Vật Lí 10 Bài 1: Chuyển động cơ
Vật Lí 10 Bài 1: Chuyển động cơ
Video Giải Vật Lí 10 Bài 1: Chuyển động cơ - Thầy Lê Xuân Vượng (Giáo viên VietJack)
C1 ( trang 8 sgk Vật Lý 10) - Video giải tại 13:32 Cho biết (một cách gần đúng):
- Đường kính của Mặt Trời : 1 400 000 km.
- Đường kính của Trái Đất : 12 000 km.
- Khoảng cách từ Trái Đất đến Mặt Trời : 150 000 000 km.
a) Nếu vẽ đường đi của Trái Đất quanh Mặt Trời là một đường tròn, đường kính 15 cm thì hình vẽ Trái Đất và Mặt Trời sẽ là những đường tròn có đường kính bao nhiêu xentimet?
b) Có thể coi Trái Đất như một chất điểm trong hệ Mặt Trời được không ?
Trả lời:
a) Khoảng cách từ Trái Đất đến Mặt Trời: 150.000.000 km = 150.1011 cm vẽ thành 15/2 = 7,5 cm.
- Vẽ 1 cm ứng với khoảng cách thật là :
Hình vẽ Trái Đất sẽ phải là đường tròn có đường kính :
Mặt Trời sẽ phải vẽ là đường tròn có đường kính :
b) Chiều dài của đường đi trên hình vẽ là :
→ Chiều dài đường đi gấp 47,1 / 0,0006 = 78500 lần kích thước của Trái Đất, rất nhỏ so với đường đi.
→ Có thể coi Trái Đất như một chất điểm trong hệ Mặt Trời.
C2 ( trang 9 sgk Vật Lý 10) - Video giải tại 25:15 Có thể lấy vật nào làm mốc để xác định vị trí một chiếc tàu thủy đang chạy trên sông?
Trả lời:
Vật làm mốc là một vật bất kì, đứng yên trên bờ sông hoặc dưới sông như: cây bên bờ sông, bến đò, một cây cầu….
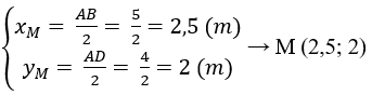
C3 ( trang 9 sgk Vật Lý 10) - Video giải tại 35:06 Hãy cho biết các tọa độ của điểm M nằm chính giữa một bức tường hình chữ nhật ABCD có cạnh AB = 5 m, và cạnh AD = 4 m (Hình 1.4). Lấy trục Ox dọc theo AB, trục Oy dọc theo AD.
Trả lời:
Tọa độ điểm M là :
C4 ( trang 10 sgk Vật Lý 10) - Video giải tại 47:50 Cho bảng gời tàu (bảng 1.1), Hãy tính xem đoàn tàu chạy từ ga Hà Nội đến ga Sài Gòn trong bao lâu?
| Bảng giờ tàu | |||
|
Hà Nội Nam Định Thanh Hóa Vinh Đồng Hới Đông Hà Huế Đà Nẵng |
19h 00' 20h 56' 22h 31' 0h 53' 4h 42' 6h 44' 8h 05' 10h 54' |
Tam Kỳ Quảng Ngãi Diêu Trì Tuy Hòa Nha Trang Tháp Chàm Sài Gòn |
12h 26' 13h 37' 16h 31' 18h 25' 20h 26' 22h 26' 4h 00' |
Trả lời:
Chọn mốc thời gian lúc 19 giờ 00 phút ngày thứ nhất tại Hà Nội.
Quan sát bảng giờ tàu ta thấy đến 19 giờ 00 phút ngày thứ hai (sau khi suất phát được 1 ngày) thì tàu đã qua ga Tuy Hòa một đoạn. Tiếp tục tàu chạy đến 24 giờ 00 phút cùng ngày (chạy thêm 5 giờ nữa) thì chưa đến ga Sài Gòn, sau đó tàu chạy thêm 4 giờ nữa sang ngày hôm sau thì đến Sài Gòn.
Vậy tổng thời gian tàu chạy từ ga Hà Nội vào ga Sài Gòn là:
1 ngày + 5 giờ + 4 giờ = 33 giờ
Bài 1 (trang 11 SGK Vật Lý 10) - Video giải tại 56:00 Chất điểm là gì?
Lời giải:
Chất điểm là một chất chuyển động được coi là kích thước rất nhỏ so với độ dài đường đi ( hoặc là so với khoảng cách mà ta đề cập đến).
Bài 2 (trang 11 SGK Vật Lý 10) - Video giải tại 57:02 Nêu cách xác định vị trí của một ô tô trên một quốc lộ.
Lời giải:
Dựa vào cột cây số trên quốc lộ: khi ôtô đến cột cây số, ta sẽ biết vị trí ô tô cách mốc (địa điểm sẽ đến ) còn bao nhiêu km.
Bài 3 (trang 11 SGK Vật Lý 10) - Video giải tại 58:57 Nêu cách xác định vị trí của một vật trên một mặt phẳng .
