Bài 6 trang 25 sgk Tin học 8
Bài 3: Chương trình máy tính và dữ liệu
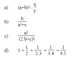
Bài 6 (trang 25 sgk Tin học lớp 8): Chuyển các biểu thức được viết trong Pascal sau đây thành các biểu thức toán:
Trả lời:
Các bài giải bài tập và trả lời câu hỏi Tin học 8 Bài 3 khác:
Bài 1 (trang 24 sgk Tin học lớp 8): Hãy nêu ít nhất hai kiểu dữ liệu và một phép toán có thể thực...
Bài 2 (trang 24 sgk Tin học lớp 8): Dãy chữ số 2017 có thể thuộc những kiểu dữ liệu nào...
Bài 3 (trang 24 sgk Tin học lớp 8): Cho hai xâu kí tự “Lớp” và “8A”. Hãy thử định nghĩa...
Bài 4 (trang 25 sgk Tin học lớp 8): Hãy phân biệt ý nghĩa của các câu lệnh Pascal sau đây...
Bài 5 (trang 25 sgk Tin học lớp 8): Viết các biểu thức toán dưới đây với các ký hiệu trong Pascal...
Bài 6 (trang 25 sgk Tin học lớp 8): Chuyển các biểu thức được viết trong Pascal sau đây thành...
Bài 7 (trang 25 sgk Tin học lớp 8): Hãy xác định kết quả của các phép so sánh sau đây...
Bài 8 (trang 25 sgk Tin học lớp 8): Viết các biểu thức ở bài tập 7 theo quy ước của Pascal...
Xem thêm các loạt bài Để học tốt Tin học 8 hay khác:
Tủ sách VIETJACK shopee lớp 6-8 (2025):
Đã có app VietJack trên điện thoại, giải bài tập SGK, SBT Soạn văn, Văn mẫu, Thi online, Bài giảng....miễn phí. Tải ngay ứng dụng trên Android và iOS.
Theo dõi chúng tôi miễn phí trên mạng xã hội facebook và youtube:Loạt bài Giải bài tập Tin học 8 | Soạn Tin học lớp 8 | Trả lời câu hỏi Tin học 8 của chúng tôi được biên soạn bám sát nội dung sgk Tin học lớp 8.
Nếu thấy hay, hãy động viên và chia sẻ nhé! Các bình luận không phù hợp với nội quy bình luận trang web sẽ bị cấm bình luận vĩnh viễn.
- Giải Tiếng Anh 8 Global Success
- Giải sgk Tiếng Anh 8 Smart World
- Giải sgk Tiếng Anh 8 Friends plus
- Lớp 8 - Kết nối tri thức
- Soạn văn 8 (hay nhất) - KNTT
- Soạn văn 8 (ngắn nhất) KNTT
- Giải sgk Toán 8 - KNTT
- Giải sgk Khoa học tự nhiên 8 - KNTT
- Giải sgk Lịch Sử 8 - KNTT
- Giải sgk Địa Lí 8 - KNTT
- Giải sgk Giáo dục công dân 8 - KNTT
- Giải sgk Tin học 8 - KNTT
- Giải sgk Công nghệ 8 - KNTT
- Giải sgk Hoạt động trải nghiệm 8 - KNTT
- Giải sgk Âm nhạc 8 - KNTT
- Lớp 8 - Chân trời sáng tạo
- Soạn văn 8 (hay nhất) - CTST
- Soạn văn 8 (ngắn nhất) - CTST
- Giải sgk Toán 8 - CTST
- Giải sgk Khoa học tự nhiên 8 - CTST
- Giải sgk Lịch Sử 8 - CTST
- Giải sgk Địa Lí 8 - CTST
- Giải sgk Giáo dục công dân 8 - CTST
- Giải sgk Tin học 8 - CTST
- Giải sgk Công nghệ 8 - CTST
- Giải sgk Hoạt động trải nghiệm 8 - CTST
- Giải sgk Âm nhạc 8 - CTST
- Lớp 8 - Cánh diều
- Soạn văn 8 Cánh diều (hay nhất)
- Soạn văn 8 Cánh diều (ngắn nhất)
- Giải sgk Toán 8 - Cánh diều
- Giải sgk Khoa học tự nhiên 8 - Cánh diều
- Giải sgk Lịch Sử 8 - Cánh diều
- Giải sgk Địa Lí 8 - Cánh diều
- Giải sgk Giáo dục công dân 8 - Cánh diều
- Giải sgk Tin học 8 - Cánh diều
- Giải sgk Công nghệ 8 - Cánh diều
- Giải sgk Hoạt động trải nghiệm 8 - Cánh diều
- Giải sgk Âm nhạc 8 - Cánh diều


Giải bài tập SGK & SBT
Tài liệu giáo viên
Sách
Khóa học
Thi online
Hỏi đáp

