Kiến thức trọng tâm Sinh học 12 Bài 11: Liên kết gen và hoán vị gen
Kiến thức trọng tâm Sinh học 12 Bài 11: Liên kết gen và hoán vị gen
Nhằm mục đích giúp học sinh nắm vững kiến thức môn Sinh học lớp 12 để chuẩn bị cho kì thi THPT Quốc gia năm 2021, VietJack biên soạn Sinh học 12 Bài 11: Liên kết gen và hoán vị gen theo bài học đầy đủ, chi tiết nội dung lý thuyết, câu hỏi trắc nghiệm và giải các bài tập trong sgk Sinh học 12.
A. Lý thuyết bài học
I. LIÊN KẾT GEN.
1. Thí nghiệm
- Đối tượng: Ruồi giấm

2. Giải thích

- Pt/t → F1 dị hợp 2 cặp gen nhưng Fa chỉ cho 2 kiểu hình với tỉ lệ 1:1 → F1 chỉ cho 2 loại giao tử với tỉ lệ ngang nhau.
- Các gen qui định các tính trạng khác nhau (màu thân, dạng cánh) cùng nằm trên 1 NST và di truyền cùng nhau.
3. Sơ đồ lai:

4. Kết luận:
- Liên kết gen là hiện tựong các gen trên cùng 1 NST di truyền cùng nhau.
- Các gen nằm trên một NST tạo thành một nhóm gen liên kết.
- Số nhóm gen liên kết ở mỗi loài bằng số NST trong bộ đơn bội (n) của loài đó
II. HOÁN VỊ GEN.
1. Thí nghiệm của Moocgan và hiện tượng hoán vị gen.
* Thí nghiệm

Pt/c: Xám, dài x Đen, cụt.
F1: 100% Xám, dài
Pa: Cái F1 xám, dài x Đực đen, cụt
Fa: 0,451 xám, dài: 0,451 đen, cụt: 0,085 xám, cụt: 0,085 đen, dài.
* Giải thích:
- Fa cũng cho ra 4 kiểu hình nhưng tỉ lệ khác với quy luật Menđen (1:1:1:1).
- Các gen qui định các tính trạng khác nhau cùng nằm trên 1 NST thì di truyền cùng nhau nhưng trong quá trình giảm phân tạo giao tử ở một số tế bào xảy ra tiếp hợp và trao đổi chéo giữa các NST tương đồng.
*Sơ đồ lai:

2. Cơ sở tế bào học của hiện tượng hoán vị gen.

- Các gen trên cùng 1 cặp NST tương đồng có thể đổi chỗ cho nhau do sự trao đổi chéo giữa các crômatic gây nên hiện tượng hoán vị gen.
- Tần số hoán vị:
+ Là tỉ lệ % số cá thể có tái tổ hợp (% các giao tử mang gen hoán vị).
+ Phản ánh khoảng cách tương đối giữa 2 gen không alen trên cùng một NST. Khoảng cách càng lớn thì lực liên kết càng nhỏ và tần số hoán vị gen càng cao. Dựa vào đó người ta lập bản đồ di truyền.
- Tần số hoán vị gen không vượt quá 50%.
III. Ý NGHĨA CỦA HIỆN TƯỢNG LIÊN KẾT GEN VÀ HOÁN VỊ GEN.
- Liên kết hoàn toàn hạn chế sự xuất hiện biến dị tổ hợp, duy trì sự ổn định của loài, giữ cân bằng hệ sinh thái.
- Hoán vị gen làm tăng biến dị tổ hợp tạo độ đa dạng di truyền.
B. Câu hỏi trắc nghiệm
A/ LIÊN KẾT GEN (DI TRUYỀN LIÊN KẾT HOÀN TOÀN)
Câu 1: Đối tượng trong nghiên cứu di truyền của Morgan là:
- Đậu Hà Lan
- Ruồi giấm
- Thỏ
- Chuột bạch
Đáp án:
Đối tượng trong nghiên cứu di truyền của Morgan là ruồi giấm
Đáp án cần chọn là: B
Câu 2: Morgan đã nghiên cứu đối tượng nào mà phát hiện ra quy luật di truyền liên kết:
- Đậu Hà Lan
- Chuột bạch
- Thỏ
- Ruồi giấm
Đáp án:
Đối tượng trong nghiên cứu di truyền của Morgan là ruồi giấm
Đáp án cần chọn là: D
Câu 3: Thế nào là nhóm gen liên kết?
- Các gen alen cùng nằm trên một NST phân li cùng nhau trong quá trình phân bào.
- Các gen không alen cùng nằm trên một NST phân li cùng nhau trong quá trình phân bào
- Các gen không alen nằm trong bộ NST phân li cùng nhau trong quá trình phân bào
- Các gen alen nằm trong bộ NST phân li cùng nhau trong quá trình phân bào.
