Toán 9 Bài 5: Giải bài toán bằng cách lập hệ phương trình
Giải sgk Toán 9 Bài 5: Giải bài toán bằng cách lập hệ phương trình
Video Giải bài tập Toán 9 Bài 5: Giải bài toán bằng cách lập hệ phương trình - Cô Ngô Hoàng Ngọc Hà (Giáo viên VietJack)
Lời giải
Bước 1: Lập phương trình
- Chọn ẩn số và đặt điều kiện thích hợp cho ẩn số
- Biểu diễn các đại lượng chưa biết theo ẩn và các đại lượng đã biết
- Lập phương trình biểu thị mối quan hệ giữa các đại lượng
Bước 2: giải phương trình
Bước 3: Trả lời: Kiểm tra xem trong các nghiệm của phương trình, nghiệm nào thỏa mãn điều kiện của ẩn, nghiệm nào không, rồi kết luận
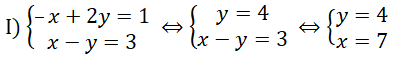
Lời giải
Vậy số cần tìm là 74
Lời giải
Mỗi giờ xe khách đi nhanh hơn xe tải là 13 km nên ta có phương trình
y - x = 13 ⇔ y = 13 + x
Lời giải
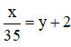
Quãng đường xe khách đi được đến khi gặp nhau là: 9/5 y (km)
Quãng đường xe tải đi được đến khi gặp nhau là: 14/5 x (km)
Theo giả thiết quãng đường từ TP. Hồ Chí Minh đến TP. Cần Thơ dài 189 km nên ta có phương trình
Lời giải
Từ ?3 và ?4 ta có hệ phương trình
Vậy vận tốc của xe tải là 36 km/h
Vận tốc của xe khách là 49 km/h
Gọi số lớn là x, số nhỏ là y (x, y ∈ N*); x,y > 124.
Tổng hai số bằng 1006 nên ta có: x + y = 1006
Số lớn chia số nhỏ được thương là 2, số dư là 124 nên ta có: x = 2y + 124.
Ta có hệ phương trình:
Vậy hai số tự nhiên phải tìm là 712 và 294.
Chú ý : Số bị chia = số chia. thương + số dư
Bài 29 trang 22 SGK Toán 9 Tập 2 - Video giải tại 26:15) : Giải bài toán cổ sau:
Quýt, cam mười bảy quả tươi
Đem chia cho một trăm người cùng vui
Chia ba mỗi quả quýt rồi
Còn cam mỗi quả chia mười vừa xinh
Trăm người, trăm miếng ngọt lành
Quýt, cam mỗi loại tính rành là bao?
Lời giải
Gọi số cam là x, số quýt là y (x, y ∈ N* ; x < 17, y < 17).
Quýt, cam 17 quả tươi ⇒ x + y = 17.
Mỗi quả quýt chia ba ⇒ Có 3y miếng quýt
Chia mười mỗi quả cam ⇒ Có 10x miếng cam
Tổng số miếng tròn 100 ⇒ 10x + 3y = 100.
Ta có hệ phương trình:
Vậy có 7 quả cam và 10 quả quýt.
Gọi x (km) là độ dài quãng đường AB, y (giờ) là thời gian dự định đi để đến B đúng lúc 12 giờ trưa.
Điều kiện x > 0, y > 1 (do ôtô đến B sớm hơn 1 giờ).
+ Với v = 35km/h thì thời gian đi hết quãng đường AB là : t =
(giờ)
Ô tô đến chậm hơn 2 giờ so với dự định ⇒
⇔ x = 35y + 70.
+ Với v = 50 km/h thì thời gian đi hết quãng đường AB là :
(giờ)
Ô tô đến sớm hơn 1h so với dự định ⇒
⇔ x = 50y – 50.
Vậy quãng đường AB là 350km và thời điểm ô tô xuất phát là 12 – 8 = 4 (giờ).
