Toán 9 Luyện tập trang 119-120
Giải sgk Toán 9 Luyện tập trang 119-120
Video Giải bài tập Toán lớp 9 Luyện tập trang 119-120
Hình 99
Lời giải
Lời giải
Áp dụng công thức tính diện tích xung quanh hình nón cụt ta có:
Lời giải
| Bán kính đáy r(cm) | Đường kính đáy d(cm) | Chiều cao h(cm) | Độ dài đường sinh l(cm) | Thể tích V(cm3) |
| 5 | 10 | 12 | 13 | 314 |
| 8 | 16 | 15 | 17 | 320 π |
| 7 | 14 | 24 | 25 | 392 π |
| 20 | 40 | 21 | 29 | 2800 π |
Cách tính:
a) Thể tích của dụng cụ này.
b) Diện tích mặt ngoài của dụng cụ (không tính nắp đậy).
Hình 100
Lời giải
a) Thể tích cần tính gồm một hình trụ, đường kính đáy 1,4m, chiều cao 70cm = 0,7m, và một hình nón, bán kính đáy bằng bán kính đáy của hình trụ, chiều cao hình nón 0,9m.
a) Hãy tính diện tích xung quanh của xô.
b) Khi xô chứa đầy hóa chất thì dung tích của nó là bao nhiêu?
Hình 101
a) a) Gọi l là đường sinh của hình nón lớn
Áp dụng định lý Ta – let ta có:
Vậy độ dài đường sinh của hình nón nhỏ là: 63 – 36 = 27
Diện tích xung quanh của hình nón lớn, hình nón nhỏ:
Cách tính khác : Có thể làm theo cách tính trực tiếp
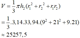
a)Diện tích xung quanh của xô chính là diện tích xung quanh của hình nón cụt có các bán kính đáy là 9 cm và 21 cm, đường sinh là 36 cm.
Diện tích xung quanh của hình nón cụt là:
S1=π(r1+r2)l=3,14.(9+21).36=3391,2(cm2)
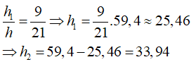
b) Gọi h và l lần lượt là chiều cao và đường sinh của hình nón lớn
Áp dụng định lý Ta – let ta có:
Gọi h1, h2 lần lượt là chiều cao của hình nón nhỏ và hình chóp cụt
Ta có
Thể tích hình nón cụt là
Phần trên của cối xay gió có dạng một hình nón (h.102). Chiều cao của hình nón là 42cm và thể tích của nó là 17 600 cm3.
Em hãy giúp chàng Đôn-ki-hô-tê tính bán kính đáy của hình nón (làm tròn kết quả đên chữ số thập phân thứ hai).
Hình 102
Xem thêm các bài Giải bài tập Toán lớp 9 hay và chi tiết khác:
- Bài 2: Hình nón - Hình nón cụt - Diện tích xung quanh và thể tích của hình nón, hình nón cụt
- Bài 3: Hình cầu. Diện tích mặt cầu và thể tích hình cầu
- Luyện tập trang 126
- Ôn tập chương 4 (Câu hỏi - Bài tập)
- Bài tập ôn cuối năm (Phần Đại Số - Phần Hình Học)
Tủ sách VIETJACK luyện thi vào 10 cho 2k11 (2026):
Đã có app VietJack trên điện thoại, giải bài tập SGK, SBT Soạn văn, Văn mẫu, Thi online, Bài giảng....miễn phí. Tải ngay ứng dụng trên Android và iOS.
Theo dõi chúng tôi miễn phí trên mạng xã hội facebook và youtube:Loạt bài Video Giải bài tập Toán lớp 9 hay, chi tiết của chúng tôi được các Thầy / Cô giáo biên soạn bám sát chương trình sách giáo khoa Toán 9 Tập 1, Tập 2 Đại số & Hình học.
Nếu thấy hay, hãy động viên và chia sẻ nhé! Các bình luận không phù hợp với nội quy bình luận trang web sẽ bị cấm bình luận vĩnh viễn.
- Giải Tiếng Anh 9 Global Success
- Giải sgk Tiếng Anh 9 Smart World
- Giải sgk Tiếng Anh 9 Friends plus
- Lớp 9 Kết nối tri thức
- Soạn văn 9 (hay nhất) - KNTT
- Soạn văn 9 (ngắn nhất) - KNTT
- Giải sgk Toán 9 - KNTT
- Giải sgk Khoa học tự nhiên 9 - KNTT
- Giải sgk Lịch Sử 9 - KNTT
- Giải sgk Địa Lí 9 - KNTT
- Giải sgk Giáo dục công dân 9 - KNTT
- Giải sgk Tin học 9 - KNTT
- Giải sgk Công nghệ 9 - KNTT
- Giải sgk Hoạt động trải nghiệm 9 - KNTT
- Giải sgk Âm nhạc 9 - KNTT
- Giải sgk Mĩ thuật 9 - KNTT
- Lớp 9 Chân trời sáng tạo
- Soạn văn 9 (hay nhất) - CTST
- Soạn văn 9 (ngắn nhất) - CTST
- Giải sgk Toán 9 - CTST
- Giải sgk Khoa học tự nhiên 9 - CTST
- Giải sgk Lịch Sử 9 - CTST
- Giải sgk Địa Lí 9 - CTST
- Giải sgk Giáo dục công dân 9 - CTST
- Giải sgk Tin học 9 - CTST
- Giải sgk Công nghệ 9 - CTST
- Giải sgk Hoạt động trải nghiệm 9 - CTST
- Giải sgk Âm nhạc 9 - CTST
- Giải sgk Mĩ thuật 9 - CTST
- Lớp 9 Cánh diều
- Soạn văn 9 Cánh diều (hay nhất)
- Soạn văn 9 Cánh diều (ngắn nhất)
- Giải sgk Toán 9 - Cánh diều
- Giải sgk Khoa học tự nhiên 9 - Cánh diều
- Giải sgk Lịch Sử 9 - Cánh diều
- Giải sgk Địa Lí 9 - Cánh diều
- Giải sgk Giáo dục công dân 9 - Cánh diều
- Giải sgk Tin học 9 - Cánh diều
- Giải sgk Công nghệ 9 - Cánh diều
- Giải sgk Hoạt động trải nghiệm 9 - Cánh diều
- Giải sgk Âm nhạc 9 - Cánh diều
- Giải sgk Mĩ thuật 9 - Cánh diều


Giải bài tập SGK & SBT
Tài liệu giáo viên
Sách
Khóa học
Thi online
Hỏi đáp

