Giải Toán lớp 2 trang 96 Luyện tập
Giải Toán lớp 2 trang 96 Luyện tập
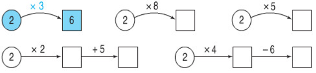
Bài 1 (trang 96 sgk Toán 2)
Số ?
Phương pháp giải
- Nhẩm lại bảng nhân 2 rồi điền kết quả vào chỗ trống.
- Nhẩm kết quả phép nhân 2 rồi thực hiện phép tính cộng hoặc trừ tiếp theo.
Lời giải chi tiết:
Bài 2 (trang 96 sgk Toán 2)
Tính (theo mẫu):
2cm x 3 = 6cm 2kg x 4 =
2cm x 5 = 2kg x 6 =
2dm x 8 = 2kg x 9 =
Phương pháp giải
Nhân hai số như bình thường rồi viết đơn vị đo vào kết quả vừa tìm được.
Lời giải chi tiết:
2cm x 3 = 6cm 2kg x 4 = 8kg
2cm x 5 = 10cm 2kg x 6 = 12kg
2dm x 8 = 16cm 2kg x 9 = 18kg
Bài 3 (trang 96 sgk Toán 2)
Mỗi xe đạp có hai bánh xe. Hỏi 8 xe đạp có bao nhiêu bánh xe ?
Phương pháp giải
Tóm tắt :
1 xe: 2 bánh xe
8 xe: ? bánh xe
Muốn tìm đáp án ta lấy số bánh xe của một xe nhân với 8.
Lời giải chi tiết:
Số bánh xe của 8 xe đạp là:
2 x 8 = 16 (bánh xe)
Đáp số: 16 bánh xe.
Bài 4 (trang 96 sgk Toán 2)
Viết số thích hợp vào ô trống (theo mẫu):
Phương pháp giải
Lấy 2 nhân với từng số của hàng ngang thứ nhất rồi viết kết quả vào ô tương ứng ở hàng ngang thứ hai.
Lời giải chi tiết:
Bài 5 (trang 96 sgk Toán 2)
Viết số thích hợp vào ô trống (theo mẫu):
Phương pháp giải
Nhẩm bảng nhân 2 rồi điền kết quả vào ô trống thích hợp.
Lời giải chi tiết:
Xem thêm các Giải bài tập Toán lớp 2 hay và chi tiết khác:
- Bảng nhân 3 (trang 97)
- Luyện tập trang 98
- Bảng nhân 4 (trang 99)
- Luyện tập trang 100
- Bảng nhân 5 (trang 101)
Đã có app VietJack trên điện thoại, giải bài tập SGK, SBT Soạn văn, Văn mẫu, Thi online, Bài giảng....miễn phí. Tải ngay ứng dụng trên Android và iOS.
Theo dõi chúng tôi miễn phí trên mạng xã hội facebook và youtube:Loạt bài Giải bài tập Toán lớp 2 hay và chi tiết của chúng tôi được biên soạn bám sát nội dung sách giáo khoa Toán lớp 2.
Nếu thấy hay, hãy động viên và chia sẻ nhé! Các bình luận không phù hợp với nội quy bình luận trang web sẽ bị cấm bình luận vĩnh viễn.
- Lớp 2 - Kết nối tri thức
- Giải bài tập sgk Tiếng Việt lớp 2
- Giải Vở bài tập Tiếng Việt lớp 2
- Giải bài tập sgk Toán lớp 2
- Giải vở bài tập Toán lớp 2
- Giải bài tập sgk Tiếng Anh lớp 2
- Giải bài tập sgk Tự nhiên & Xã hội lớp 2
- Giải bài tập sgk Đạo Đức lớp 2
- Giải Vở bài tập Đạo Đức lớp 2
- Giải bài tập sgk Hoạt động trải nghiệm lớp 2
- Giải Vở bài tập Hoạt động trải nghiệm lớp 2
- Giải bài tập sgk Âm nhạc lớp 2
- Lớp 2 - Cánh diều
- Giải bài tập sgk Tiếng Việt lớp 2
- Giải bài tập sgk Toán lớp 2
- Giải bài tập Hoạt động trải nghiệm lớp 2
- Giải bài tập sgk Tự nhiên & Xã hội lớp 2
- Giải bài tập sgk Âm nhạc lớp 2
- Lớp 2 - Chân trời sáng tạo
- Giải bài tập Tiếng Việt lớp 2
- Giải Vở bài tập Tiếng Việt lớp 2
- Giải bài tập sgk Toán lớp 2
- Giải Vở bài tập Toán lớp 2
- Giải bài tập sgk Tự nhiên & Xã hội lớp 2
- Giải bài tập sgk Đạo Đức lớp 2
- Giải Vở bài tập Đạo Đức lớp 2
- Giải bài tập sgk Âm nhạc lớp 2


Giải bài tập SGK & SBT
Tài liệu giáo viên
Sách
Khóa học
Thi online
Hỏi đáp