Đáp án:
Các gen không alen cùng nằm trên một NST phân li cùng nhau trong quá trình phân bào làm 1 nhóm gen liên kết
Đáp án cần chọn là: B
Câu 4: Gen liên kết là?
- Các gen không alen cùng nằm trên một NST phân li cùng nhau trong quá trình phân bào
- Các gen alen cùng nằm trên một NST phân li cùng nhau trong quá trình phân bào.
- Các gen không alen nằm trong bộ NST phân li cùng nhau trong quá trình phân bào
- Các gen alen nằm trong hai NST phân li cùng nhau trong quá trình phân bào.
Đáp án:
Các gen không alen cùng nằm trên một NST phân li cùng nhau trong quá trình phân bào làm 1 nhóm gen liên kết
Đáp án cần chọn là: A
Câu 5: Trường hợp nào sẽ dẫn tới sự di truyền liên kết?
- Các cặp gen qui định các cặp tính trạng nằm trên các cặp nhiễm sắc thể khác nhau.
- Các cặp gen qui định các cặp tính trạng xét tới cùng nằm trên 1 cặp nhiễm sắc thể.
- Các tính trạng khi phân ly làm thành một nhóm tính trạng liên kết.
- Tất cả các gen nằm trên cùng một nhiễm sắc thể phải luôn di truyền cùng nhau.
Đáp án:
Các gen cùng nằm trên một NST phân ly và tổ hợp cùng nhau trong quá trình giảm phân và thụ tinh dẫn đến sự di truyền liên kết.
Đáp án cần chọn là: B
Câu 6: Trường hợp di truyền liên kết xảy ra khi
- bố mẹ thuần chủng và khác nhau bởi 2 cặp tính trạng tương phản
- các gen chi phối các tính trạng phải trội hoàn toàn
- không có hiện tượng tương tác gen và di truyền liên kết với giới tính
- các cặp gen quy định các cặp tính trạng nằm trên cùng một cặp nhiễm sắc thể tương đồng
Đáp án:
Trường hợp di truyền liên kết xảy ra khi: các cặp gen quy định các cặp tính trạng nằm trên cùng một cặp nhiễm sắc thể tương đồng
Nguyên nhân là do chúng sẽ phân li cùng nhau về 1 giao tử trong quá trình giảm phân
Đáp án cần chọn là: D
Câu 7: Với 2 cặp gen không alen cùng nằm trên 1 cặp nhiễm sắc thể tương đồng, thì cách viết kiểu gen nào dưới đây là không đúng?

Đáp án:
A, B, D đều là cách viết đúng
C viết sai, A và a là một cặp alen của một gen nên phải nằm về hai phía đối nhau.
Đáp án cần chọn là: C
Câu 8: Kiểu gen liên kết đã bị viết sai là:

Đáp án:
Kiểu gen đã bị viết sai là C:
vì dấu gạch ngang tượng trưng cho 2 NST tương đồng. Mỗi bên NST sẽ chứa các alen và bên NST còn lại sẽ chứa các alen tương ứng với nó
Trong hình C thì hai alen của 1 gen cùng tồn tại ở một nhiễm sắc thể → C sai
Đáp án cần chọn là: C
Câu 9: Nhận định nào sau đây về liên kết gen là KHÔNG đúng?
- Liên kết gen đảm bảo sự di truyền ổn định của nhóm tính trạng.
- Liên kết gen là hiện tượng di truyền phổ biến, vì số lượng NST ít mà số gen rất lớn.
- Các gen càng nằm ở vị trí gần nhau trên một NST thì liên kết càng bền vững.
- Di truyền liên kết gen không làm xuất hiện biến dị tổ hợp.
Đáp án:
Di truyền liên kết gen làm hạn chế xuất hiện biến dị tổ hợp chứ không phải không làm xuất hiện biến dị tổ hợp
VD: Cây P: AB/ab (cao, đỏ) × AB/ab (cao đỏ)
F1: 3 AB/-- : 1 ab/ab (3 cao đỏ : 1 thấp trắng)
Đã xuất hiện cây thấp trắng là biến dị tổ hợp
Đáp án cần chọn là: D
Câu 10: Nhận định nào sau đây là đúng khi nói về sự di truyền liên kết?
- Số nhóm gen liên kết ở mỗi loài tương ứng với số NST trong bộ NST lưỡng bội của loài đó
- Liên kết hoàn toàn tạo điều kiện cho các gen quý có dịp tổ hợp lại với nhau
- Các gen trên cùng một NST phân li cùng nhau và làm thành nhóm gen liên kết
- Liên kết gen hoàn toàn làm tăng biến dị tổ hợp
Đáp án:
Khi các gen nằm trên cùng một NST thì liên kết với nhau và cùng hình thành một nhóm liên kết
Đáp án cần chọn là: C
Câu 11: Phát biểu nào sau đây đúng khi nói về liên kết gen?
