Toán 9 Bài 3: Phương trình bậc hai một ẩn
Giải sgk Toán 9 Bài 3: Phương trình bậc hai một ẩn
Video Giải bài tập Toán 9 Bài 3: Phương trình bậc hai một ẩn
a) x2 – 4 = 0;
b) x3 + 4x2 – 2 = 0;
c) 2x2 + 5x = 0;
d) 4x – 5 = 0;
e) -3x2 = 0.
Lời giải
a) x2 – 4 = 0: đây là phương trình bậc hai; a = 1; b = 0; c = - 4
b) x3 + 4x2 – 2 = 0: đây không là phương trình bậc hai
c) 2x2 + 5x = 0: đây là phương trình bậc hai; a = 2; b = 5; c = - 5
d) 4x – 5 = 0 đây không là phương trình bậc hai
e) -3x2 = 0 đây là phương trình bậc hai; a = -3; b = 0; c = 0
Lời giải
Vậy phương trình có hai nghiệm
x1 = 0; x2 =(-5)/2
Trả lời câu hỏi Toán 9 Tập 2 Bài 3 trang 41 - Video giải tại 7:24 : Giải phương trình: 3x2 – 2 = 0.
Lời giải
3x2 - 2 = 0⇔ 3x2=2 ⇔ x2 = 2/3 ⇔ x = ±√(2/3)
Vậy phương trình có hai nghiệm
x1 = √(2/3); x2 = -√(2/3)
(x - 2)2 = 7/2 ⇔ x – 2 = … ⇔ x = …
Vậy phương trình có hai nghiệm là: x1 = …, x2 = …
Lời giải
(x - 2)2 = 7/2 ⇔ x - 2 = ±√(7/2) ⇔ x = 2 ± √(7/2)
Vậy phương trình có hai nghiệm
x1 = 2 + √(7/2); x2 = 2 - √(7/2)
Lời giải
x2 - 4x + 4 = 7/2 ⇔ (x - 2)2 = 7/2
⇔ x - 2 = ±√(7/2) ⇔ x = 2 ± √(7/2)
Vậy phương trình có hai nghiệm
x1 = 2 + √(7/2); x2 = 2 - √(7/2)
Lời giải
x2 - 4x = (-1)/2 ⇔ x2 - 4x + 4 = (-1)/2 + 4 ⇔ (x - 2)2 = 7/2
⇔ x - 2 = ±√(7/2) ⇔ x = 2±√(7/2)
Vậy phương trình có hai nghiệm:
x1 = 2 + √(7/2); x2 = 2 - √(7/2)
Lời giải
2x2 - 8x = -1 ⇔ x2 - 4x = (-1)/2
⇔ x2 - 4x + 4 = (-1)/2 + 4 ⇔ (x - 2)2=7/2
⇔ x - 2 = ±√(7/2) ⇔ x = 2 ±√(7/2)
Vậy phương trình có hai nghiệm:
x1 = 2 + √(7/2); x2 = 2 - √(7/2)
Lời giải
a) 5x2 + 2x = 4 – x
⇔ 5x2 + 2x + x – 4 = 0
⇔ 5x2 + 3x – 4 = 0
Phương trình bậc hai trên có a = 5; b = 3; c = -4.
c) 2x2 + x - √3 = x.√3 + 1
⇔ 2x2 + x - x.√3 - √3 – 1 = 0
⇔ 2x2 + x.(1 - √3) – (√3 + 1) = 0
Phương trình bậc hai trên có a = 2; b = 1 - √3; c = - (√3 + 1).
d) 2x2 + m2 = 2(m – 1).x
⇔ 2x2 – 2(m – 1).x + m2 = 0
Phương trình bậc hai trên có a = 2; b = -2(m – 1); c = m2.
Bài 12 trang 42 SGK Toán 9 Tập 2 - Video giải tại 19:29) : Giải các phương trình sau:
a) x2 – 8 = 0;
b) 5x2 – 20 = 0;
c) 0,4x2 + 1 = 0
d) 2x2 + √2x = 0;
e) -0,4x2 + 1,2x = 0.
Lời giải
a) x2 – 8 = 0
⇔ x2 = 8
⇔ x = 2√2 hoặc x = -2√2.
Vậy phương trình có hai nghiệm x = 2√2 và x = -2√2.
b) 5x2 – 20 = 0
⇔ 5x2 = 20
⇔ x2 = 4
⇔ x = 2 hoặc x = -2.
Vậy phương trình có hai nghiệm x = 2 và x = -2.
c) 0,4x2 + 1 = 0
⇔ 0,4x2 = -1
⇔
Phương trình vô nghiệm vì x2 ≥ 0 với mọi x.
d) 2x2 + x√2 = 0
⇔ x.√2.(x√2 + 1) = 0
⇔ x = 0 hoặc x√2 + 1 = 0
+Nếu x√2 + 1 = 0 ⇔
Vậy phương trình có hai nghiệm x = 0 và
e) -0,4x2 + 1,2x = 0
⇔ -0,4x.(x – 3) = 0
⇔ x = 0 hoặc x – 3 = 0
+Nếu x – 3 = 0 ⇔ x = 3.
