Giải bài 6 trang 266 SGK Hóa 12 nâng cao
Bài 57: Hóa học và vấn đề xã hội
Bài 6 (trang 266 sgk Hóa 12 nâng cao): Ancol etylic là sản phẩm trung gian từ đó sản xuất được cao su nhân tạo, tơ sợi tổng hợp.
Có thể điều chế ancol etylic bằng hai cách sau:
- Cho khí etilen (lấy từ crăckinh dầu mỏ) hợp nước có xúc tác.
- Cho lên men các nguyên liệu chứa tinh bột.
a. Hãy viết các phương trình phản ứng tương ứng với hai phương pháp trên.
b. Hãy tính lượng ngũ cốc chứa 65% tinh bột hoặc thể tích khí crăckinh dầu mỏ chứa 60% khí etilen cần thiết để sản xuất được 2,3 tấn ancol etylic. Biết rằng hao hụt trong quá trình sản xuất là 25%.
Lời giải:
a) Các phương trình hóa học của phản ứng:
C2H4 + H2O → C2H5OH
(C6H10O5)n + nH2O → nC6H12O6
C6H12O6 → 2C2H5OH + 2CO2
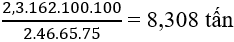
b)Từ tinh bột
Trong ngũ cốc có 65% tinh bột nên khối lượng ngũ cốc cần lấy để sản xuất ra 2,3 tấn etanol với sự hao hụt 25% (tức là với hiệu suất 75%) là :
Cứ 1 mol (22,4 lít) → 46 gam = 46.10-6 tấn.
Khi Crackinh dầu mỏ có 60% C2H4 và hiệu suất là 75%
⇒ Thể tích khí cần lấy là:
Các bài giải bài tập Hóa 12 nâng cao bài 57 khác:
Bài 4 (trang 266 SGK Hóa 12 nâng cao): Hãy lấy dẫn chứng ...
Bài 5 (trang 266 SGK Hóa 12 nâng cao): Hóa học đã sản xuất ...
Đã có app VietJack trên điện thoại, giải bài tập SGK, SBT Soạn văn, Văn mẫu, Thi online, Bài giảng....miễn phí. Tải ngay ứng dụng trên Android và iOS.
Theo dõi chúng tôi miễn phí trên mạng xã hội facebook và youtube:Nếu thấy hay, hãy động viên và chia sẻ nhé! Các bình luận không phù hợp với nội quy bình luận trang web sẽ bị cấm bình luận vĩnh viễn.
- Giải Tiếng Anh 12 Global Success
- Giải sgk Tiếng Anh 12 Smart World
- Giải sgk Tiếng Anh 12 Friends Global
- Lớp 12 Kết nối tri thức
- Soạn văn 12 (hay nhất) - KNTT
- Soạn văn 12 (ngắn nhất) - KNTT
- Giải sgk Toán 12 - KNTT
- Giải sgk Vật Lí 12 - KNTT
- Giải sgk Hóa học 12 - KNTT
- Giải sgk Sinh học 12 - KNTT
- Giải sgk Lịch Sử 12 - KNTT
- Giải sgk Địa Lí 12 - KNTT
- Giải sgk Giáo dục KTPL 12 - KNTT
- Giải sgk Tin học 12 - KNTT
- Giải sgk Công nghệ 12 - KNTT
- Giải sgk Hoạt động trải nghiệm 12 - KNTT
- Giải sgk Giáo dục quốc phòng 12 - KNTT
- Giải sgk Âm nhạc 12 - KNTT
- Giải sgk Mĩ thuật 12 - KNTT
- Lớp 12 Chân trời sáng tạo
- Soạn văn 12 (hay nhất) - CTST
- Soạn văn 12 (ngắn nhất) - CTST
- Giải sgk Toán 12 - CTST
- Giải sgk Vật Lí 12 - CTST
- Giải sgk Hóa học 12 - CTST
- Giải sgk Sinh học 12 - CTST
- Giải sgk Lịch Sử 12 - CTST
- Giải sgk Địa Lí 12 - CTST
- Giải sgk Giáo dục KTPL 12 - CTST
- Giải sgk Tin học 12 - CTST
- Giải sgk Hoạt động trải nghiệm 12 - CTST
- Giải sgk Âm nhạc 12 - CTST
- Lớp 12 Cánh diều
- Soạn văn 12 Cánh diều (hay nhất)
- Soạn văn 12 Cánh diều (ngắn nhất)
- Giải sgk Toán 12 Cánh diều
- Giải sgk Vật Lí 12 - Cánh diều
- Giải sgk Hóa học 12 - Cánh diều
- Giải sgk Sinh học 12 - Cánh diều
- Giải sgk Lịch Sử 12 - Cánh diều
- Giải sgk Địa Lí 12 - Cánh diều
- Giải sgk Giáo dục KTPL 12 - Cánh diều
- Giải sgk Tin học 12 - Cánh diều
- Giải sgk Công nghệ 12 - Cánh diều
- Giải sgk Hoạt động trải nghiệm 12 - Cánh diều
- Giải sgk Giáo dục quốc phòng 12 - Cánh diều
- Giải sgk Âm nhạc 12 - Cánh diều


Giải bài tập SGK & SBT
Tài liệu giáo viên
Sách
Khóa học
Thi online
Hỏi đáp