- Các gen trên cùng một nhiễm sắc thể đồng dạng liên kết với nhau hình thành nhóm gen liên kết. Số nhóm gen liên kết bằng số nhiễm sắc thể trong hợp chất của loài.
- Các gen trên cùng một nhiễm sắc thể liên kết với nhau hình thành nhóm gen liên kết. Số nhóm gen liên kết bằng số nhiễm sắc thể trong hợp chất của loài.
- Các gen trên cùng một nhiễm sắc thể liên kết với nhau hình thành nhóm gen liên kết. Số nhóm gen liên kết bằng số nhiễm sắc thể trong bộ đơn bội (n) của loài.
- Các gen trên cùng một nhiễm sắc thể liên kết với nhau hình thành nhóm gen liên kết. Số nhóm gen liên kết thường bằng số nhiễm sắc thể trong giao tử của loài.
Đáp án:
Các gen trên cùng một nhiễm sắc thể đồng dạng liên kết với nhau hình thành nhóm gen liên kết. Số nhóm gen liên kết bằng số nhiễm sắc thể trong giao tử của loài (n).
Đáp án cần chọn là: C
Câu 12: Ở ruồi giấm, bộ nhiễm sắc thể lưỡng bội 2n= 8. Số nhóm gen liên kết của loài này là
- 2.
- 8.
- 4.
- 6.
Đáp án:
Số nhóm gen liên kết bằng số NST bộ đơn bội và bằng 4.
Đáp án cần chọn là: C
Câu 13: Ở gà, bộ nhiễm sắc thể 2n = 78. Số nhóm gen liên kết ở gà mái là:
- 38
- 40
- 78
- 39
Đáp án:
Ở gà 2n = 78 → có 39 cặp NST, nhưng ở gà mái có bộ NST giới tính là XY nên số nhóm gen liên kết là 39 +1 = 40
Đáp án cần chọn là: B
Câu 14: Một loài thực vật có 12 nhóm gen liên kết. Theo lí thuyết, bộ NST lưỡng bội của loài này là
- 2n = 12
- 2n = 24
- 2n = 36
- 2n = 6
Đáp án:
Số nhóm gen liên kết bằng số NST trong bộ NST đơn bội của loài, hay n = 12
Vậy thể lưỡng bội: 2n = 24.
Đáp án cần chọn là: B
Câu 15: Cơ sở tế bào học của trao đổi đoạn nhiễm sắc thể là:
- Sự tiếp hợp các NST tương đồng ở kì trước của giảm phân I.
- Sự trao đổi đoạn giữa 2 crômatit cùng nguồn gốc ở kì trước của giảm phân II.
- Sự trao đổi đoạn giữa các crômatit khác nguồn gốc ở kì trước giảm phân I.
- Sự phân li và tổ hợp tự do của nhiễm sắc thể trong giảm phân.
Đáp án:
Cơ sở tế bào học của trao đổi đoạn nhiễm sắc thể là sự trao đổi đoạn giữa các crômatit khác nguồn gốc ở kì trước giảm phân I.
Đáp án cần chọn là: C
Câu 16: Vì sao các gen liên kết được với nhau:
- Vì chúng nằm trên cùng 1 chiếc NST.
- Vì các tính trạng do chúng quy định cùng biểu hiện.
- Vì chúng cùng ở cặp NST tương đồng.
- Vì chúng có lôcut giống nhau.
Đáp án:
Sự phân ly của NST ở kì sau chính là nguyên nhân gây ra sự phân ly các gen hay các alen. Do đó, nếu các gen cùng nằm trên 1 NST, chúng sẽ cùng phân ly với nhau về 1 tế bào→ hiện tượng di truyền liên kết
Đáp án cần chọn là: A
Câu 17: Khi cho đậu hoa vàng, cánh thẳng lai với đậu hoa tím, cánh cuốn thu được F1 100% đậu hoa tím, cánh thẳng. Cho F1 giao phấn với nhau thu được F2 gồm 105 đậu hoa vàng, cánh thẳng, 210 đậu hoa tím, cánh thẳng, 100 đậu hoa tím, cánh cuốn. Biết rằng mỗi gen quy định một tính trạng. Nhận xét nào sau đây là đúng?
- F2 thu được tỉ lệ kiểu hình khác tỉ lệ kiểu gen.
- Các cặp tính trạng di truyền phân li độc lập.
- F2 thu được tỉ lệ kiểu hình giống tỉ lệ kiểu gen.
- Kiểu gen của F1 là dị hợp tử đều.
