Giải các phương trình: a) (3x^2 – 5x + 1)(x^2 – 4) = 0
Bài 7: Phương trình quy về phương trình bậc hai
Video Bài 36 trang 56 SGK Toán 9 Tập 2 - Cô Ngô Hoàng Ngọc Hà (Giáo viên VietJack)
Bài 36 trang 56 SGK Toán lớp 9 Tập 2: Giải các phương trình:
a) (3x2 – 5x + 1)(x2 – 4) = 0;
b) (2x2 + x – 4)2 – (2x – 1)2 = 0.
Lời giải
a) (3x2 – 5x + 1)(x2 – 4) = 0
⇔ 3x2 – 5x + 1 = 0 (1)
hoặc x2 – 4 = 0 (2)
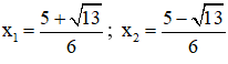
+ Giải (1): 3x2 – 5x + 1 = 0
Có a = 3; b = -5; c = 1 ⇒ Δ = (-5)2 – 4.3 = 13 > 0
Phương trình có hai nghiệm:
+ Giải (2): x2 – 4 = 0 ⇔ x2 = 4 ⇔ x = 2 hoặc x = -2.
Vậy phương trình có tập nghiệm
b) (2x2 + x – 4)2 – (2x – 1)2 = 0
⇔ (2x2 + x – 4 – 2x + 1)(2x2 + x – 4 + 2x – 1) = 0
⇔ (2x2 – x – 3)(2x2 + 3x – 5) = 0
⇔ 2x2 – x – 3 = 0 (1)
hoặc 2x2 + 3x – 5 = 0 (2)
+ Giải (1): 2x2 – x – 3 = 0
Có a = 2; b = -1; c = -3 ⇒ a – b + c = 0
⇒ Phương trình có hai nghiệm x = -1 và x = -c/a = 3/2.
+ Giải (2): 2x2 + 3x – 5 = 0
Có a = 2; b = 3; c = -5 ⇒ a + b + c = 0
⇒ Phương trình có hai nghiệm x = 1 và x = c/a = -5/2.
Vậy phương trình có tập nghiệm
Kiến thức áp dụng
+ Phương trình tích: A(x).B(x).C(x)…. = 0 ⇔
+ Nếu phương trình ax2 + bx + c = 0 (a ≠ 0) có a + b + c = 0 thì phương trình có một nghiệm x1 = 1; nghiệm còn lại x2 = c/a.
+ Nếu phương trình ax2 + bx + c = 0 (a ≠ 0) có a – b + c = 0 thì phương trình có một nghiệm x1 = -1; nghiệm còn lại x2 = -c/a.
Xem thêm các bài giải bài tập Toán lớp 9 Bài 7 khác:
Trả lời câu hỏi Toán 9 Tập 2 Bài 7 trang 55 : Giải các phương trình trùng phương....
Trả lời câu hỏi Toán 9 Tập 2 Bài 7 trang 56 : Giải phương trình sau bằng cách đưa....
Bài 34 trang 56 SGK Toán lớp 9 Tập 2: Giải các phương trình trùng phương: ...
Bài 35 trang 56 SGK Toán lớp 9 Tập 2: Giải các phương trình: ...
Bài 36 trang 56 SGK Toán lớp 9 Tập 2: Giải các phương trình: ...
Bài 37 trang 56 SGK Toán lớp 9 Tập 2: Giải phương trình trùng phương: ...
Bài 38 trang 56-57 SGK Toán lớp 9 Tập 2: Giải các phương trình: ...
Bài 39 trang 57 SGK Toán lớp 9 Tập 2: Giải phương trình bằng cách đưa về phương trình tích: ...
Bài 40 trang 57 SGK Toán lớp 9 Tập 2: Giải phương trình bằng cách đặt ẩn phụ: ...
Tủ sách VIETJACK luyện thi vào 10 cho 2k11 (2026):
Đã có app VietJack trên điện thoại, giải bài tập SGK, SBT Soạn văn, Văn mẫu, Thi online, Bài giảng....miễn phí. Tải ngay ứng dụng trên Android và iOS.
Theo dõi chúng tôi miễn phí trên mạng xã hội facebook và youtube:Loạt bài Video Giải bài tập Toán lớp 9 hay, chi tiết của chúng tôi được các Thầy / Cô giáo biên soạn bám sát chương trình sách giáo khoa Toán 9 Tập 1, Tập 2 Đại số & Hình học.
Nếu thấy hay, hãy động viên và chia sẻ nhé! Các bình luận không phù hợp với nội quy bình luận trang web sẽ bị cấm bình luận vĩnh viễn.
- Giải Tiếng Anh 9 Global Success
- Giải sgk Tiếng Anh 9 Smart World
- Giải sgk Tiếng Anh 9 Friends plus
- Lớp 9 Kết nối tri thức
- Soạn văn 9 (hay nhất) - KNTT
- Soạn văn 9 (ngắn nhất) - KNTT
- Giải sgk Toán 9 - KNTT
- Giải sgk Khoa học tự nhiên 9 - KNTT
- Giải sgk Lịch Sử 9 - KNTT
- Giải sgk Địa Lí 9 - KNTT
- Giải sgk Giáo dục công dân 9 - KNTT
- Giải sgk Tin học 9 - KNTT
- Giải sgk Công nghệ 9 - KNTT
- Giải sgk Hoạt động trải nghiệm 9 - KNTT
- Giải sgk Âm nhạc 9 - KNTT
- Giải sgk Mĩ thuật 9 - KNTT
- Lớp 9 Chân trời sáng tạo
- Soạn văn 9 (hay nhất) - CTST
- Soạn văn 9 (ngắn nhất) - CTST
- Giải sgk Toán 9 - CTST
- Giải sgk Khoa học tự nhiên 9 - CTST
- Giải sgk Lịch Sử 9 - CTST
- Giải sgk Địa Lí 9 - CTST
- Giải sgk Giáo dục công dân 9 - CTST
- Giải sgk Tin học 9 - CTST
- Giải sgk Công nghệ 9 - CTST
- Giải sgk Hoạt động trải nghiệm 9 - CTST
- Giải sgk Âm nhạc 9 - CTST
- Giải sgk Mĩ thuật 9 - CTST
- Lớp 9 Cánh diều
- Soạn văn 9 Cánh diều (hay nhất)
- Soạn văn 9 Cánh diều (ngắn nhất)
- Giải sgk Toán 9 - Cánh diều
- Giải sgk Khoa học tự nhiên 9 - Cánh diều
- Giải sgk Lịch Sử 9 - Cánh diều
- Giải sgk Địa Lí 9 - Cánh diều
- Giải sgk Giáo dục công dân 9 - Cánh diều
- Giải sgk Tin học 9 - Cánh diều
- Giải sgk Công nghệ 9 - Cánh diều
- Giải sgk Hoạt động trải nghiệm 9 - Cánh diều
- Giải sgk Âm nhạc 9 - Cánh diều
- Giải sgk Mĩ thuật 9 - Cánh diều


Giải bài tập SGK & SBT
Tài liệu giáo viên
Sách
Khóa học
Thi online
Hỏi đáp

