Toán 7 Ôn tập chương 1 (Câu hỏi - Bài tập)
Toán 7 Ôn tập chương 1 (Câu hỏi - Bài tập)
Lời giải
- Ba cách viết số hữu tỉ
là:
- Biểu diễn số hữu tỉ
trên trục số:
Chia đoạn thẳng đơn vị (đoạn từ điểm 0 đến điểm –1 ) thành năm phần bằng nhau, lấy một đoạn làm đơn vị mới thì đơn vị mới bằng 1/5 đơn vị cũ.
⇒ Số hữu tỉ
được biểu diễn bởi điểm M nằm bên trái điểm 0 và cách điểm 0 một đoạn bằng 3 đơn vị mới.
Số hữu tỉ nào không là số hữu tỉ dương cũng không là số hữu tỉ âm ?
Lời giải
- Số hữu tỉ lớn hơn 0 gọi là số hữu tỉ dương
Số hữu tỉ nhỏ hơn 0 gọi là số hữu tỉ âm
- Số 0 không là số hữu tỉ dương cũng không là số hữu tỉ âm
Lời giải
Giá trị tuyệt đối của số hữu tỉ x, kí hiệu |x|, là khoảng cách từ điểm x tới điểm 0 trên trục số.
Lời giải
Lũy thừa bậc n của một số hữu tỉ x, kí hiệu x n , là tích của n thừa số x (n là một số tự nhiên lớn hơn 1)
Câu hỏi ôn tập chương 1 Đại Số trang 46 sgk Toán lớp 7 Tập 1 : 5. Viết công thức :
- Nhân hai lũy thừa cùng cơ số.
- Chia hai lũy thừa cùng cơ số khác 0.
- Lũy thừa của một lũy thừa.
- Lũy thừa của một tích.
- Lũy thừa của một thương.
Lời giải
- Nhân hai lũy thừa cùng cơ số: x m . x n = x (m+n)
- Chia hai lũy thừa cùng cơ số khác 0: x m : x n = x (m-n) (x ≠ 0; m ≥ n)
- Lũy thừa của một lũy thừa: (x m ) n = x (m.n)
- Lũy thừa của một tích: (x.y) n = x n . y n
- Lũy thừa của một thương:
Lời giải
Thương của phép chia số hữu tỉ x cho số hữu tỉ y (y ≠ 0) gọi là tỉ số của hai số x và y, kí hiệu là
hay x : y
Ví dụ:
Lời giải
- Tỉ lệ thức là đẳng thức của hai tỉ số:
- Tính chất cơ bản của tỉ lệ thức:
Nếu
thì ad=bc
- Tính chất của dãy tỉ số bằng nhau:
(Giả thiết các tỉ số đều có nghĩa)
Câu hỏi ôn tập chương 1 Đại Số trang 46 sgk Toán lớp 7 Tập 1 : 8. Thế nào là số vô tỉ ? Cho ví dụ.
Lời giải
Số vô tỉ là số được viết dưới dạng số thập phân vô hạn không tuần hoàn.
Ví dụ: x = 1,4142135623730950…….
Lời giải
- Số hữu tỉ và số vô tỉ được gọi chung là số thực.
- Các điểm biểu diễn số thực đã lấp đầy trục số.
⇒ Trục số còn được gọi là trục số thực:
Lời giải
Căn bậc hai của một số a không âm là số x sao cho x 2 = a
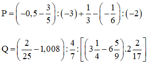
Bài 96 trang 48 sgk Toán lớp 7 Tập 1: Thực hiện phép tính (bằng cách hợp lí nếu có thể)
Lời giải:
Bài 97 trang 49 sgk Toán lớp 7 Tập 1: Tính nhanh
a) (-6,37 . 0,4) . 2,5
b) (-0,125 ) . (-5,3 ) . 8
c) (-2,5 ) . (-4) . (-7,9)
Lời giải:
a) (-6,37 . 0,4) . 2,5
= -6,37 . (0,4 . 2,5)
= -6,37 . 1
= -6,37
b) (-0,125 ) . (-5,3 ) . 8
= (-5,3) . (-0,125 . 8)
= (-5,3).(-1)
= 5,3
c) (-2,5 ) . (-4) . (-7,9)
= [(-2,5) . (-4) ] . (-7,9)
= 10 . (-7,9)
= -79
Bài 98 trang 49 sgk Toán lớp 7 Tập 1: Tìm y biết:
Lời giải:
Bài 99 trang 49 sgk Toán lớp 7 Tập 1: Tính giá trị biểu thức
Lời giải:
Hết thời hạn 6 tháng mẹ bạn Minh được lĩnh cả vốn lẫn lãi là 2062400đ. Tính lãi suất hàng tháng của thể thức gửi tiết kiệm này.
Lời giải:
Tiền lãi 6 tháng là:
2062400 – 2000000 = 62400 (đ)
Tiền lãi một tháng là:
62400 : 6 = 10400 (đ)
Lãi suất hàng tháng của thế thức gửi tiết kiệm này :
Bài 101 trang 49 sgk Toán lớp 7 Tập 1: Tìm x biết:
Lời giải:
Lời giải:
Lời giải:
Gọi số tiền lãi mỗi tổ được chia là x, y (đồng).
