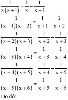
Đố. Đố em tính nhanh được tổng sau: 1/x(x+1)+1/(x+1)(x+2)+1/(x+2)(x+3)+1/(x+3)(x+4)
Bài 6: Phép trừ các phân thức đại số
Bài 32 trang 50 SGK Toán 8 Tập 1: Đố. Đố em tính nhanh được tổng sau:
Lời giải:
Áp dụng kết quả Bài 31 a) trang 50 SGK Toán 8 Tập 1 ta được:
Các bài giải bài tập Giải bài tập Toán lớp 8 Bài 6 khác
Trả lời câu hỏi Toán 8 Tập 1 Bài 6 trang 484 : Làm tính cộng....
Trả lời câu hỏi Toán 8 Tập 1 Bài 6 trang 49 : Tìm phân thức đối của ....
Bài 28 trang 49 SGK Toán 8 Tập 1: Theo qui tắc đổi dấu ta có ...
Bài 29 trang 50 SGK Toán 8 Tập 1: Làm tính trừ các phân thức sau ...
Bài 30 trang 50 SGK Toán 8 Tập 1: Thực hiện các phép tính sau ...
Bài 31 trang 50 SGK Toán 8 Tập 1: Chứng tỏ rằng mỗi hiệu sau đây ...
Bài 32 trang 50 SGK Toán 8 Tập 1: Đố. Đố em tính nhanh được tổng sau ...
Bài 35 trang 50 SGK Toán 8 Tập 1: Thực hiện các phép tính ...
Bài 36 trang 51 SGK Toán 8 Tập 1: Một công ti may phải sản xuất ...
Tủ sách VIETJACK shopee lớp 6-8 (2025):
Đã có app VietJack trên điện thoại, giải bài tập SGK, SBT Soạn văn, Văn mẫu, Thi online, Bài giảng....miễn phí. Tải ngay ứng dụng trên Android và iOS.
Theo dõi chúng tôi miễn phí trên mạng xã hội facebook và youtube:Loạt bài Giải bài tập Toán 8 hay, chi tiết của chúng tôi được các Thầy / Cô giáo biên soạn bám sát chương trình sách giáo khoa Toán 8 Tập 1, Tập 2 sách mới.
Nếu thấy hay, hãy động viên và chia sẻ nhé! Các bình luận không phù hợp với nội quy bình luận trang web sẽ bị cấm bình luận vĩnh viễn.
- Giải Tiếng Anh 8 Global Success
- Giải sgk Tiếng Anh 8 Smart World
- Giải sgk Tiếng Anh 8 Friends plus
- Lớp 8 - Kết nối tri thức
- Soạn văn 8 (hay nhất) - KNTT
- Soạn văn 8 (ngắn nhất) KNTT
- Giải sgk Toán 8 - KNTT
- Giải sgk Khoa học tự nhiên 8 - KNTT
- Giải sgk Lịch Sử 8 - KNTT
- Giải sgk Địa Lí 8 - KNTT
- Giải sgk Giáo dục công dân 8 - KNTT
- Giải sgk Tin học 8 - KNTT
- Giải sgk Công nghệ 8 - KNTT
- Giải sgk Hoạt động trải nghiệm 8 - KNTT
- Giải sgk Âm nhạc 8 - KNTT
- Lớp 8 - Chân trời sáng tạo
- Soạn văn 8 (hay nhất) - CTST
- Soạn văn 8 (ngắn nhất) - CTST
- Giải sgk Toán 8 - CTST
- Giải sgk Khoa học tự nhiên 8 - CTST
- Giải sgk Lịch Sử 8 - CTST
- Giải sgk Địa Lí 8 - CTST
- Giải sgk Giáo dục công dân 8 - CTST
- Giải sgk Tin học 8 - CTST
- Giải sgk Công nghệ 8 - CTST
- Giải sgk Hoạt động trải nghiệm 8 - CTST
- Giải sgk Âm nhạc 8 - CTST
- Lớp 8 - Cánh diều
- Soạn văn 8 Cánh diều (hay nhất)
- Soạn văn 8 Cánh diều (ngắn nhất)
- Giải sgk Toán 8 - Cánh diều
- Giải sgk Khoa học tự nhiên 8 - Cánh diều
- Giải sgk Lịch Sử 8 - Cánh diều
- Giải sgk Địa Lí 8 - Cánh diều
- Giải sgk Giáo dục công dân 8 - Cánh diều
- Giải sgk Tin học 8 - Cánh diều
- Giải sgk Công nghệ 8 - Cánh diều
- Giải sgk Hoạt động trải nghiệm 8 - Cánh diều
- Giải sgk Âm nhạc 8 - Cánh diều


Giải bài tập SGK & SBT
Tài liệu giáo viên
Sách
Khóa học
Thi online
Hỏi đáp