Đáp án:
Lai hai tính trạng → tỉ lệ phân li kiểu hình 1 : 2 :1 → Hai tính trạng này liên kết hoàn toàn với nhau và cùng nằm trên 1 NST.
Vì hoa vàng, cánh thẳng × đậu hoa tím, cánh cuốn → Tím thẳng
→ A - Tím >> a - vàng, B - thẳng >> b - cuốn
→ F1 có kiểu gen dị hợp không đều 
→
→ Tỉ lệ kiểu gen giống tỉ lệ kiểu hình.
Đáp án cần chọn là: C
Câu 18: Khi cho đậu hoa vàng, cánh thẳng lai với đậu hoa tím, cánh cuốn thu được F1 100% đậu hoa tím, cánh thẳng. Cho F1 giao phấn với nhau thu được F2 gồm 105 đậu hoa vàng, cánh thẳng, 210 đậu hoa tím, cánh thẳng, 100 đậu hoa tím, cánh cuốn. Biết rằng mỗi gen quy định một tính trạng. Nhận xét nào sau đây là sai?
- F2 thu được số kiểu gen nhiều hơn số kiểu hình.
- Các cặp tính trạng di truyền liên kết hoàn toàn.
- F2 thu được tỉ lệ kiểu hình giống tỉ lệ kiểu gen.
- Kiểu gen của F1 là dị hợp chéo
Đáp án:
Lai hai tính trạng → tỉ lệ phân li kiểu hình 1: 2 :1 → Hai tính trạng này liên kết hoàn toàn với nhau và cùng nằm trên 1 NST.
Vì hoa vàng, cánh thẳng × đậu hoa tím, cánh cuốn → Tím thẳng
→ A - Tím >> a - vàng, B - thẳng >> b - cuốn
→ F1 có kiểu gen dị hợp không đều
→
→ Tỉ lệ kiểu gen giống tỉ lệ kiểu hình.
Đáp án cần chọn là: A
Câu 19: Cá thể có kiểu gen Dd
tạo ra mấy loại giao tử:
- 4
- 8
- 2
- 16
Đáp án:
Dd cho 2 loại giao tử
Ab/aB cho 2 loại giao tử
→ số loại giao tử mà cá thể cho là 2.2 = 4
Đáp án cần chọn là: A
Câu 20: Kiểu gen AaBB
khi giảm phân cho được bao nhiêu loại giao tử nếu gen liên kết hoàn toàn?
- 2
- 4
- 8
- 16
Đáp án:
AaBB cho 2 loại giao tử
DE/de cho 2 loại giao tử
→ số loại giao tử mà cá thể cho là 2.2 = 4
Đáp án cần chọn là: B
B/ HOÁN VỊ GEN (DI TRUYỀN LIÊN KẾT KHÔNG HOÀN TOÀN)
Câu 1: Nhận định nào dưới đây về tần số hoán vị gen không đúng?
- Được sử dụng để lập bản đồ gen.
- Thể hiện lực liên kết giữa các gen
- Tỉ lệ nghịch với khoảng cách giữa các gen
- Không vượt quá 50%
Đáp án:
Hoán vị gen tỉ lệ thuận với khoảng cách giữa các gen. Các gen càng xa nhau thì lực liên kết giữa các gen càng yếu, dễ dàng xảy ra sự hoán vị gen
Đáp án cần chọn là: C
Câu 2: Đặc điểm nào dưới đây không phải là đặc điểm của tần số hoán vị gen?
- Tần số hoán vị gen được sử dụng làm cơ sở để lập bản đồ gen của nhiễm sắc thể
- Các gen trên nhiễm sắc thể có tần số hoán vị gen không vượt quá 50%.
- Tần số hoán vị gen thể hiện lực liên kết giữa các gen trên nhiễm sắc thể.
- Tần số hoán vị gen tỉ lệ nghịch với khoảng cách giữa các gen trên nhiễm sắc thể.
Đáp án:
Hoán vị gen tỉ lệ thuận với khoảng cách giữa các gen. Các gen càng xa nhau thì lực liên kết giữa các gen càng yếu, dễ dàng xảy ra sự hoán vị gen.
Đáp án cần chọn là: D
Câu 3: Nhận định nào sau đây là chính xác khi nói về quy luật di truyền liên kết không hoàn toàn?
- Các gen càng gần nhau càng dễ xảy ra trao đổi dẫn tới hiện tượng hoán vị gen và ngược lại
- Tùy loài mà hoán vị gen chỉ xảy ra ở giới đực, hay giới cái hoặc cả hai giới
- Quá trình tiếp hợp trao đổi chéo xảy ra giữa hai cromatit chị em của nhiễm sắc thể kép
- Quá trình tiếp hợp trao đổi chéo xảy ra ở kỳ giữa của giảm phân I.