Lời giải:
+ Chọn một điểm ( một vật) cố định làm mốc.
+ Một hệ trục gồm Ox và Oy vuông góc với nhau, gắn với vật mốc.
+ Chiếu vuông góc điểm vị trí vật xuống hai trục Ox và Oy.
Vị trí của bật trên mặt phẳng được xác định bằng hai tọa độ x và y.
Bài 4 (trang 11 SGK Vật Lý 10) - Video giải tại 1:00:34 Phân biệt hệ tọa độ và hệ quy chiếu.
Lời giải:
- Hệ tọa độ gồm vật làm mốc, các trục tọa độ Ox, Oy, Oz. Hệ tọa độ dùng xác định vị trí vật.
- Hệ quy chiếu bao gồm hệ tọa độ, mốc thời gian và đồng hồ. Hệ quy chiếu giúp ta không những xác định được vị trí của vật mà còn xác định được cả thời gian của chuyển động.
Bài 5 (trang 11 SGK Vật Lý 10) - Video giải tại 1:02:22Trường hợp nào dưới đây có thể coi vật là chất điểm ?
A. Trái Đất trong chuyển động tự quay quanh mình nó.
B. Hai hòn bi lúc va chạm với nhau.
C. Người nhảy cầu lúc đang rơi xuống nước.
D. Giọt nước mưa lúc đang rơi.
Lời giải:
Chọn D.
Giọt nước mưa đang rơi có kích thước rất nhỏ so với quãng đường rơi nên được coi như một chất điểm.
Bài 6 (trang 11 SGK Vật Lý 10) - Video giải tại 1:06:15 Một người chỉ đường cho một khách du lịch như sau: "Ông hãy đi dọc theo phố này đến bờ một hồ lớn. Đứng tại đó, nhìn sang bên kia hồ theo hướng Tây Bắc, ông sẽ thấy tòa nhà của khách sạn S". Người chỉ đường đã xác định vị trí của khách sạn S theo cách nào?
A. Cách dùng đường đi và vật làm mốc.
B. Các dùng các trục tọa độ.
C. Dùng cả hai cách A và B.
D. Không dùng cả hai cách A và B.
Lời giải:
Chọn C.
Đi dọc theo phố này đến một bờ hồ lớn: là cách dùng đường đi và vật làm mốc (A); Đứng ở bờ hồ, nhìn sang hướng Tây Bắc, ông sẽ thấy tòa khách sạn S: là cách dùng các trục tọa độ (B).
Bài 7 (trang 11 SGK Vật Lý 10) - Video giải tại 1:09:23 Trong các cách chọn hệ trục tọa độ và mốc thời gian dưới đây, cách nào thích hợp nhất để xác định vị trí của một máy bay đang bay trên đường dài?
A. Khoảng cách đến ba sân bay lớn; t = 0 là lúc máy bay cất cánh.
B. Khoảng cách đến ba sân bay lớn; t = 0 là lúc 0 giờ quốc tế.
C. Kinh độ, vĩ độ địa lí và độ cao của máy bay; t = 0 là lúc máy bay cất cánh.
D. Kinh độ, vĩ độ địa lí và độ cao của máy bay; t = 0 là 0 giờ quốc tế.
Lời giải:
Chọn D: Trong không gian, để xác định vị trí một vật, thường chọn hệ trục tọa độ gồm 3 trục Ox, Oy, Oz vuông góc với nhau. Hệ trục tọa độ không gian được xác định theo kinh độ, vĩ độ địa lý gốc. Độ cao của máy bay tính theo mực nước biển, giờ quốc tế GMT cũng là giờ chuẩn lấy gốc từ kinh tuyến 0.
Lưu ý: không lấy t = 0 là lúc máy bay cất cánh vì trong một ngày, một hãng hàng không sẽ có rất nhiều chuyến bay, do vậy mỗi lần bay lấy một gốc thì việc định và quản lý các chuyến bay là rất vất vả và không khoa học. Ngoài gia dùng t = 0 là giờ quốc tế giúp hành khách định rõ được thời gian chuyến bay của mình bắt đầu từ thời điểm nào đối với giờ địa phương.
Bài 8 (trang 11 SGK Vật Lý 10) - Video giải tại 1:14:59 Để xác định vị trí của một tàu biển giữa đại dương, người ta dùng những tọa độ nào?
Lời giải:
Để xác định vị trí của một vật trên một mặt phẳng, người ta dùng hệ trục tọa độ gồm 2 trục Ox và Oy vuông góc với nhau. Để xác định vị trí của một tàu biển giữa đại dương, người ta dùng trục Ox là vĩ độ, trục Oy là kinh độ của tàu.
Bài 9 (trang 11 SGK Vật Lý 10) - Video giải tại 1:17:48 Nếu lấy mốc thời gian là lúc 5 giờ 15 phút thì sau ít nhất bao lâu kim phút đuổi kịp kim giờ?
Lời giải:
Sử dụng đơn vị đo góc là rad (ra-đi-an): π (rad) ứng với 180o, 1 vòng tương ứng với góc 2π (rad).
