Toán 9 Bài 6: Biến đổi đơn giản biểu thức chứa căn thức bậc hai
Giải sgk Toán 9 Bài 6: Biến đổi đơn giản biểu thức chứa căn thức bậc hai
Video Giải bài tập Toán 9 Bài 6: Biến đổi đơn giản biểu thức chứa căn thức bậc hai - Cô Ngô Hoàng Ngọc Hà (Giáo viên VietJack)
Trả lời câu hỏi Toán 9 Tập 1 Bài 6 trang 24 : Với a ≥ 0, b ≥ 0, chứng tỏ √(a2 b) = a√b.
Lời giải
√(a2 b) = √(a2 ).√b = |a| √b = a√b (do a ≥ 0;b ≥ 0)
Trả lời câu hỏi Toán 9 Tập 1 Bài 6 trang 25 : Rút gọn biểu thức
a) √2 + √8 + √50;
b) 4√3 + √27 - √45 + √5.
Lời giải
a) √2 + √8 + √50 = √2 + √(22.2) + √(52.2)
= √2 + 2√2 + 5√2 = 8√2
b) 4√3 + √27 – √45 + √5 = 4√3 + √(32.3) - √(32.5) + √5
= 4√3 + 3√3 - 3√5 + √5 = 7√3 - 2√5
Trả lời câu hỏi Toán 9 Tập 1 Bài 6 trang 25 : Đưa thừa số ra ngoài dấu căn
a) √(28a4b2 ) với b ≥ 0;
b) √(72a2b4 ) với a < 0.
Lời giải
a) √(28a4b2 ) = √((2a2b)2.7) = √7 |2a2b| = 2√7a2b (do b ≥ 0)
b) √(72a2b4 ) = √((6ab2)2.2) = √2 |6ab2 | = -6√2ab2 (do a < 0)
Trả lời câu hỏi Toán 9 Tập 1 Bài 6 trang 26 : Đưa thừa số vào trong dấu căn
a) 3√5;
b) 1,2√5;
c) ab4√a với a ≥ 0;
d) -2ab2√5a với a ≥ 0.
Lời giải
a) 3√5 = √(32.5)=√45
b) 1,2√5 = √(1,22.5)= √7,2
c) ab4√a = √((ab4)2 a)= √(a2 b^8 a)= √(a3b8 )
d) -2ab2√5a = -√((2ab2)2.5a) = -√(4a2b4.5a)= -√(20a3b4 )
Lời giải:
Bài 44 trang 27 SGK Toán lớp 9 Tập 1: Đưa thừa số vào trong dấu căn.
Lời giải:
(Chú ý: Muốn đưa thừa số vào trong căn thì thừa số phải là số không âm. Chẳng hạn như ở phần b, c thì chúng ta không đưa dấu "-" vào trong căn.)
Bài 45 trang 27 SGK Toán lớp 9 Tập 1: So sánh:
Lời giải:
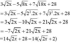
Bài 46 trang 27 SGK Toán lớp 9 Tập 1: Rút gọn các biểu thức sau với x ≥ 0:
Lời giải:
a) Với x ≥ 0 thì √3x có nghĩa. Ta có:
b) Với x ≥ 0 thì √2x có nghĩa. Ta có:
Bài 47 trang 27 SGK Toán lớp 9 Tập 1: Rút gọn:
Lời giải:
(có |x + y| = x + y do x + y > 0 vì x ≥ 0, y ≥ 0 và x ≠ y)
(có |a| = a do a > 0,5 và |1 - 2a| = 2a - 1 vì 2a - 1 > 0 do a > 0,5)
Xem thêm các bài Giải bài tập Toán lớp 9 hay và chi tiết khác:
- Bài 7: Biến đổi đơn giản biểu thức chứa căn thức bậc hai (tiếp theo)
- Luyện tập trang 30
- Bài 8: Rút gọn biểu thức chứa căn thức bậc hai
- Luyện tập trang 33-34
- Bài 9: Căn bậc ba
- Ôn tập chương I
Tủ sách VIETJACK luyện thi vào 10 cho 2k11 (2026):
Đã có app VietJack trên điện thoại, giải bài tập SGK, SBT Soạn văn, Văn mẫu, Thi online, Bài giảng....miễn phí. Tải ngay ứng dụng trên Android và iOS.
Theo dõi chúng tôi miễn phí trên mạng xã hội facebook và youtube:Loạt bài Video Giải bài tập Toán lớp 9 hay, chi tiết của chúng tôi được các Thầy / Cô giáo biên soạn bám sát chương trình sách giáo khoa Toán 9 Tập 1, Tập 2 Đại số & Hình học.
Nếu thấy hay, hãy động viên và chia sẻ nhé! Các bình luận không phù hợp với nội quy bình luận trang web sẽ bị cấm bình luận vĩnh viễn.
- Giải Tiếng Anh 9 Global Success
- Giải sgk Tiếng Anh 9 Smart World
- Giải sgk Tiếng Anh 9 Friends plus
- Lớp 9 Kết nối tri thức
- Soạn văn 9 (hay nhất) - KNTT
- Soạn văn 9 (ngắn nhất) - KNTT
- Giải sgk Toán 9 - KNTT
- Giải sgk Khoa học tự nhiên 9 - KNTT
- Giải sgk Lịch Sử 9 - KNTT
- Giải sgk Địa Lí 9 - KNTT
- Giải sgk Giáo dục công dân 9 - KNTT
- Giải sgk Tin học 9 - KNTT
- Giải sgk Công nghệ 9 - KNTT
- Giải sgk Hoạt động trải nghiệm 9 - KNTT
- Giải sgk Âm nhạc 9 - KNTT
- Giải sgk Mĩ thuật 9 - KNTT
- Lớp 9 Chân trời sáng tạo
- Soạn văn 9 (hay nhất) - CTST
- Soạn văn 9 (ngắn nhất) - CTST
- Giải sgk Toán 9 - CTST
- Giải sgk Khoa học tự nhiên 9 - CTST
- Giải sgk Lịch Sử 9 - CTST
- Giải sgk Địa Lí 9 - CTST
- Giải sgk Giáo dục công dân 9 - CTST
- Giải sgk Tin học 9 - CTST
- Giải sgk Công nghệ 9 - CTST
- Giải sgk Hoạt động trải nghiệm 9 - CTST
- Giải sgk Âm nhạc 9 - CTST
- Giải sgk Mĩ thuật 9 - CTST
- Lớp 9 Cánh diều
- Soạn văn 9 Cánh diều (hay nhất)
- Soạn văn 9 Cánh diều (ngắn nhất)
- Giải sgk Toán 9 - Cánh diều
- Giải sgk Khoa học tự nhiên 9 - Cánh diều
- Giải sgk Lịch Sử 9 - Cánh diều
- Giải sgk Địa Lí 9 - Cánh diều
- Giải sgk Giáo dục công dân 9 - Cánh diều
- Giải sgk Tin học 9 - Cánh diều
- Giải sgk Công nghệ 9 - Cánh diều
- Giải sgk Hoạt động trải nghiệm 9 - Cánh diều
- Giải sgk Âm nhạc 9 - Cánh diều
- Giải sgk Mĩ thuật 9 - Cánh diều


Giải bài tập SGK & SBT
Tài liệu giáo viên
Sách
Khóa học
Thi online
Hỏi đáp