Đáp án:
Các gen càng gần thì càng khó xảy ra trao đổi chéo.
Quá trình tiếp hợp xảy ra giữa 2 cromatit của 2 NST khác nguồn trong cặp tương đồng, ở kì đầu giảm phân I
Đáp án cần chọn là: B
Câu 4: Trong số các phát biểu về vấn đề hoán vị duới đây, phát biểu nào không chính xác?
- Hoán vị gen làm tăng biến dị tổ hợp
- Ở tất cả các loài sinh vật, hoán vị gen chi xảy ra ở giới cái mả không xảy ra ở giới đực.
- Tần số hoán vị gen phản ánh khoảng cách tương đối giữa các gen trên nhiễm sắc thể.
- Tần số hoán vị gen không vượt quá 50%.
Đáp án:
Hoán vị gen có thể xảy ra ở 1 bên (VD: ruồi giấm ở giới cái) hoặc 2 bên → B sai
Đáp án cần chọn là: B
Câu 5: Nhận định nào sau đây không đúng về hoán vị gen:
- Các gen phân bố ở vị trí xa nhau trên 1 NST dễ xảy ra hoán vị gen
- Hoán vị gen chỉ xảy ra ở giới cái mà không xảy ra ở giới đực
- Tần số hoán vị gen dao động từ 0% → 50%
- Hoán vị gen làm xuất hiện các biến dị tổ hợp
Đáp án:
Hoán vị gen có thể xảy ra ở cả giới đực và giới cái. Chỉ ở 1 số loài hoán vị gen không xảy ra ở cả 2 giới như ruồi giấm (đực không hoán vị), ong.
Đáp án cần chọn là: B
Câu 6: Khi nói về hoán vị gen (HVG), phát biểu nào sau đây sai?
- HVG có thể xảy ra ở cả hai giới
- HVG làm giảm biến dị tổ hợp.
- Ruồi giấm đực không xảy ra HVG.
- Tần số HVG không vượt quá 50%.
Đáp án:
Phát biểu sai về HVG là B, HVG làm tăng xuất hiện biến dị tổ hợp.
Đáp án cần chọn là: B
Câu 7: Để xác định tần số hoán vị gen, người ta thường làm như thế nào?
- Phân tích di truyền giống lai
- Tiến hành tự thụ phấn hoặc giao phối cận huyết.
- Lai phân tích
- Lai thuận nghịch
Đáp án:
Tiến hành tự thụ phấn hoặc giao phối cận huyết khi muốn tạo dòng thuần.
Lai phân tích để xác định có thể có kiểu gen đồng hợp hay dị hợp, xác định tần số hoán vị gen (khi cá thể có hiện tuợng hoán vị gen).
Lai thuận nghịch để xác định vị trí gen trong tế bào (gen nằm trên NST thường hoặc trên NST giới tính, gen nằm trong nhân hay ngoài tế bào chất)
Đáp án cần chọn là: C
Câu 8: Sau khi lai ruồi giấm thuần chủng thân xám cánh dài với thân đen cánh cụt được F1 thì Morgan đã thí nghiệm tiếp thế nào để phát hiện hoán vị gen ?
- Lai phân tích ruồi cái F1
- Lai phân tích ruồi đực P
- Lai phân tích ruồi đực F1
- Lai phân tích ruồi cái P
Đáp án:
Sau khi lai ruồi giấm thuần chủng thân xám cánh dài với thân đen cánh cụt được F1 thì Morgan đã lai phân tích ruồi cái F1 để phát hiện hoán vị gen
Đáp án cần chọn là: A
Câu 9: Hiện tượng di truyền liên kết gen hoàn toàn không có ý nghĩa:
- Hạn chế sự xuất hiện biến dị tổ hợp.
- Lập bản đồ di truyền
- Đảm bảo sự di truyền bền vững của từng nhóm tính trạng.
- Giúp duy trì sự di truyền ổn định của các nhóm tính trạng tốt do các gen di truyền liên kết hoàn toàn quy định
Đáp án:
Hoán vị gen mới có ý nghĩa trong lập bản đồ di truyền.
Liên kết hoàn toàn giúp bảo đảm sự di truyền bền vững, duy trì tính ổn định và hạn chế sự xuất hiện của biến dị tổ hợp
Đáp án cần chọn là: B
Câu 10: Hiện tượng hoán vị gen có ý nghĩa:
- Tăng cường sự xuất hiện biến dị tổ hợp.
- Lập bản đồ di truyền.
- Giúp duy trì sự di truyền ổn định của các nhóm tính trạng tốt.
- Cả A và B
Đáp án:
Hoán vị gen mới có ý nghĩa trong lập bản đồ di truyền.