Vòng tròn chia làm 12 khoảng. Mỗi khoảng ứng với cung là:
Trong 1 giờ kim phút quay được 1 vòng = 2π, kim giờ quay được một góc bằng
Lúc 5 giờ 00 phút, kim phút nằm đúng số 12, kim giờ nằm đúng số 5, sau đó 15 phút thì kim phút nằm đúng số 3, kim giờ quay thêm được một góc:
→ kim phút nằm cách kim giờ một cung là:
1 giây kim phút quay được 1 cung là:
1 giây kim giờ quay được 1 cung là
Sau 1 giây kim phút sẽ đuổi kim giờ (rút ngắn) được một cung là
Thời gian để kim phút đuổi kịp kim giờ (Rút ngắn hết khoảng cách 3π/8 rad) là :
Vậy sau thời gian t = 12 phút 16,36 giây thì kim phút đuổi kịp kim giờ lấy mốc thời gian lúc 5 giờ 15 phút.
Xem thêm các bài Giải bài tập Vật Lí 10 (có video) hay khác:
- Bài 1: Chuyển động cơ
- Bài 2: Chuyển động thẳng đều
- Bài 3: Chuyển động thẳng biến đổi đều
- Bài 4: Sự rơi tự do
- Bài 5: Chuyển động tròn đều
Để học tốt lớp 10 các môn học sách mới:
- Giải bài tập Lớp 10 Kết nối tri thức
- Giải bài tập Lớp 10 Chân trời sáng tạo
- Giải bài tập Lớp 10 Cánh diều
Tủ sách VIETJACK shopee lớp 10-11 (cả 3 bộ sách):
Đã có app VietJack trên điện thoại, giải bài tập SGK, SBT Soạn văn, Văn mẫu, Thi online, Bài giảng....miễn phí. Tải ngay ứng dụng trên Android và iOS.
Theo dõi chúng tôi miễn phí trên mạng xã hội facebook và youtube:Nếu thấy hay, hãy động viên và chia sẻ nhé! Các bình luận không phù hợp với nội quy bình luận trang web sẽ bị cấm bình luận vĩnh viễn.
- Giải Tiếng Anh 10 Global Success
- Giải Tiếng Anh 10 Friends Global
- Giải sgk Tiếng Anh 10 iLearn Smart World
- Giải sgk Tiếng Anh 10 Explore New Worlds
- Lớp 10 - Kết nối tri thức
- Soạn văn 10 (hay nhất) - KNTT
- Soạn văn 10 (ngắn nhất) - KNTT
- Soạn văn 10 (siêu ngắn) - KNTT
- Giải sgk Toán 10 - KNTT
- Giải sgk Vật lí 10 - KNTT
- Giải sgk Hóa học 10 - KNTT
- Giải sgk Sinh học 10 - KNTT
- Giải sgk Địa lí 10 - KNTT
- Giải sgk Lịch sử 10 - KNTT
- Giải sgk Kinh tế và Pháp luật 10 - KNTT
- Giải sgk Tin học 10 - KNTT
- Giải sgk Công nghệ 10 - KNTT
- Giải sgk Hoạt động trải nghiệm 10 - KNTT
- Giải sgk Giáo dục quốc phòng 10 - KNTT
- Lớp 10 - Chân trời sáng tạo
- Soạn văn 10 (hay nhất) - CTST
- Soạn văn 10 (ngắn nhất) - CTST
- Soạn văn 10 (siêu ngắn) - CTST
- Giải Toán 10 - CTST
- Giải sgk Vật lí 10 - CTST
- Giải sgk Hóa học 10 - CTST
- Giải sgk Sinh học 10 - CTST
- Giải sgk Địa lí 10 - CTST
- Giải sgk Lịch sử 10 - CTST
- Giải sgk Kinh tế và Pháp luật 10 - CTST
- Giải sgk Hoạt động trải nghiệm 10 - CTST
- Lớp 10 - Cánh diều
- Soạn văn 10 (hay nhất) - Cánh diều
- Soạn văn 10 (ngắn nhất) - Cánh diều
- Soạn văn 10 (siêu ngắn) - Cánh diều
- Giải sgk Toán 10 - Cánh diều
- Giải sgk Vật lí 10 - Cánh diều
- Giải sgk Hóa học 10 - Cánh diều
- Giải sgk Sinh học 10 - Cánh diều
- Giải sgk Địa lí 10 - Cánh diều
- Giải sgk Lịch sử 10 - Cánh diều
- Giải sgk Kinh tế và Pháp luật 10 - Cánh diều
- Giải sgk Tin học 10 - Cánh diều
- Giải sgk Công nghệ 10 - Cánh diều
- Giải sgk Hoạt động trải nghiệm 10 - Cánh diều
- Giải sgk Giáo dục quốc phòng 10 - Cánh diều


Giải bài tập SGK & SBT
Tài liệu giáo viên
Sách
Khóa học
Thi online
Hỏi đáp

