Giải bài 5 trang 23 SGK Hóa 12 nâng cao
Bài 4: Luyện tập: Mối liên hệ giữa hiđrocacbon và một số dẫn xuất của hiđrocacbon
Bài 5 (trang 23 sgk Hóa 12 nâng cao): Hãy viết sơ đồ phản ứng từ etilen và toluen điều chế ra các hợp chất sau:
a. Chúng thuộc chức hữu cơ nào?
b. Hãy viết công thức cấu tạo thu gọn và công thức phân tử của chúng
c. Gọi tên hai hợp chất đầu theo danh pháp IUPAC
Lời giải:
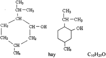
Công thức cấu tạo thu gọn nhất
a. Xitronelal và geranial thuộc chức andehit do phân tử có chứa nhóm chức –CH=O. Metol thuộc chức rượu (ancol) vì phân tử có chứa nhóm –OH
b. Công thức cấu tạo thu gọn và công thức phân tử :
Xitronelal CH3C(CH3)=CHCH2CH2CH(CH3)CH2CHO : C10H18O
Geranial CH3C(CH3)=CHCH2CH2C(CH3)=CHCHO : C10H16O
Metol
c. Tên của xitronelal và geranial theo IUPAC
Xitronelal : 3,7-dimetyl oct-6-en-1-al
Geranial : 3,7-dimetyl oct-2,6-dien-1-al
Các bài giải bài tập Hóa 12 nâng cao bài 4 khác:
Bài 1 (trang 22 SGK Hóa 12 nâng cao): Nguyên liệu cho công nghiệp ...
Bài 2 (trang 22 SGK Hóa 12 nâng cao): a) Vì sao trong sơ đồ ...
Bài 3 (trang 22 SGK Hóa 12 nâng cao): Hãy dùng sơ đồ phản ứng ...
Bài 5 (trang 23 SGK Hóa 12 nâng cao): Cho công thứ cấu tạo ...
Bài 6 (trang 23 SGK Hóa 12 nâng cao): Hãy hoàn thành các sơ đồ ...
Bài 9 (trang 24 SGK Hóa 12 nâng cao): Chỉ số xà phòng hóa ...
Đã có app VietJack trên điện thoại, giải bài tập SGK, SBT Soạn văn, Văn mẫu, Thi online, Bài giảng....miễn phí. Tải ngay ứng dụng trên Android và iOS.
Theo dõi chúng tôi miễn phí trên mạng xã hội facebook và youtube:Nếu thấy hay, hãy động viên và chia sẻ nhé! Các bình luận không phù hợp với nội quy bình luận trang web sẽ bị cấm bình luận vĩnh viễn.
- Giải Tiếng Anh 12 Global Success
- Giải sgk Tiếng Anh 12 Smart World
- Giải sgk Tiếng Anh 12 Friends Global
- Lớp 12 Kết nối tri thức
- Soạn văn 12 (hay nhất) - KNTT
- Soạn văn 12 (ngắn nhất) - KNTT
- Giải sgk Toán 12 - KNTT
- Giải sgk Vật Lí 12 - KNTT
- Giải sgk Hóa học 12 - KNTT
- Giải sgk Sinh học 12 - KNTT
- Giải sgk Lịch Sử 12 - KNTT
- Giải sgk Địa Lí 12 - KNTT
- Giải sgk Giáo dục KTPL 12 - KNTT
- Giải sgk Tin học 12 - KNTT
- Giải sgk Công nghệ 12 - KNTT
- Giải sgk Hoạt động trải nghiệm 12 - KNTT
- Giải sgk Giáo dục quốc phòng 12 - KNTT
- Giải sgk Âm nhạc 12 - KNTT
- Giải sgk Mĩ thuật 12 - KNTT
- Lớp 12 Chân trời sáng tạo
- Soạn văn 12 (hay nhất) - CTST
- Soạn văn 12 (ngắn nhất) - CTST
- Giải sgk Toán 12 - CTST
- Giải sgk Vật Lí 12 - CTST
- Giải sgk Hóa học 12 - CTST
- Giải sgk Sinh học 12 - CTST
- Giải sgk Lịch Sử 12 - CTST
- Giải sgk Địa Lí 12 - CTST
- Giải sgk Giáo dục KTPL 12 - CTST
- Giải sgk Tin học 12 - CTST
- Giải sgk Hoạt động trải nghiệm 12 - CTST
- Giải sgk Âm nhạc 12 - CTST
- Lớp 12 Cánh diều
- Soạn văn 12 Cánh diều (hay nhất)
- Soạn văn 12 Cánh diều (ngắn nhất)
- Giải sgk Toán 12 Cánh diều
- Giải sgk Vật Lí 12 - Cánh diều
- Giải sgk Hóa học 12 - Cánh diều
- Giải sgk Sinh học 12 - Cánh diều
- Giải sgk Lịch Sử 12 - Cánh diều
- Giải sgk Địa Lí 12 - Cánh diều
- Giải sgk Giáo dục KTPL 12 - Cánh diều
- Giải sgk Tin học 12 - Cánh diều
- Giải sgk Công nghệ 12 - Cánh diều
- Giải sgk Hoạt động trải nghiệm 12 - Cánh diều
- Giải sgk Giáo dục quốc phòng 12 - Cánh diều
- Giải sgk Âm nhạc 12 - Cánh diều


Giải bài tập SGK & SBT
Tài liệu giáo viên
Sách
Khóa học
Thi online
Hỏi đáp

