Vật Lí 11 Bài 32: Kính lúp
Vật Lí 11 Bài 32: Kính lúp
Video Giải Vật Lí 11 Bài 32: Kính lúp - Thầy Lê Xuân Vượng (Giáo viên VietJack)
C1 trang 205 SGK: Số bội giác phụ thuộc vào những yếu tố nào?
Trả lời:
Số bội giác G của một công cụ quang bổ trợ cho mắt là tỉ số giữa góc trông ảnh α của một vật qua dụng cụ quang học đó với góc trông trực tiếp αo của vật đó khi đặt vật tại điểm cực cận của mắt.
Số bội giác G của một dụng cụ quang học phụ thuộc vào góc trông của vật và góc trông ảnh.
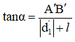
C2 trang 207 SGK: Hãy thiết lậy công thức của bội giác khi ngắm chừng ở điểm cận.
Trả lời:
Số bội giác:
Kính lúp:
Do đó:
Với:
là độ phóng đại của ảnh qua kính.
Mắt thường: OCc = Đ = 25cm.
Bài 1 (trang 208 SGK Vật Lý 11): Các dụng cụ quang phổ bổ trọ có tác dụng tạo ra ảnh ra sao? Định nghĩa số bội giác.
Trả lời:
Các tác đụng quang phổ bổ trợ cho mắt có tác dụng tạo ra ảnh ảo, sao cho các góc trông ảnh α lớn hơn góc trông trực tiếp vật αo.
Số bội giác G của một công cụ quang phổ bổ trợ cho mắt là tỉ số giữa góc trông ảnh α của một vật quang học đó với góc trông trực tiếp αo của vật đó khi đặt vật tại điểm cực cận của mắt.
Bài 2 (trang 208 SGK Vật Lý 11): Kính lúp cấu tạo như thế nào?
Trả lời:
Kính lúp là một thấu kính hội tụ hay một hệ ghép tương đương với thấu kính hội tụ có tiêu cự ngắn (cỡ vài cm).
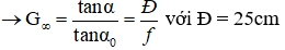
Bài 3 (trang 208 SGK Vật Lý 11): Vẽ đường truyền của chùm tia sáng ứng với mắt ngắm chừng kình lúp ở vô cực. Viết công thức só bội giác của kính lúp trong trường hợp này.
Trả lời:
Vẽ đường truyền của chùm tia sáng ứng với mắt ngắm chừng kính lúp ở vô cực hình vẽ:
• Ta có:
• Nếu ngắm chừng ở vô cực: A’B' ở ∞ → vật AB ở F
Các giá trị ghi trên vành kính là:
Bài 4 (trang 208 SGK Vật Lý 11): Yếu tố nào sau đây không ảnh hưởng đến giá trị của số bội giác?
A. Kích thước vật
B. Đặc điểm của mắt
C. Đặc điểm của kính lúp.
D. Không có ( các yếu tố A, B, C đều ảnh hưởng).
Lời giải:
Công thức tính bội giác của kính lúp ngắm chừng ở vô cực:
Trong đó OCc phụ thuộc vào đặc điểm của mắt. Qui ước khoảng cực cận của mắt thường là OCc=Đ=25cm. f là tiêu cự của ảnh.
* Yếu tố không ảnh hưởng đến giá trị của số bội giác là kích thước của vật.
Đáp số: A
Bài 5 (trang 208 SGK Vật Lý 11): Tiếp câu hỏi 4
Cách thực hiện nào sau đây vẫn cho phép ngắm chừng ở vô cực?
A. Dời vật
B. Dời thấu kính
C. Dời mắt
D. Không cách nào
Lời giải:
Từ công thức:
→ G∞ không phụ thuộc vào khoảng cách kính – Mắt ⇒ Để tiếp tục ngắm chừng ở vô cực ta có thể dời mắt.
Đáp án: C
Bài 6 (trang 208 SGK Vật Lý 11): Một học sinh cận thị có các điểm Cc,Cv cách mắt lần lượt là 10cm và 90 cm. Học sịnh này dùng kính lúp có độ tụ + 10dp để quan sát một vật nhỏ. Mắt đặt sát kính.
a) Vật phải đặt trong khoảng cách nào trước kính.
b) Một học sinh khác, có mắt không bị cận, ngắm chừng kính lúp nói trên ở vô cực. Cho OCc=25 cm. Tính số bội giác.