Liên kết hoàn toàn giúp bảo đảm sự di truyền bền vững, duy trì tính ổn định và hạn chế sự xuất hiện của biến dị tổ hợp.
Đáp án cần chọn là: D
Câu 11: Hoán vị gen xảy ra trong giảm phân là do:
- Sự trao đổi chéo giữa hai cromatit trong cùng một nhiễm sắc thể kép.
- Sự phân li độc lập và tổ hợp tự do của các NST khác nhau.
- Sự trao đổi chéo giữa hai cromatit khác nguồn trong cặp NST kép tương đồng
- Sự trao đổi đoạn giữa hai cromatit thuộc các NST không tương đồng.
Đáp án:
Hoán vị gen là hiện tượng xảy ra sự trao đổi chéo giữa hai cromatit khác nguồn trong cặp NST kép tương đồng
Đáp án cần chọn là: C
Câu 12: Cơ sở tế bào học của hiện tượng hoán vị gen là:
- Trao đổi chéo giữa 2 crômatit “không chị em” trong cặp NST tương đồng ở kì đầu giảm phân I.
- Trao đổi đoạn tương ứng giữa 2 crômatit cùng nguồn gốc ở kì đầu của giảm phân I.
- Tiếp hợp giữa các nhiễm sắc thể tương đồng tại kì đầu của giảm phân I.
- Tiếp hợp giữa 2 crômatit cùng nguồn gốc ở kì đầu của giảm phân I.
Đáp án:
Cơ sở tế bào học của hiện tượng hoán vị gen là sự trao đổi chéo giữa 2 crômatit “không chị em” trong cặp NST tương đồng ở kì đầu giảm phân I.
Đáp án cần chọn là: A
Câu 13: Hiện tượng hoán vị gen làm tăng tính đa dạng ở các loài giao phối vì:
- Đời lai luôn luôn xuất hiện số loại kiểu hình nhiều và khác so với bố mẹ.
- Giảm phân tạo nhiều giao tử, khi thụ tinh tạo nhiều tổ hợp kiểu gen, biểu hiện thành nhiều kiểu hình.
- Trong trong quá trình phát sinh giao tử, tần số hoán vị gen có thể đạt tới 50%.
- Tất cả các NST đều xảy ra tiếp hợp và trao đổi chéo các đoạn tương ứng.
Đáp án:
Hiện tượng hoán vị gen làm tăng tính đa dạng ở các loài giao phối vì giảm phân tạo nhiều giao tử, khi thụ tinh tạo nhiều tổ hợp kiểu gen, biểu hiện thành nhiều kiểu hình.
Đáp án cần chọn là: B
Câu 14: Ở một loài thực vật, gen A quy định thân cao trội hoàn toàn so với gen a quy định thân thấp, gen B quy định hoa đỏ trội hoàn toàn so với gen b quy định hoa trắng. Lai cây thân cao, hoa đỏ với cây thân thấp, hoa trắng thu được F1 phân li theo tỉ lệ: 37,5% cây thân cao, hoa trắng : 37,5% cây thân thấp, hoa đỏ : 12,5% cây thân cao, hoa đỏ : 12,5% cây thân thấp, hoa trắng. Cho biết không có đột biến xảy ra. Hai tính trạng này di truyền theo quy luật nào?
- Phân ly độc lập
- Liên kết gen
- Hoán vị gen
- Tương tác gen
Đáp án:
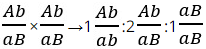
Phép lai phân tích cho tỷ lệ kiểu hình 3:3:1:1 → 2 gen cùng nằm trên 1NST và có hoán vị gen với tần số 25%.
Kiểu gen của cây F1:
Đáp án cần chọn là: C
Câu 15: Lai hai cá thể đều dị hơp về 2 cặp gen (Aa và Bb). Trong tổng số các cá thể thu được ở đời con, số cá thể có kiểu gen đồng hợp lặn về cả 2 cặp gen trên chiếm tỉ lệ 4%. Biết 2 cặp gen này cùng nằm trên một cặp nhiễm sắc thể thường và không có đột biến xảy ra. Kết luận này sau đây về kết quả của phép lai trên là không đúng?
- Hoán vị gen đã xảy ra ở cả bố và mẹ với tần số 40%.
- Hoán vị gen chỉ xảy ra ở bố hoặc mẹ với tần số 16%.
- Hoán vị gen đã xảy ra ở cả bố và mẹ với tần số 16%.
- Hoán vị gen đã xảy ra ở cả bố và mẹ với tần số 20%.
