cắt Ox tại 4 điểm có hoành độ lập thành cấp số cộng.
- Đặt t = x2, (t ≥ 0). Phương trình: at2 + bt + c = 0 (2).
- Để (1) cắt Ox tại 4 điểm phân biệt thì (2) phải có 2 nghiệm dương t1, t2 (t1 < t2) thỏa mãn t2 = 9t1.
- Kết hợp t2 = 9t1 với Định lí Vi-et tìm được m.
II. CÁC DẠNG TOÁN VÀ PHƯƠNG PHÁP GIẢI
1. Dạng toán: Xét tương giao dựa vào xét nghiệm phương trình hoành độ giao điểm
1.1. Phương pháp giải
Cho hàm số y = f(x) có đồ thị (C1) và y = g(x) có đồ thị (C2).
Phương trình f(x) = g(x) (*) được gọi là phương trình hoành độ giao điểm.
- Số giao điểm của đồ thị (C1) và (C2) là số nghiệm của phương trình hoành độ giao điểm.
- Và khi đó, các nghiệm của phương trình (*) là các hoành độ giao điểm.
* Lưu ý:
- Trục hoành có phương trình là y = 0.
- Các đường thẳng y = m (với m là tham số thực) có đồ thị là đường thẳng song song hoặc trùng với trục Ox.
- Định lí Vi-et cho phương trình bậc hai, bậc ba.
Phương trình bậc hai: ax2 + bx + c = 0 (a ≠ 0), giả sử phương trình có 2 nghiệm x1, x2.
Phương trình bậc ba: ax3 + bx2 + cx + d = 0 (a ≠ 0), giả sử phương trình có 3 nghiệm x1; x2; x3.
⇒ Theo Định lí Vi-et ta có:
1.2. Ví dụ
Ví dụ 1. Đồ thị hàm số cắt trục hoành tại mấy điểm?
A. 4.
B. 3.
C. 2.
D. 0.
Hướng dẫn giải
Phương trình hoành độ giao điểm:
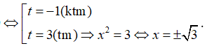
Đặt x2 = t (t ≥ 0), phương trình trở thành:
Vậy đồ thị hàm số cắt trục hoành tại 2 điểm. Chọn C.
Ví dụ 2. Gọi A, B là giao điểm của đồ thị hàm số với đường thẳng y = x - 2. Độ dài AB bằng?
A.
B. 1.
C.
D.
Hướng dẫn giải
* Xét phương trình hoành độ giao điểm:
= x - 2 2x - 1 = (x + 2)(x - 2) 2x - 1 = x2 - 4 x2 - 2x - 3 = 0 (*).
Cách 1: Không tìm tọa độ A, B
Gọi A (x1; x1 - 2); B (x2; x2 - 2) (với x1; x2 là hai nghiệm của phương trình (*))
Mà x1; x2 là nghiệm của (*), theo Vi-et ta có:
Cách 2: Tìm tọa độ A, B
. Chọn C.
Ví dụ 3. Tìm giá trị thực của tham số m để đồ thị hàm số y = x3 - 3x2 + 2 (C) cắt đường thẳng d: y = m (x - 1) tại ba điểm phân biệt có hoành độ x1; x2; x3 thỏa mãn: ?
A.
B.
C. m > -3.
D. m > -2.
Hướng dẫn giải
* Tìm điều kiện để (C) cắt d tại 3 điểm phân biệt:
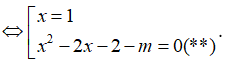
Xét phương trình hoành độ giao điểm: x3 - 3x2 + 2 = m (x - 1) (*).
* Lưu ý: Casio: Tìm 1 nghiệm của phương trình bậc ba chứa m.
Gán m = 100 bấm máy giải phương trình. Nếu:
+ Có nghiệm đẹp, nhỏ:
+ Có nghiệm m = 100 phương trình có nghiệm x = m
x = 99 phương trình có nghiệm x = m - 1
x = -98 phương trình có nghiệm x = -(m - 2)
Nhận thấy phương trình (*) luôn có 1 nghiệm x = 1
⇒ (*) (x - 1) (x2 - 2x - 2) = m (x - 1)
(x - 1) (x2 - 2x - 2 - m) = 0
Để đồ thị (C) cắt d tại 3 giao điểm Phương trình (**) có 2 nghiệm phân biệt ≠ 1
* Tìm điều kiện để
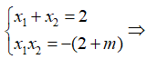
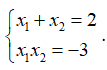
Cho x3 = 1; x1, x2 là nghiệm của phương trình (**)
Theo Vi-et của phương trình (**) ta có: 4 + 2 (2 + m) > 4 2 + m > 0 m > -2 (2).
Từ (1), (2) ⇒ m > -2. Chọn D.
................................
................................
................................
III. CÂU HỎI VẬN DỤNG
Dạng 1. Câu trắc nghiệm nhiều phương án chọn
Mỗi câu hỏi thí sinh chỉ chọn một phương án đúng nhất.
Câu 1. Đồ thị hàm số y = -x3 + 2x2 - 1 cắt trục tung tại điểm có tung độ bằng
A. 3.
B. 1.
C. −1.
D. 0.
Câu 2. Số giao điểm của đồ thị hàm số y = -x3 + 7x với trục hoành là
A. 0.
B. 3.
C. 2.
D. 1.
Câu 3. Đồ thị hàm số y = x4 - 3x2 + 1 và đồ thị hàm số y = -2x2 + 7 có bao nhiêu điểm chung?
