Toán 9 Bài 2: Đồ thị hàm số y = ax2 (a ≠ 0)
Giải sgk Toán 9 Bài 2: Đồ thị hàm số y = ax2 (a ≠ 0)
Video Giải bài tập Toán 9 Bài 2: Đồ thị hàm số y = ax2 (a ≠ 0)
- Đồ thị nằm ở phía trên hay phía dưới trục hoành ?
- Vị trí của cặp điểm A, A’ đối với trục Oy ? Tương tự đối với các điểm B, B’ và C, C’ ?
- Điểm nào là điểm thấp nhất của đồ thị ?
Lời giải
Đồ thị nằm ở phía trên trục hoành
- Các cặp điểm A và A’; B và B’; C và C’ đối xứng nhau qua trục Oy
- Điểm O (0;0) là điểm thấp nhất của đồ thị.
Lời giải
- Đồ thị nằm ở phía dưới trục hoành
- Các cặp điểm M và M’; N và N’; P và P’ đối xứng nhau qua trục Oy
- Điểm O (0;0) là điểm cao nhất của đồ thị.
Trả lời câu hỏi Toán 9 Tập 2 Bài 2 trang 35 - Video giải tại 6:57 : Cho hàm số y = (-1)/2 x2.
a) Trên đồ thị của hàm số này, xác định điểm D có hoành độ bằng 3. Tìm tung độ của điểm D bằng hai cách: bằng đồ thị; bằng cách tính y với x = 3. So sánh hai kết quả.
b) Trên đồ thị làm số này, xác định điểm có tung độ bằng -5. Có mấy điểm như thế ? Không làm tính, hãy ước lượng giá trị hoành độ của mỗi điểm.
Lời giải
a) Từ đồ thị, ta xác định được tung độ của điểm D là (-9)/2
Với x = 3 ta có: y = (-1)/2 x2 = (-1)/2.32 = (-9)/2
Hai kết quả là như nhau.
b) Có 2 điểm có tung độ bằng -5
Giá trị của hoành độ của hai điểm lần lượt là ≈ -3,2 và ≈ 3,2
| x | -2 | -1 | 0 | 1 | 2 |
| x | -2 | -1 | 0 | 1 | 2 |
Nhận xét về tính đối xứng của hai đồ thị đối với trục Ox.
Lời giải
+ Điền vào ô trống:
Vậy ta có bảng:
Tương tự như vậy với hàm số
. Ta có bảng:
+ Vẽ đồ thị hàm số:
Trên mặt phẳng lưới lấy các điểm A(-2; 6);
; O(0; 0);
; D(2; 6).
Nối các điểm trên theo một đường cong ta được parabol
Lấy các điểm A’ (-2; -6);
; O(0; 0);
; D’(2; -6).
Nối các điểm trên theo một đường cong ta được parabol
Nhận xét: Đồ thị hàm số
và
đối xứng nhau qua trục Ox.
Bài 5 trang 37 SGK Toán 9 Tập 2 - Video giải tại 19:01) : Cho ba hàm số:
a) Vẽ đồ thị của ba hàm số này trên cùng một mặt phẳng tọa độ.
b) Tìm ba điểm A, B, C có cùng hoành độ x = -1,5 theo thứ tự nằm trên ba đồ thị. Xác định tung độ tương ứng của chúng.
c) Tìm ba điểm A’ ; B’ ; C’ có cùng hoành độ x = 1,5 theo thứ tự nằm trên ba đồ thị. Kiểm tra tính đối xứng của A và A’ ; B và B’ ; C và C’.
d) Với mỗi hàm số trên, hãy tìm giá trị của x để hàm số đó có giá trị nhỏ nhất.
Lời giải
a) Bảng giá trị tương ứng của x và y:
Vẽ đồ thị:
Trên mặt phẳng lưới lấy các điểm (-2; 2); (-1; ½); (0; 0); (1; 1/2); (2; 2), nối chúng thành một đường cong ta được đồ thị hàm số y = ½.x2.
Lấy các điểm (-2; 4); (-1; 1); (0; 0); (1; 1); (2; 4), nối chúng thành một đường cong ta được đồ thị hàm số y = x2.
Lấy các điểm (-2; 8); (-1; 2); (0; 0); (1; 2); (2; 8), nối chúng thành một đường cong ta được đồ thị hàm số y = 2x2.
b) Lấy các điểm A, B, C lần lượt nằm trên 3 đồ thị và có hoành độ bằng -1,5.
Từ điểm (-1,5;0) nằm trên trục hoành ta kẻ đường thẳng song song với Oy. Đường thẳng này cắt các đồ thị
lần lượt tại các điểm A,B,C.