Xem thêm các bài Giải bài tập Toán lớp 9 hay và chi tiết khác:
- Bài 6: Giải bài toán bằng cách lập hệ phương trình (Tiếp theo)
- Luyện tập trang 24-25
- Ôn tập chương 3 (Câu hỏi - Bài tập)
- Bài 1: Hàm số y = ax2 (a ≠ 0)
- Bài 2: Đồ thị hàm số y = ax2 (a ≠ 0)
Tủ sách VIETJACK luyện thi vào 10 cho 2k11 (2026):
Đã có app VietJack trên điện thoại, giải bài tập SGK, SBT Soạn văn, Văn mẫu, Thi online, Bài giảng....miễn phí. Tải ngay ứng dụng trên Android và iOS.
Theo dõi chúng tôi miễn phí trên mạng xã hội facebook và youtube:Loạt bài Video Giải bài tập Toán lớp 9 hay, chi tiết của chúng tôi được các Thầy / Cô giáo biên soạn bám sát chương trình sách giáo khoa Toán 9 Tập 1, Tập 2 Đại số & Hình học.
Nếu thấy hay, hãy động viên và chia sẻ nhé! Các bình luận không phù hợp với nội quy bình luận trang web sẽ bị cấm bình luận vĩnh viễn.
- Giải Tiếng Anh 9 Global Success
- Giải sgk Tiếng Anh 9 Smart World
- Giải sgk Tiếng Anh 9 Friends plus
- Lớp 9 Kết nối tri thức
- Soạn văn 9 (hay nhất) - KNTT
- Soạn văn 9 (ngắn nhất) - KNTT
- Giải sgk Toán 9 - KNTT
- Giải sgk Khoa học tự nhiên 9 - KNTT
- Giải sgk Lịch Sử 9 - KNTT
- Giải sgk Địa Lí 9 - KNTT
- Giải sgk Giáo dục công dân 9 - KNTT
- Giải sgk Tin học 9 - KNTT
- Giải sgk Công nghệ 9 - KNTT
- Giải sgk Hoạt động trải nghiệm 9 - KNTT
- Giải sgk Âm nhạc 9 - KNTT
- Giải sgk Mĩ thuật 9 - KNTT
- Lớp 9 Chân trời sáng tạo
- Soạn văn 9 (hay nhất) - CTST
- Soạn văn 9 (ngắn nhất) - CTST
- Giải sgk Toán 9 - CTST
- Giải sgk Khoa học tự nhiên 9 - CTST
- Giải sgk Lịch Sử 9 - CTST
- Giải sgk Địa Lí 9 - CTST
- Giải sgk Giáo dục công dân 9 - CTST
- Giải sgk Tin học 9 - CTST
- Giải sgk Công nghệ 9 - CTST
- Giải sgk Hoạt động trải nghiệm 9 - CTST
- Giải sgk Âm nhạc 9 - CTST
- Giải sgk Mĩ thuật 9 - CTST
- Lớp 9 Cánh diều
- Soạn văn 9 Cánh diều (hay nhất)
- Soạn văn 9 Cánh diều (ngắn nhất)
- Giải sgk Toán 9 - Cánh diều
- Giải sgk Khoa học tự nhiên 9 - Cánh diều
- Giải sgk Lịch Sử 9 - Cánh diều
- Giải sgk Địa Lí 9 - Cánh diều
- Giải sgk Giáo dục công dân 9 - Cánh diều
- Giải sgk Tin học 9 - Cánh diều
- Giải sgk Công nghệ 9 - Cánh diều
- Giải sgk Hoạt động trải nghiệm 9 - Cánh diều
- Giải sgk Âm nhạc 9 - Cánh diều
- Giải sgk Mĩ thuật 9 - Cánh diều


Giải bài tập SGK & SBT
Tài liệu giáo viên
Sách
Khóa học
Thi online
Hỏi đáp