Vậy phương trình có hai nghiệm x = 0 và x = 3.
Bài 13 trang 43 SGK Toán 9 Tập 2 - Video giải tại 27:09) : Cho các phương trình:
Hãy cộng vào hai vế của mỗi phương trình cùng một số thích hợp để được một phương trình mà vế trái thành một bình phương.
Lời giải
(Lưu ý: Các phần giải thích các bạn có thể không trình bày vào bài làm)
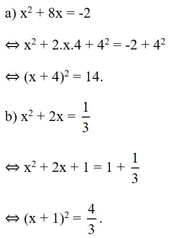
2x2 + 5x + 2 = 0
⇔ 2x2 + 5x = -2 (Chuyển 2 sang vế phải)
(Tách
thành
và thêm bớt
để vế trái thành bình phương).
Vậy phương trình có hai nghiệm
Xem thêm các bài Giải bài tập Toán lớp 9 hay và chi tiết khác:
- Bài 4: Công thức nghiệm của phương trình bậc hai
- Bài 5: Công thức nghiệm thu gọn
- Luyện tập trang 49-50
- Bài 6: Hệ thức Vi-ét và ứng dụng
- Luyện tập trang 54
Tủ sách VIETJACK luyện thi vào 10 cho 2k11 (2026):
Đã có app VietJack trên điện thoại, giải bài tập SGK, SBT Soạn văn, Văn mẫu, Thi online, Bài giảng....miễn phí. Tải ngay ứng dụng trên Android và iOS.
Theo dõi chúng tôi miễn phí trên mạng xã hội facebook và youtube:Loạt bài Video Giải bài tập Toán lớp 9 hay, chi tiết của chúng tôi được các Thầy / Cô giáo biên soạn bám sát chương trình sách giáo khoa Toán 9 Tập 1, Tập 2 Đại số & Hình học.
Nếu thấy hay, hãy động viên và chia sẻ nhé! Các bình luận không phù hợp với nội quy bình luận trang web sẽ bị cấm bình luận vĩnh viễn.
- Giải Tiếng Anh 9 Global Success
- Giải sgk Tiếng Anh 9 Smart World
- Giải sgk Tiếng Anh 9 Friends plus
- Lớp 9 Kết nối tri thức
- Soạn văn 9 (hay nhất) - KNTT
- Soạn văn 9 (ngắn nhất) - KNTT
- Giải sgk Toán 9 - KNTT
- Giải sgk Khoa học tự nhiên 9 - KNTT
- Giải sgk Lịch Sử 9 - KNTT
- Giải sgk Địa Lí 9 - KNTT
- Giải sgk Giáo dục công dân 9 - KNTT
- Giải sgk Tin học 9 - KNTT
- Giải sgk Công nghệ 9 - KNTT
- Giải sgk Hoạt động trải nghiệm 9 - KNTT
- Giải sgk Âm nhạc 9 - KNTT
- Giải sgk Mĩ thuật 9 - KNTT
- Lớp 9 Chân trời sáng tạo
- Soạn văn 9 (hay nhất) - CTST
- Soạn văn 9 (ngắn nhất) - CTST
- Giải sgk Toán 9 - CTST
- Giải sgk Khoa học tự nhiên 9 - CTST
- Giải sgk Lịch Sử 9 - CTST
- Giải sgk Địa Lí 9 - CTST
- Giải sgk Giáo dục công dân 9 - CTST
- Giải sgk Tin học 9 - CTST
- Giải sgk Công nghệ 9 - CTST
- Giải sgk Hoạt động trải nghiệm 9 - CTST
- Giải sgk Âm nhạc 9 - CTST
- Giải sgk Mĩ thuật 9 - CTST
- Lớp 9 Cánh diều
- Soạn văn 9 Cánh diều (hay nhất)
- Soạn văn 9 Cánh diều (ngắn nhất)
- Giải sgk Toán 9 - Cánh diều
- Giải sgk Khoa học tự nhiên 9 - Cánh diều
- Giải sgk Lịch Sử 9 - Cánh diều
- Giải sgk Địa Lí 9 - Cánh diều
- Giải sgk Giáo dục công dân 9 - Cánh diều
- Giải sgk Tin học 9 - Cánh diều
- Giải sgk Công nghệ 9 - Cánh diều
- Giải sgk Hoạt động trải nghiệm 9 - Cánh diều
- Giải sgk Âm nhạc 9 - Cánh diều
- Giải sgk Mĩ thuật 9 - Cánh diều


Giải bài tập SGK & SBT
Tài liệu giáo viên
Sách
Khóa học
Thi online
Hỏi đáp