Đáp án:
Ta có cá thể đồng hợp lặn hai kiểu gen có: 0,04 = 0,4 ab x 0,1ab = 0,2 ab x 0,2 ab = 0,5 ab x 0,08 ab
TH1 : 0,4 ab x 0,1 ab => P có kiểu gen AB/ab x Ab/aB => hoán vị 20 %
TH2 : 0,2 ab x 0,2 ab => P Ab/aB x Ab/aB => Hoán vị hai bên 40%
TH3 : 0,5 ab x 0,08 ab => P : AB/ab x Ab/aB => hoán vị 1 bên tần số hoán vị là 16%
Đáp án cần chọn là: C
Câu 16: Cho cây hoa đỏ quả tròn (P) tự thụ phấn, người ta thu được đời con có tỉ lệ phân ly kiểu hình là 1530 hoa đỏ, quả tròn : 720 hoa đỏ quả dài : 721 hoa trắng quả tròn : 30 hoa trắng quả dài. Từ kết quả của phép lai này kết luận nào được rút ra ở thế P là đúng?
- Alen quy định màu hoa đỏ và alen quy định quả dài liên kết không hoàn toàn
- Alen quy định màu hoa đỏ và alen quy định quả dài thuộc cùng 1 NST
- Alen quy định màu hoa đỏ và alen quy định quả tròn liên kết không hoàn toàn
- Alen quy định màu hoa đỏ và alen quy định quả tròn thuộc cùng 1 NST
Đáp án:
Tỷ lệ đỏ: trắng = 3:1; tròn: dài= 3:1 → P dị hợp 2 cặp gen.
Ta có phân ly kiểu hình ở F1 ≠ 9:3:3:1 → hai gen quy định tính trạng cùng nămg trên 1 NST
Quy ước gen: A: hoa đỏ, a: hoa trắng
B: quả tròn ; b: quả dài.
Ta có ở F1:
= 0.1 < 25% P dị hợp đối. AbaBAbaB hay gen alen quy định hoa đỏ với alen quả dài cùng nằm trên 1 NST
Đáp án cần chọn là: B
Câu 17: Ở một loài thực vật, alen A quy định hoa tím trội hoàn toàn so với alen a quy định hoa đỏ; alen B quy định quả dài trội hoàn toàn so với alen b quy định quả tròn. Hai gen này nằm trên nhiễm sắc thể thường. Cho lai hai dòng thuần chủng có kiểu gen khác nhau thu được F1. Cho F1 giao phấn với nhau, F2 phân li kiểu hình theo tỉ lệ 25% cây hoa tím, quả tròn : 50% cây hoa tím, quả dài : 25% cây hoa đỏ, quả dài. Có bao nhiêu kết luận sau đây là phù hợp với kết quả trên?
(1) F1 có kiểu gen
, hoán vị gen xảy ra ở một bên với tần số 20%.
(2) F1 có kiểu gen
, hai gen liên kết hoàn toàn.
(3) F1 có kiểu gen
, hoán vị gen xảy ra cả hai bên.
(4) F1 có kiểu gen
, hoán vị gen xảy ra ở một bên với tần số 25%.
(5) F1 có kiểu gen
, liên kết hoàn toàn.
- 2
- 1
- 3
- 4
Đáp án:
- Ở F2:
+ Tím/đỏ = 3/1 → F1: Aa x Aa.
+ Dài/tròn = 3/1 → F1: Bb x Bb.
+ aa, bb = 0 → F1 dị chéo: Ab/aB.
- Ở F2 có tỉ lệ kiểu hình 1A-,bb: 2A-,B-:1aa,B- (kiểu hình aa,bb không xuất hiện)
→ F1 giao phấn với nhau: Ab/aB (f= 0) x Ab/aB (0 ≤ f bất kì ≤ 50%).
=> (1) và (2) đúng.
Đáp án cần chọn là: A
Câu 18: Trong quá trình giảm phân, một tế bào sinh tinh ở cơ thể có kiểu gen AB/ab đã xảy ra hoán vị giữa alen A và a. Cho biết không có đột biến xảy ra, tính theo lí thuyết, số loại giao tử và tỉ lệ từng loại giao tử được tạo ra từ quá trình giảm phân của tế bào trên là
- 2 loại với tỉ lệ phụ thuộc vào tần số hoán vị gen.
- 4 loại với tỉ lệ phụ thuộc vào tần số hoán vị gen
- 2 loại với tỉ lệ 1: 1.
- 4 loại với tỉ lệ 1: 1: 1: 1.
Đáp án:
1 tế bào giảm phân có hoán vị chỉ cho 4 loại giao tử với tỉ lệ ngang nhau: 1:1:1:1
Còn cơ thể có kiểu gen AB/ab sẽ có nhiều tế bào giảm phân mới cho 4 loại giao tử tỉ lệ phụ thuộc vào tần số hoán vị gen.
Đáp án cần chọn là: D
Câu 19: Một cơ thể có kiểu gen
khi giảm phân có trao đổi chéo xảy ra có thể cho tối đa mấy loại giao tử?