Lời giải:
a) OCc = 10cm; OCv = 90cm; D = 10dp; l = 0
Sơ đồ tạo ảnh qua kính: vật -KL→ ảnh ảo A’B’ ≡ CC
Tiêu cự của kính là:
Với thấu kính (L) học sinh cận thị thấy rõ vật ở khoảng cách xa nhất dM khi ảnh ảo của nó ở cực viễn Cv và kính đeo sát mắt (l = 0):
Tương tự, học sinh cận thị thấy rõ vật ở khoảng cách gần nhất dm khi ảnh ảo của nó ở cận cực Cc:
• Vậy phải đặt trong khoảng trước kính: 5cm ≤ d ≤ 9cm
b) Trường hợp học sinh mắt không bị tật, ngắm chừng kính lúp nói ở trên vô cực thì số bội giác là:
Đáp số: a) 5cm ≤ d ≤ 9cm b) G∞ = 2,5
Xem thêm các bài Giải bài tập Vật Lí 11 (có video) hay khác:
- Bài 31: Mắt
- Bài 33: Kính hiển vi
- Bài 34: Kính thiên văn
- Bài 35: Thực hành: Xác định tiêu cự của thấu kính phân kì
Tủ sách VIETJACK shopee lớp 10-11 (cả 3 bộ sách):
Đã có app VietJack trên điện thoại, giải bài tập SGK, SBT Soạn văn, Văn mẫu, Thi online, Bài giảng....miễn phí. Tải ngay ứng dụng trên Android và iOS.
Theo dõi chúng tôi miễn phí trên mạng xã hội facebook và youtube:Nếu thấy hay, hãy động viên và chia sẻ nhé! Các bình luận không phù hợp với nội quy bình luận trang web sẽ bị cấm bình luận vĩnh viễn.
- Giải Tiếng Anh 11 Global Success
- Giải sgk Tiếng Anh 11 Smart World
- Giải sgk Tiếng Anh 11 Friends Global
- Lớp 11 - Kết nối tri thức
- Soạn văn 11 (hay nhất) - KNTT
- Soạn văn 11 (ngắn nhất) - KNTT
- Giải sgk Toán 11 - KNTT
- Giải sgk Vật Lí 11 - KNTT
- Giải sgk Hóa học 11 - KNTT
- Giải sgk Sinh học 11 - KNTT
- Giải sgk Lịch Sử 11 - KNTT
- Giải sgk Địa Lí 11 - KNTT
- Giải sgk Giáo dục KTPL 11 - KNTT
- Giải sgk Tin học 11 - KNTT
- Giải sgk Công nghệ 11 - KNTT
- Giải sgk Hoạt động trải nghiệm 11 - KNTT
- Giải sgk Giáo dục quốc phòng 11 - KNTT
- Giải sgk Âm nhạc 11 - KNTT
- Lớp 11 - Chân trời sáng tạo
- Soạn văn 11 (hay nhất) - CTST
- Soạn văn 11 (ngắn nhất) - CTST
- Giải sgk Toán 11 - CTST
- Giải sgk Vật Lí 11 - CTST
- Giải sgk Hóa học 11 - CTST
- Giải sgk Sinh học 11 - CTST
- Giải sgk Lịch Sử 11 - CTST
- Giải sgk Địa Lí 11 - CTST
- Giải sgk Giáo dục KTPL 11 - CTST
- Giải sgk Hoạt động trải nghiệm 11 - CTST
- Giải sgk Âm nhạc 11 - CTST
- Lớp 11 - Cánh diều
- Soạn văn 11 Cánh diều (hay nhất)
- Soạn văn 11 Cánh diều (ngắn nhất)
- Giải sgk Toán 11 - Cánh diều
- Giải sgk Vật Lí 11 - Cánh diều
- Giải sgk Hóa học 11 - Cánh diều
- Giải sgk Sinh học 11 - Cánh diều
- Giải sgk Lịch Sử 11 - Cánh diều
- Giải sgk Địa Lí 11 - Cánh diều
- Giải sgk Giáo dục KTPL 11 - Cánh diều
- Giải sgk Tin học 11 - Cánh diều
- Giải sgk Công nghệ 11 - Cánh diều
- Giải sgk Hoạt động trải nghiệm 11 - Cánh diều
- Giải sgk Giáo dục quốc phòng 11 - Cánh diều
- Giải sgk Âm nhạc 11 - Cánh diều


Giải bài tập SGK & SBT
Tài liệu giáo viên
Sách
Khóa học
Thi online
Hỏi đáp