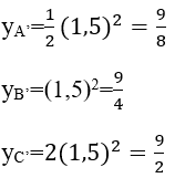
Gọi yA,yB,yC lần lượt là tung độ của các điểm A,B,C. Ta có:
Khi đó tung độ điểm A bằng 9/8; tung độ điểm B bằng 9/4; tung độ điểm C bằng 9/2
c)
Lấy các điểm A’, B’, C’ lần lượt nằm trên 3 đồ thị và có hoành độ bằng 1,5.
Từ điểm (1,5;0) nằm trên trục hoành ta kẻ đường thẳng song song với Oy. Đường thẳng này cắt các đồ thị lần lượt tại các điểm A,B,C.
Gọi yA,yB,yC lần lượt là tung độ của các điểm A,B,C. Ta có:
Khi đó
Nhận xét: A và A’; B và B’; C và C’ đối xứng nhau qua trục Oy.
d) Hàm số có giá trị nhỏ nhất ⇔ y nhỏ nhất.
Dựa vào đồ thị nhận thấy cả ba hàm số đạt y nhỏ nhất tại điểm O(0; 0).
Vậy ba hàm số trên đều đạt giá trị nhỏ nhất tại x = 0.
Xem thêm các bài Giải bài tập Toán lớp 9 hay và chi tiết khác:
- Luyện tập trang 38-39
- Bài 3: Phương trình bậc hai một ẩn
- Bài 4: Công thức nghiệm của phương trình bậc hai
- Bài 5: Công thức nghiệm thu gọn
- Luyện tập trang 49-50
Tủ sách VIETJACK luyện thi vào 10 cho 2k11 (2026):
Đã có app VietJack trên điện thoại, giải bài tập SGK, SBT Soạn văn, Văn mẫu, Thi online, Bài giảng....miễn phí. Tải ngay ứng dụng trên Android và iOS.
Theo dõi chúng tôi miễn phí trên mạng xã hội facebook và youtube:Loạt bài Video Giải bài tập Toán lớp 9 hay, chi tiết của chúng tôi được các Thầy / Cô giáo biên soạn bám sát chương trình sách giáo khoa Toán 9 Tập 1, Tập 2 Đại số & Hình học.
Nếu thấy hay, hãy động viên và chia sẻ nhé! Các bình luận không phù hợp với nội quy bình luận trang web sẽ bị cấm bình luận vĩnh viễn.
- Giải Tiếng Anh 9 Global Success
- Giải sgk Tiếng Anh 9 Smart World
- Giải sgk Tiếng Anh 9 Friends plus
- Lớp 9 Kết nối tri thức
- Soạn văn 9 (hay nhất) - KNTT
- Soạn văn 9 (ngắn nhất) - KNTT
- Giải sgk Toán 9 - KNTT
- Giải sgk Khoa học tự nhiên 9 - KNTT
- Giải sgk Lịch Sử 9 - KNTT
- Giải sgk Địa Lí 9 - KNTT
- Giải sgk Giáo dục công dân 9 - KNTT
- Giải sgk Tin học 9 - KNTT
- Giải sgk Công nghệ 9 - KNTT
- Giải sgk Hoạt động trải nghiệm 9 - KNTT
- Giải sgk Âm nhạc 9 - KNTT
- Giải sgk Mĩ thuật 9 - KNTT
- Lớp 9 Chân trời sáng tạo
- Soạn văn 9 (hay nhất) - CTST
- Soạn văn 9 (ngắn nhất) - CTST
- Giải sgk Toán 9 - CTST
- Giải sgk Khoa học tự nhiên 9 - CTST
- Giải sgk Lịch Sử 9 - CTST
- Giải sgk Địa Lí 9 - CTST
- Giải sgk Giáo dục công dân 9 - CTST
- Giải sgk Tin học 9 - CTST
- Giải sgk Công nghệ 9 - CTST
- Giải sgk Hoạt động trải nghiệm 9 - CTST
- Giải sgk Âm nhạc 9 - CTST
- Giải sgk Mĩ thuật 9 - CTST
- Lớp 9 Cánh diều
- Soạn văn 9 Cánh diều (hay nhất)
- Soạn văn 9 Cánh diều (ngắn nhất)
- Giải sgk Toán 9 - Cánh diều
- Giải sgk Khoa học tự nhiên 9 - Cánh diều
- Giải sgk Lịch Sử 9 - Cánh diều
- Giải sgk Địa Lí 9 - Cánh diều
- Giải sgk Giáo dục công dân 9 - Cánh diều
- Giải sgk Tin học 9 - Cánh diều
- Giải sgk Công nghệ 9 - Cánh diều
- Giải sgk Hoạt động trải nghiệm 9 - Cánh diều
- Giải sgk Âm nhạc 9 - Cánh diều
- Giải sgk Mĩ thuật 9 - Cánh diều


Giải bài tập SGK & SBT
Tài liệu giáo viên
Sách
Khóa học
Thi online
Hỏi đáp