- 8
- 4
- 16
- 2
Đáp án:
Một cơ thể:
giảm phân có trao đổi chéo tạo ra 4 loại giao tử: AD = ad = Ad = aD
Bb giảm phân cho 2 loại giao tử
Vậy tổng cộng giảm phân cho 4 x 2 = 8 loại giao tử
Đáp án cần chọn là: A
Câu 20: Một tế bào có kiểu gen
khi giảm phân thưc tế cho mấy loai tinh trùng?
- 8
- 1
- 2
- 4
Đáp án:
Một tế bào có kiểu gen
khi giảm phân sẽ cho 4 loại tinh trùng (HVG) hoặc 2 loại (không có HVG).
Đáp án cần chọn là: D
C. Giải bài tập sgk
Xem thêm các bài học Sinh học lớp 12 đầy đủ, chi tiết khác:
- Sinh học 12 Bài 12: Di truyền liên kết với giới tính và di truyền ngoài nhân
- Sinh học 12 Bài 13: Ảnh hưởng của môi trường lên sự biểu hiện của gen
- Sinh học 12 Bài 16: Cấu trúc di truyền của quần thể
- Sinh học 12 Bài 17: Cấu trúc di truyền của quần thể (tiếp theo)
- Sinh học 12 Bài 18: Chọn giống vật nuôi và cây trồng dựa trên nguồn biến dị tổ hợp
Đã có app VietJack trên điện thoại, giải bài tập SGK, SBT Soạn văn, Văn mẫu, Thi online, Bài giảng....miễn phí. Tải ngay ứng dụng trên Android và iOS.
Theo dõi chúng tôi miễn phí trên mạng xã hội facebook và youtube:Nếu thấy hay, hãy động viên và chia sẻ nhé! Các bình luận không phù hợp với nội quy bình luận trang web sẽ bị cấm bình luận vĩnh viễn.
- Giải Tiếng Anh 12 Global Success
- Giải sgk Tiếng Anh 12 Smart World
- Giải sgk Tiếng Anh 12 Friends Global
- Lớp 12 Kết nối tri thức
- Soạn văn 12 (hay nhất) - KNTT
- Soạn văn 12 (ngắn nhất) - KNTT
- Giải sgk Toán 12 - KNTT
- Giải sgk Vật Lí 12 - KNTT
- Giải sgk Hóa học 12 - KNTT
- Giải sgk Sinh học 12 - KNTT
- Giải sgk Lịch Sử 12 - KNTT
- Giải sgk Địa Lí 12 - KNTT
- Giải sgk Giáo dục KTPL 12 - KNTT
- Giải sgk Tin học 12 - KNTT
- Giải sgk Công nghệ 12 - KNTT
- Giải sgk Hoạt động trải nghiệm 12 - KNTT
- Giải sgk Giáo dục quốc phòng 12 - KNTT
- Giải sgk Âm nhạc 12 - KNTT
- Giải sgk Mĩ thuật 12 - KNTT
- Lớp 12 Chân trời sáng tạo
- Soạn văn 12 (hay nhất) - CTST
- Soạn văn 12 (ngắn nhất) - CTST
- Giải sgk Toán 12 - CTST
- Giải sgk Vật Lí 12 - CTST
- Giải sgk Hóa học 12 - CTST
- Giải sgk Sinh học 12 - CTST
- Giải sgk Lịch Sử 12 - CTST
- Giải sgk Địa Lí 12 - CTST
- Giải sgk Giáo dục KTPL 12 - CTST
- Giải sgk Tin học 12 - CTST
- Giải sgk Hoạt động trải nghiệm 12 - CTST
- Giải sgk Âm nhạc 12 - CTST
- Lớp 12 Cánh diều
- Soạn văn 12 Cánh diều (hay nhất)
- Soạn văn 12 Cánh diều (ngắn nhất)
- Giải sgk Toán 12 Cánh diều
- Giải sgk Vật Lí 12 - Cánh diều
- Giải sgk Hóa học 12 - Cánh diều
- Giải sgk Sinh học 12 - Cánh diều
- Giải sgk Lịch Sử 12 - Cánh diều
- Giải sgk Địa Lí 12 - Cánh diều
- Giải sgk Giáo dục KTPL 12 - Cánh diều
- Giải sgk Tin học 12 - Cánh diều
- Giải sgk Công nghệ 12 - Cánh diều
- Giải sgk Hoạt động trải nghiệm 12 - Cánh diều
- Giải sgk Giáo dục quốc phòng 12 - Cánh diều
- Giải sgk Âm nhạc 12 - Cánh diều


Giải bài tập SGK & SBT
Tài liệu giáo viên
Sách
Khóa học
Thi online
Hỏi đáp

