Giải bài tập Toán lớp 7 Luyện tập trang 45
Giải bài tập Toán lớp 7 Luyện tập trang 45
Bài 91 trang 45 sgk Toán lớp 7 Tập 1: Điền chữ số thích hợp vào ô vuông:
Lời giải:
Bài 92 trang 45 sgk Toán lớp 7 Tập 1: Sắp xếp các số thực:
a) Theo thứ tự từ nhỏ đến lớn.
b) Theo thứ tự từ nhỏ đến lớn các giá trị tuyệt đối của chúng.
Lời giải:
a) Dãy số sắp xếp theo thứ tự từ nhỏ đến lớn.
b) Ta có
Bài 93 trang 45 sgk Toán lớp 7 Tập 1: Tìm x biết:
a) 3,2x + (-1,2)x + 2,7 = -4,9
b) (-5,6)x + 2,9x - 3,86 = -9,8
Lời giải:
a) 3,2.x+(-1,2).x+2,7= -4,9
3,2.x + (-1,2).x = -4,9 – 2,7
3,2.x + (-1,2).x = -7,6
[3,2 + (-1,2)].x = -7,6
2x = -7,6
x = -7,6 : 2
x = -3,8.
Vậy x = -3,8.
b) (-5,6).x + 2,9.x - 3,86 = -9,8
(-5,6).x + 2,9.x = -9,8 + 3,86
(-5,6).x + 2,9.x = -5,94
[(-5,6) + 2,9].x = -5,94
-2,7.x = -5,94
x = -5,94: (-2,7)
x = 2,2
Vậy x = 2,2.
Bài 94 trang 45 sgk Toán lớp 7 Tập 1: Hãy tìm các tập hợp:
a) Q ∩ I ; b) R ∩ I
Lời giải:
a)Theo định nghĩa tập số hữu tỉ là tập hợp các số có thể viết dưới dạng phân số. Hay số hữu tỉ gồm các số thập phân hữu hạn và các số thập phân vô hạn tuần hoàn. Số vô tỉ là tập hợp gồm các số thập phân vô hạn không tuần hoàn
Do đó Q ∩ I = ∅
b)Tập số thực bao gồm số hữu tỉ và số vô tỉ
Do đó R ∩ I = I
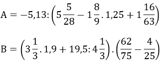
Bài 95 trang 45 sgk Toán lớp 7 Tập 1: Tính giá trị biểu thức:
Lời giải:
Xem thêm Video Giải bài tập Toán lớp 7 hay và chi tiết khác:
- Ôn tập chương 1 (Câu hỏi - Bài tập)
- Bài 1: Đại lượng tỉ tệ thuận
- Bài 2: Một số bài toán về đại lượng tỉ lệ thuận
- Luyện tập trang 56
- Bài 3: Đại lượng tỉ lệ nghịch
Lời giải bài tập lớp 7 sách mới:
- Giải bài tập Lớp 7 Kết nối tri thức
- Giải bài tập Lớp 7 Chân trời sáng tạo
- Giải bài tập Lớp 7 Cánh diều
Tủ sách VIETJACK shopee lớp 6-8 (2025):
Đã có app VietJack trên điện thoại, giải bài tập SGK, SBT Soạn văn, Văn mẫu, Thi online, Bài giảng....miễn phí. Tải ngay ứng dụng trên Android và iOS.
Theo dõi chúng tôi miễn phí trên mạng xã hội facebook và youtube:Loạt bài Video Giải bài tập Toán lớp 7 hay, chi tiết của chúng tôi được biên soạn bám sát sách giáo khoa Toán 7 Tập 1, Tập 2.
Nếu thấy hay, hãy động viên và chia sẻ nhé! Các bình luận không phù hợp với nội quy bình luận trang web sẽ bị cấm bình luận vĩnh viễn.
- Giải Tiếng Anh 7 Global Success
- Giải Tiếng Anh 7 Friends plus
- Giải sgk Tiếng Anh 7 Smart World
- Giải Tiếng Anh 7 Explore English
- Lớp 7 - Kết nối tri thức
- Soạn văn 7 (hay nhất) - KNTT
- Soạn văn 7 (ngắn nhất) - KNTT
- Giải sgk Toán 7 - KNTT
- Giải sgk Khoa học tự nhiên 7 - KNTT
- Giải sgk Lịch Sử 7 - KNTT
- Giải sgk Địa Lí 7 - KNTT
- Giải sgk Giáo dục công dân 7 - KNTT
- Giải sgk Tin học 7 - KNTT
- Giải sgk Công nghệ 7 - KNTT
- Giải sgk Hoạt động trải nghiệm 7 - KNTT
- Giải sgk Âm nhạc 7 - KNTT
- Lớp 7 - Chân trời sáng tạo
- Soạn văn 7 (hay nhất) - CTST
- Soạn văn 7 (ngắn nhất) - CTST
- Giải sgk Toán 7 - CTST
- Giải sgk Khoa học tự nhiên 7 - CTST
- Giải sgk Lịch Sử 7 - CTST
- Giải sgk Địa Lí 7 - CTST
- Giải sgk Giáo dục công dân 7 - CTST
- Giải sgk Công nghệ 7 - CTST
- Giải sgk Tin học 7 - CTST
- Giải sgk Hoạt động trải nghiệm 7 - CTST
- Giải sgk Âm nhạc 7 - CTST
- Lớp 7 - Cánh diều
- Soạn văn 7 (hay nhất) - Cánh diều
- Soạn văn 7 (ngắn nhất) - Cánh diều
- Giải sgk Toán 7 - Cánh diều
- Giải sgk Khoa học tự nhiên 7 - Cánh diều
- Giải sgk Lịch Sử 7 - Cánh diều
- Giải sgk Địa Lí 7 - Cánh diều
- Giải sgk Giáo dục công dân 7 - Cánh diều
- Giải sgk Công nghệ 7 - Cánh diều
- Giải sgk Tin học 7 - Cánh diều
- Giải sgk Hoạt động trải nghiệm 7 - Cánh diều
- Giải sgk Âm nhạc 7 - Cánh diều


Giải bài tập SGK & SBT
Tài liệu giáo viên
Sách
Khóa học
Thi online
Hỏi đáp

