Giải bài 8 trang 153 SGK Hóa 11 nâng cao
Chương 5 : Hiđrocacbon no
Bài 37: Luyện tập Ankan và xicloankan
Bài 8 (trang 153 sgk Hóa 11 nâng cao):
a) Hãy lập công thức % khối lượng C, H của monoxicloankan theo số lượng nguyên tử C trong phân tử. Nhận xét kết quả thu được.
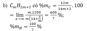
b) cũng câu hởi a đối với ankan. Hàm lượng % C, H ở ankan C2H2n+2 sẽ biến đổi như thế nào khi n→∞
Lời giải:
Nhận xét: với xicloankan, phần trăm khối lượng C và H không dổi, không phụ thuộc vào n.
nhận xét: khi m tiến đều từ 1 đến ∞, giới hạn phần trăm khối lượng của C và H biến đổi như sau:
Các bài giải bài tập Hóa 11 nâng cao bài 37 khác:
Bài 1 (trang 153 SGK Hóa 11 nâng cao): Hãy chọn câu đúng ...
Bài 2 (trang 153 SGK Hóa 11 nâng cao): Hãy so sánh thành phần ...
Bài 3 (trang 153 SGK Hóa 11 nâng cao): Hãy so sánh nhiệt độ ...
Bài 4 (trang 153 SGK Hóa 11 nâng cao): Ankan còn có tên là ...
Bài 5 (trang 153 SGK Hóa 11 nâng cao): a) Hãy đánh dấu + ...
Bài 6 (trang 153 SGK Hóa 11 nâng cao): a) Hãy viết các đồng ...
Bài 7 (trang 153 SGK Hóa 11 nâng cao): Hãy ghi chữ Đ(đúng)...
Bài 8 (trang 153 SGK Hóa 11 nâng cao): a) Hãy lập công thức...
Tủ sách VIETJACK shopee lớp 10-11 (cả 3 bộ sách):
Đã có app VietJack trên điện thoại, giải bài tập SGK, SBT Soạn văn, Văn mẫu, Thi online, Bài giảng....miễn phí. Tải ngay ứng dụng trên Android và iOS.
Theo dõi chúng tôi miễn phí trên mạng xã hội facebook và youtube:Nếu thấy hay, hãy động viên và chia sẻ nhé! Các bình luận không phù hợp với nội quy bình luận trang web sẽ bị cấm bình luận vĩnh viễn.
- Giải Tiếng Anh 11 Global Success
- Giải sgk Tiếng Anh 11 Smart World
- Giải sgk Tiếng Anh 11 Friends Global
- Lớp 11 - Kết nối tri thức
- Soạn văn 11 (hay nhất) - KNTT
- Soạn văn 11 (ngắn nhất) - KNTT
- Giải sgk Toán 11 - KNTT
- Giải sgk Vật Lí 11 - KNTT
- Giải sgk Hóa học 11 - KNTT
- Giải sgk Sinh học 11 - KNTT
- Giải sgk Lịch Sử 11 - KNTT
- Giải sgk Địa Lí 11 - KNTT
- Giải sgk Giáo dục KTPL 11 - KNTT
- Giải sgk Tin học 11 - KNTT
- Giải sgk Công nghệ 11 - KNTT
- Giải sgk Hoạt động trải nghiệm 11 - KNTT
- Giải sgk Giáo dục quốc phòng 11 - KNTT
- Giải sgk Âm nhạc 11 - KNTT
- Lớp 11 - Chân trời sáng tạo
- Soạn văn 11 (hay nhất) - CTST
- Soạn văn 11 (ngắn nhất) - CTST
- Giải sgk Toán 11 - CTST
- Giải sgk Vật Lí 11 - CTST
- Giải sgk Hóa học 11 - CTST
- Giải sgk Sinh học 11 - CTST
- Giải sgk Lịch Sử 11 - CTST
- Giải sgk Địa Lí 11 - CTST
- Giải sgk Giáo dục KTPL 11 - CTST
- Giải sgk Hoạt động trải nghiệm 11 - CTST
- Giải sgk Âm nhạc 11 - CTST
- Lớp 11 - Cánh diều
- Soạn văn 11 Cánh diều (hay nhất)
- Soạn văn 11 Cánh diều (ngắn nhất)
- Giải sgk Toán 11 - Cánh diều
- Giải sgk Vật Lí 11 - Cánh diều
- Giải sgk Hóa học 11 - Cánh diều
- Giải sgk Sinh học 11 - Cánh diều
- Giải sgk Lịch Sử 11 - Cánh diều
- Giải sgk Địa Lí 11 - Cánh diều
- Giải sgk Giáo dục KTPL 11 - Cánh diều
- Giải sgk Tin học 11 - Cánh diều
- Giải sgk Công nghệ 11 - Cánh diều
- Giải sgk Hoạt động trải nghiệm 11 - Cánh diều
- Giải sgk Giáo dục quốc phòng 11 - Cánh diều
- Giải sgk Âm nhạc 11 - Cánh diều


Giải bài tập SGK & SBT
Tài liệu giáo viên
Sách
Khóa học
Thi online
Hỏi đáp