Hai tổ chia lãi với nhau theo tỉ lệ 3 : 5 nghĩa là
.
Tổng số lãi là 12 800 000 nghĩa là x + y = 12 800 000
Theo tính chất dãy tỉ số bằng nhau ta có
= 1 600 000 (đồng)
x = 1 600 000 . 3 = 4 800 000(đồng)
y = 1600000 . 5 = 8 000 000(đồng)
Vậy số tiền lãi mỗi tổ nhận được là 4 800 000 đồng và 8 000 000 đồng.
Lời giải:
Gọi chiều dài 3 tấm vải lần lượt là: x, y, z (m)
Theo đề bài ta có:
Theo tính chất của dãy tỉ số bằng nhau ta có
Do đó:
x=12.2=24 (m)
y=12.3=36 (m)
z=12.4=48 (m)
Vậy chiều dài ba tấm vải lần lượt là 24 m; 36m; 48m
Bài 105 trang 50 sgk Toán lớp 7 Tập 1: Tính giá trị của các biểu thức sau:
Lời giải:
Xem thêm Video Giải bài tập Toán lớp 7 hay và chi tiết khác:
- Bài 1: Đại lượng tỉ tệ thuận
- Bài 2: Một số bài toán về đại lượng tỉ lệ thuận
- Luyện tập trang 56
- Bài 3: Đại lượng tỉ lệ nghịch
- Bài 4: Một số bài toán về đại lượng tỉ lệ nghịch
Lời giải bài tập lớp 7 sách mới:
- Giải bài tập Lớp 7 Kết nối tri thức
- Giải bài tập Lớp 7 Chân trời sáng tạo
- Giải bài tập Lớp 7 Cánh diều
Tủ sách VIETJACK shopee lớp 6-8 (2025):
Đã có app VietJack trên điện thoại, giải bài tập SGK, SBT Soạn văn, Văn mẫu, Thi online, Bài giảng....miễn phí. Tải ngay ứng dụng trên Android và iOS.
Theo dõi chúng tôi miễn phí trên mạng xã hội facebook và youtube:Loạt bài Video Giải bài tập Toán lớp 7 hay, chi tiết của chúng tôi được biên soạn bám sát sách giáo khoa Toán 7 Tập 1, Tập 2.
Nếu thấy hay, hãy động viên và chia sẻ nhé! Các bình luận không phù hợp với nội quy bình luận trang web sẽ bị cấm bình luận vĩnh viễn.
- Giải Tiếng Anh 7 Global Success
- Giải Tiếng Anh 7 Friends plus
- Giải sgk Tiếng Anh 7 Smart World
- Giải Tiếng Anh 7 Explore English
- Lớp 7 - Kết nối tri thức
- Soạn văn 7 (hay nhất) - KNTT
- Soạn văn 7 (ngắn nhất) - KNTT
- Giải sgk Toán 7 - KNTT
- Giải sgk Khoa học tự nhiên 7 - KNTT
- Giải sgk Lịch Sử 7 - KNTT
- Giải sgk Địa Lí 7 - KNTT
- Giải sgk Giáo dục công dân 7 - KNTT
- Giải sgk Tin học 7 - KNTT
- Giải sgk Công nghệ 7 - KNTT
- Giải sgk Hoạt động trải nghiệm 7 - KNTT
- Giải sgk Âm nhạc 7 - KNTT
- Lớp 7 - Chân trời sáng tạo
- Soạn văn 7 (hay nhất) - CTST
- Soạn văn 7 (ngắn nhất) - CTST
- Giải sgk Toán 7 - CTST
- Giải sgk Khoa học tự nhiên 7 - CTST
- Giải sgk Lịch Sử 7 - CTST
- Giải sgk Địa Lí 7 - CTST
- Giải sgk Giáo dục công dân 7 - CTST
- Giải sgk Công nghệ 7 - CTST
- Giải sgk Tin học 7 - CTST
- Giải sgk Hoạt động trải nghiệm 7 - CTST
- Giải sgk Âm nhạc 7 - CTST
- Lớp 7 - Cánh diều
- Soạn văn 7 (hay nhất) - Cánh diều
- Soạn văn 7 (ngắn nhất) - Cánh diều
- Giải sgk Toán 7 - Cánh diều
- Giải sgk Khoa học tự nhiên 7 - Cánh diều
- Giải sgk Lịch Sử 7 - Cánh diều
- Giải sgk Địa Lí 7 - Cánh diều
- Giải sgk Giáo dục công dân 7 - Cánh diều
- Giải sgk Công nghệ 7 - Cánh diều
- Giải sgk Tin học 7 - Cánh diều
- Giải sgk Hoạt động trải nghiệm 7 - Cánh diều
- Giải sgk Âm nhạc 7 - Cánh diều


Giải bài tập SGK & SBT
Tài liệu giáo viên
Sách
Khóa học
Thi online
Hỏi đáp

