Toán 9 Bài 4: Giải hệ phương trình bằng phương pháp cộng đại số
Giải sgk Toán 9 Bài 4: Giải hệ phương trình bằng phương pháp cộng đại số
Video Giải bài tập Toán 9 Bài 4: Giải hệ phương trình bằng phương pháp cộng đại số
Lời giải
Trừ từng vế hai phương trình của hệ (I) ta được phương trình:
(2x – y) – (x + y) = 1 – 2 hay x – 2y = -1
Khi đó, ta thu được hệ phương trình mới:
Lời giải
Hệ số của y trong hai phương trình của hệ (II) đối nhau (có tổng bằng 0)
Trả lời câu hỏi Toán 9 Tập 2 Bài 4 trang 18 - Video giải tại 9:39 :
a) Nếu nhận xét về các hệ số của x trong hai phương trình của hệ (III).
b) Áp dụng quy tắc cộng đại số, hãy giải hệ (III) bằng cách trừ từng vế hai phương trình của (III).
Lời giải
a) Hệ số của x trong hai phương trình của hệ (III) giống nhau
Lấy phương trình thứ nhất trừ đi phương trình thứ hai vế với vế, ta được: 5y = 5
Do đó
Vậy hệ phương trình có nghiệm duy nhất (7/2;1)
Lời giải
Lấy phương trình thứ nhất trừ đi phương trình thứ hai vế với vế, ta được: -5y = 5
Do đó
Vậy hệ phương trình có nghiệm duy nhất (3; -1)
Lời giải
Chia cả 2 vế của phương trình thứ nhất cho 3 và 2 vế của phương trình thứ hai cho 2 ta được:
Lời giải
(Các phần giải thích học sinh không phải trình bày).
(Vì hệ số của y ở 2 pt đối nhau nên cộng từng vế của 2 pt).
Vậy hệ phương trình có nghiệm duy nhất (2; -3).
(Hệ số của x ở 2 pt bằng nhau nên ta trừ từng vế của 2pt)
Vậy hệ phương trình có nghiệm duy nhất
(Nhân cả hai vế của pt 2 với 2 để hệ số của x bằng nhau)
(Hệ số của x bằng nhau nên ta trừ từng vế của 2 pt)
Vậy hệ phương trình có nghiệm duy nhất (3; -2).
(Nhân hai vế pt 1 với 2, pt 2 với 3 để hệ số của y đối nhau)
(Hệ số của y đối nhau nên cộng từng vế hai phương trình).
Vậy hệ phương trình có nghiệm duy nhất (-1; 0).
(Nhân hai vế pt 1 với 4 để hệ số của y đối nhau)
(Hệ số của y đối nhau nên ta cộng từng vế 2pt)
Vậy hệ phương trình có nghiệm duy nhất (5; 3).
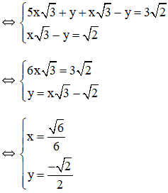
Lời giải
(Các phần giải thích học sinh không phải trình bày).
(Chia hai vế của pt 2 cho √2 để hệ số của x bằng nhau)
(Trừ từng vế của hai phương trình)
Vậy hệ phương trình có nghiệm duy nhất
(Chia hai vế pt 2 cho √2 để hệ số của y đối nhau)
(Hệ số của y đối nhau nên cộng từng vế của 2 pt)
Vậy hệ phương trình có nghiệm duy nhất
Xem thêm các bài Giải bài tập Toán lớp 9 hay và chi tiết khác:
- Luyện tập trang 19-20 (Tập 2)
- Bài 5: Giải bài toán bằng cách lập hệ phương trình
- Bài 6: Giải bài toán bằng cách lập hệ phương trình (Tiếp theo)
- Luyện tập trang 24-25
- Ôn tập chương 3 (Câu hỏi - Bài tập)
Tủ sách VIETJACK luyện thi vào 10 cho 2k11 (2026):
Đã có app VietJack trên điện thoại, giải bài tập SGK, SBT Soạn văn, Văn mẫu, Thi online, Bài giảng....miễn phí. Tải ngay ứng dụng trên Android và iOS.
Theo dõi chúng tôi miễn phí trên mạng xã hội facebook và youtube:Loạt bài Video Giải bài tập Toán lớp 9 hay, chi tiết của chúng tôi được các Thầy / Cô giáo biên soạn bám sát chương trình sách giáo khoa Toán 9 Tập 1, Tập 2 Đại số & Hình học.
Nếu thấy hay, hãy động viên và chia sẻ nhé! Các bình luận không phù hợp với nội quy bình luận trang web sẽ bị cấm bình luận vĩnh viễn.
- Giải Tiếng Anh 9 Global Success
- Giải sgk Tiếng Anh 9 Smart World
- Giải sgk Tiếng Anh 9 Friends plus
- Lớp 9 Kết nối tri thức
- Soạn văn 9 (hay nhất) - KNTT
- Soạn văn 9 (ngắn nhất) - KNTT
- Giải sgk Toán 9 - KNTT
- Giải sgk Khoa học tự nhiên 9 - KNTT
- Giải sgk Lịch Sử 9 - KNTT
- Giải sgk Địa Lí 9 - KNTT
- Giải sgk Giáo dục công dân 9 - KNTT
- Giải sgk Tin học 9 - KNTT
- Giải sgk Công nghệ 9 - KNTT
- Giải sgk Hoạt động trải nghiệm 9 - KNTT
- Giải sgk Âm nhạc 9 - KNTT
- Giải sgk Mĩ thuật 9 - KNTT
- Lớp 9 Chân trời sáng tạo
- Soạn văn 9 (hay nhất) - CTST
- Soạn văn 9 (ngắn nhất) - CTST
- Giải sgk Toán 9 - CTST
- Giải sgk Khoa học tự nhiên 9 - CTST
- Giải sgk Lịch Sử 9 - CTST
- Giải sgk Địa Lí 9 - CTST
- Giải sgk Giáo dục công dân 9 - CTST
- Giải sgk Tin học 9 - CTST
- Giải sgk Công nghệ 9 - CTST
- Giải sgk Hoạt động trải nghiệm 9 - CTST
- Giải sgk Âm nhạc 9 - CTST
- Giải sgk Mĩ thuật 9 - CTST
- Lớp 9 Cánh diều
- Soạn văn 9 Cánh diều (hay nhất)
- Soạn văn 9 Cánh diều (ngắn nhất)
- Giải sgk Toán 9 - Cánh diều
- Giải sgk Khoa học tự nhiên 9 - Cánh diều
- Giải sgk Lịch Sử 9 - Cánh diều
- Giải sgk Địa Lí 9 - Cánh diều
- Giải sgk Giáo dục công dân 9 - Cánh diều
- Giải sgk Tin học 9 - Cánh diều
- Giải sgk Công nghệ 9 - Cánh diều
- Giải sgk Hoạt động trải nghiệm 9 - Cánh diều
- Giải sgk Âm nhạc 9 - Cánh diều
- Giải sgk Mĩ thuật 9 - Cánh diều


Giải bài tập SGK & SBT
Tài liệu giáo viên
Sách
Khóa học
Thi online
Hỏi đáp

