Giải bài 5 trang 162 SGK Hóa 10 nâng cao
Bài 41: Oxi
Bài 5 (trang 162 sgk Hóa 10 nâng cao): Đốt cháy hoàn toàn m gam cacbon trong V lít oxi (điều kiện tiêu chuẩn), thu được hỗn hợp khí A có tỉ khối đối với oxi là 1,25.
a) Hãy xác định thành phần phần trăm theo thể tích các khí có trong hỗn hợp A.
b) Tính m và V. Biết rằng khi dẫn hỗn hợp khí A vào đựng dung dịch Ca(OH)2 dư tạo thành 6 gam kết tủa trắng.
Lời giải:
a)Ta có:
Phương trình phản ứng:
C + O2 -> CO2 (1)
C + CO2 -> 2CO (2)
Bài toán này có thể xảy ra hai trường hợp sau:
Trường hợp 1: Oxi dư (không có phản ứng 2): Hỗn hợp A gồm CO2 và O2 dư.
Thành phần phần trăm các chất trong hỗn hợp về mặt toán học không ảnh hưởng đến số mol hỗn hợp.
Xét 1 mol hỗn hợp A, trong đó X là số mol của CO2 và (1 - x) là số mol của O2 dư.
Vậy %VCO2 = 2/3. 100% = 66,67% và %VO2 = 33,33%.
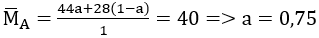
Trường hợp 2: O2 thiếu (có phản ứng 2), hỗn hợp A có CO2 và CO.
Tương tự trên, xét 1 mol hỗn hợp A, trong đó a là số mol của CO2 và (1 - a) là số moi của CO
Vậy %VCO2 = 0,75. 100% = 75%; %VCO = 100% - 75% = 25%.
b) Tính m, V:
Trường hợp 1: nCO2 = 0,06 mol ⇒ nO2 dư = 1/2 nCO2 = 0,03 (mol)
Vậy: mC = 0,06.12 = 0,72 gam; VO2 = (0,06 + 0,03).22,4 = 2,016 (lít).
Trường hợp 2: nCO2 = 0,06mol; nCO = nCO2/3 = 0,02(mol)
BT nguyên tố C ⇒ nC = nCO2 +nCO = 0,06 + 0,02 = 0,08 mol ⇒ mC = 0,08.12 = 0,96(g)
BT nguyên tố O ⇒ nO2 = nCO2 + 1/2. nCO = 0,06 + 0,01 = 0,07 mol ⇒ VO2 = 0,07.22,4 = 1,568 (lít).
Các bài giải bài tập Hóa 10 nâng cao bài 41 khác:
Bài 2 (trang 162 SGK Hóa 10 nâng cao): Trình bày những phương pháp điều chế oxi: ...
Bài 3 (trang 162 SGK Hóa 10 nâng cao): Thêm 3 gam MnO2 vào 197gam hỗn hợp ...
Bài 4 (trang 162 SGK Hóa 10 nâng cao): So sánh thể tích khí oxi thu được (trong cùng ...
Bài 5* (trang 162 SGK Hóa 10 nâng cao): Đốt cháy hoàn toàn m gam cacbon trong V lít oxi ...
Để học tốt lớp 10 các môn học sách mới:
- Giải bài tập Lớp 10 Kết nối tri thức
- Giải bài tập Lớp 10 Chân trời sáng tạo
- Giải bài tập Lớp 10 Cánh diều
Tủ sách VIETJACK shopee lớp 10-11 (cả 3 bộ sách):
Đã có app VietJack trên điện thoại, giải bài tập SGK, SBT Soạn văn, Văn mẫu, Thi online, Bài giảng....miễn phí. Tải ngay ứng dụng trên Android và iOS.
Theo dõi chúng tôi miễn phí trên mạng xã hội facebook và youtube:Nếu thấy hay, hãy động viên và chia sẻ nhé! Các bình luận không phù hợp với nội quy bình luận trang web sẽ bị cấm bình luận vĩnh viễn.
- Giải Tiếng Anh 10 Global Success
- Giải Tiếng Anh 10 Friends Global
- Giải sgk Tiếng Anh 10 iLearn Smart World
- Giải sgk Tiếng Anh 10 Explore New Worlds
- Lớp 10 - Kết nối tri thức
- Soạn văn 10 (hay nhất) - KNTT
- Soạn văn 10 (ngắn nhất) - KNTT
- Soạn văn 10 (siêu ngắn) - KNTT
- Giải sgk Toán 10 - KNTT
- Giải sgk Vật lí 10 - KNTT
- Giải sgk Hóa học 10 - KNTT
- Giải sgk Sinh học 10 - KNTT
- Giải sgk Địa lí 10 - KNTT
- Giải sgk Lịch sử 10 - KNTT
- Giải sgk Kinh tế và Pháp luật 10 - KNTT
- Giải sgk Tin học 10 - KNTT
- Giải sgk Công nghệ 10 - KNTT
- Giải sgk Hoạt động trải nghiệm 10 - KNTT
- Giải sgk Giáo dục quốc phòng 10 - KNTT
- Lớp 10 - Chân trời sáng tạo
- Soạn văn 10 (hay nhất) - CTST
- Soạn văn 10 (ngắn nhất) - CTST
- Soạn văn 10 (siêu ngắn) - CTST
- Giải Toán 10 - CTST
- Giải sgk Vật lí 10 - CTST
- Giải sgk Hóa học 10 - CTST
- Giải sgk Sinh học 10 - CTST
- Giải sgk Địa lí 10 - CTST
- Giải sgk Lịch sử 10 - CTST
- Giải sgk Kinh tế và Pháp luật 10 - CTST
- Giải sgk Hoạt động trải nghiệm 10 - CTST
- Lớp 10 - Cánh diều
- Soạn văn 10 (hay nhất) - Cánh diều
- Soạn văn 10 (ngắn nhất) - Cánh diều
- Soạn văn 10 (siêu ngắn) - Cánh diều
- Giải sgk Toán 10 - Cánh diều
- Giải sgk Vật lí 10 - Cánh diều
- Giải sgk Hóa học 10 - Cánh diều
- Giải sgk Sinh học 10 - Cánh diều
- Giải sgk Địa lí 10 - Cánh diều
- Giải sgk Lịch sử 10 - Cánh diều
- Giải sgk Kinh tế và Pháp luật 10 - Cánh diều
- Giải sgk Tin học 10 - Cánh diều
- Giải sgk Công nghệ 10 - Cánh diều
- Giải sgk Hoạt động trải nghiệm 10 - Cánh diều
- Giải sgk Giáo dục quốc phòng 10 - Cánh diều


Giải bài tập SGK & SBT
Tài liệu giáo viên
Sách
Khóa học
Thi online
Hỏi đáp