A. 0.
B. 1.
C. 2.
D. 3.
Câu 4. Cho hàm số f(x) có bảng biến thiên như sau:
Số nghiệm của phương trình 3 f(x) - 2 = 0 là
A. 2.
B. 0.
C. 3.
D. 1.
Câu 5. Cho hàm số f(x) = ax4 + bx2 + c (a, b, c ). Đồ thị của hàm số y = f(x) như hình vẽ bên.Số nghiệm của phương trình 4 f(x) - 3 = 0 là
A. 2.
B. 0.
C. 4.
D. 3.
................................
................................
................................
Dạng 2. Câu trắc nghiệm trả lời ngắn
Câu 16. Cho hàm số bậc ba y = f(x) có đồ thị là đường cong trong hình bên. Số nghiệm thực phân biệt của phương trình f [f(x)] = 1 là:
Điền đáp án |
Câu 17. Cho hàm số y = f(x) có đạo hàm trên và có đồ thị là đường cong trong hình vẽ dưới.
Đặt g(x) = f [f(x)]. Tìm số nghiệm của phương trình g'(x) = 0.
Điền đáp án |
................................
................................
................................
Dạng 3. Câu trắc nghiệm đúng sai
Trong mỗi ý a), b), c), d) ở mỗi câu, thí sinh chọn đúng hoặc sai.
Câu 19. Cho đồ thị hàm số bậc ba y = ax3 + bx2 + cx + d (a ≠ 0) như sau:
a) Khi thì phương trình f(x) = m có 1 nghiệm.
b) Khi thì phương trình f(x) = m có 3 nghiệm.
c) Hàm số có 3 điểm cực trị.
d) Hàm số cắt trục tung tại điểm có tung độ bằng 0.
................................
................................
................................
Xem thử Tài liệu & Đề thi HSA Xem thử Tài liệu & Đề thi VACT Xem thử Tài liệu & Đề thi TSA Xem thử Tài liệu & Đề thi SPT
Xem thêm tài liệu ôn thi đánh giá năng lực HSA, VACT, đánh giá tư duy TSA hay khác:
- (Ôn thi ĐGNL HSA) Chuyên đề: Góc, khoảng cách trong không gian
- (Ôn thi ĐGNL HSA) Chuyên đề: Thể tích của một số hình khối
- (Ôn thi ĐGNL HSA) Chuyên đề: Nguyên hàm - Tích phân
- (Ôn thi ĐGNL HSA) Chuyên đề: Vectơ và phương pháp tọa độ trong không gian
- (Ôn thi ĐGNL HSA) Chuyên đề: Thống kê và xác suất
- (Ôn thi ĐGNL HSA) Chuyên đề: Một số câu hỏi trích trong các đề thi tham khảo
Đã có app VietJack trên điện thoại, giải bài tập SGK, SBT Soạn văn, Văn mẫu, Thi online, Bài giảng....miễn phí. Tải ngay ứng dụng trên Android và iOS.
Theo dõi chúng tôi miễn phí trên mạng xã hội facebook và youtube:Nếu thấy hay, hãy động viên và chia sẻ nhé! Các bình luận không phù hợp với nội quy bình luận trang web sẽ bị cấm bình luận vĩnh viễn.
- Giải Tiếng Anh 12 Global Success
- Giải sgk Tiếng Anh 12 Smart World
- Giải sgk Tiếng Anh 12 Friends Global
- Lớp 12 Kết nối tri thức
- Soạn văn 12 (hay nhất) - KNTT
- Soạn văn 12 (ngắn nhất) - KNTT
- Giải sgk Toán 12 - KNTT
- Giải sgk Vật Lí 12 - KNTT
- Giải sgk Hóa học 12 - KNTT
- Giải sgk Sinh học 12 - KNTT
- Giải sgk Lịch Sử 12 - KNTT
- Giải sgk Địa Lí 12 - KNTT
- Giải sgk Giáo dục KTPL 12 - KNTT
- Giải sgk Tin học 12 - KNTT
- Giải sgk Công nghệ 12 - KNTT
- Giải sgk Hoạt động trải nghiệm 12 - KNTT
- Giải sgk Giáo dục quốc phòng 12 - KNTT
- Giải sgk Âm nhạc 12 - KNTT
- Giải sgk Mĩ thuật 12 - KNTT
- Lớp 12 Chân trời sáng tạo
- Soạn văn 12 (hay nhất) - CTST
- Soạn văn 12 (ngắn nhất) - CTST
- Giải sgk Toán 12 - CTST
- Giải sgk Vật Lí 12 - CTST
- Giải sgk Hóa học 12 - CTST
- Giải sgk Sinh học 12 - CTST
- Giải sgk Lịch Sử 12 - CTST
- Giải sgk Địa Lí 12 - CTST
- Giải sgk Giáo dục KTPL 12 - CTST
- Giải sgk Tin học 12 - CTST
- Giải sgk Hoạt động trải nghiệm 12 - CTST
- Giải sgk Âm nhạc 12 - CTST
- Lớp 12 Cánh diều
- Soạn văn 12 Cánh diều (hay nhất)
- Soạn văn 12 Cánh diều (ngắn nhất)
- Giải sgk Toán 12 Cánh diều
- Giải sgk Vật Lí 12 - Cánh diều
- Giải sgk Hóa học 12 - Cánh diều
- Giải sgk Sinh học 12 - Cánh diều
- Giải sgk Lịch Sử 12 - Cánh diều
- Giải sgk Địa Lí 12 - Cánh diều
- Giải sgk Giáo dục KTPL 12 - Cánh diều
- Giải sgk Tin học 12 - Cánh diều
- Giải sgk Công nghệ 12 - Cánh diều
- Giải sgk Hoạt động trải nghiệm 12 - Cánh diều
- Giải sgk Giáo dục quốc phòng 12 - Cánh diều
- Giải sgk Âm nhạc 12 - Cánh diều


Giải bài tập SGK & SBT
Tài liệu giáo viên
Sách
Khóa học
Thi online
Hỏi đáp

