Vật Lí 11 Bài 33: Kính hiển vi
Vật Lí 11 Bài 33: Kính hiển vi
Video Giải Vật Lí 11 Bài 33: Kính hiển vi - Thầy Lê Xuân Vượng (Giáo viên VietJack)
C1 trang 210 SGK: Tại sao phải kẹp vật giữa hai bản thủy tinh mỏng khi quan sát vật bằng kính hiển vi?
Trả lời:
Để quan sát được ảnh của vật qua kinh hiển vi, ta phải điều chỉnh khoảng cách từ vật đến kính d1 sao cho ảnh của vật qua kính nằm trong khoảng giới hạn thấy rõ Cc Cv của mắt.
Đối với kính hiển vi, khoảng cách dịch chuyển Δd1 này rất nhỏ ( cỡ chừng vài chục μm).
Do đó, ta phải kẹp vật giữa hai bản thủy tinh mỏng khi quan sát vật bằng kính hiểu vi, để khi điều chỉnh vật kính không chạm vật.
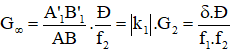
C2 trang 211 SGK: Hãy thiết lập hệ thức: G∞=|k1 | G2
Trả lời:
Vì α, α0 rất nhỏ nên:
Do đó:
Với:
là độ phóng đại của ảnh qua kính hiển vị.
Trường hợp ngắm chừng ở vô cực, từ hình vẽ, ta thấy:
A’2B’2 ở ∞ ⇒ A’1B’1 ở F2: chùm tia từ A’2B’2 tới mắt là chùm sáng song song.
Do đó:
C3 trang 212 SGK: Hãy thiết lập hệ thức:
Trả lời:
Cũng như hình vẽ bài C2 ta có:
ΔA’1B’1F'1 đồng dạng với ΔIO1F'1. Do đó:
Do đó:
Trong đó: δ = F'1F2 là độ dài quang học của kính hiển vi.
Thế vào công thức:
Bài 1 (trang 212 SGK Vật Lý 11): Nêu công dụng và cấu tạo của kính hiển vi.
Trả lời:
* Công dụng: Kính hiển vi là một công cụ phổ quang học hổ trợ cho mắt trong việc quan sát các vật rất nhỏ, bằng cách tạo ảnh có góc trông lớn. Số bội giác của kính hiển vi lớn hơn nhiều so với số bội giác của kính lúp.
* Cấu tạo: Bộ phận chính là thấu kính hội tụ: Vật kính O1 có tiêu cự rất ngắn ( cỡ vài mm), thị kính O2 có tiêu cự rất ngắn ( cỡ vài cm).
Bài 2 (trang 212 SGK Vật Lý 11): Nêu đặc điểm tiêu cự của vật kính và thị kính của kính hiển vi.
Trả lời:
- Tiêu cự của vật kính rất nhỏ (cỡ milimet)
- Tiêu cự của thị kính nhỏ (cỡ xencimet)
Bài 3 (trang 212 SGK Vật Lý 11): Muốn điều chỉnh kính hiển vi, ta thực hiện ra sao? Khoảng xe dịch khi điều chỉnh kính hiển vi có giá trị như thế nào?
Trả lời:
Muốn điều chỉnh kính hiển vị, ta phải điều chỉnh khoảng cách từ vật đến kính d1 sao cho ảnh của bật qua kính nằm trong khoảng giới hạn thấy rõ Cc Cv của mắt.
Đối với kính hiển vi, khoảng dịch chuyển Δd1 này rất nhỏ (cỡ chừng vài chục μm).
Bài 4 (trang 212 SGK Vật Lý 11): Vẽ dường truyền của chùm tia ứng với mắt ngắm chứng kính hiển vi ở vô cực.
Trả lời:
Đường truyền của chùm tia sáng với mắt kính chừng kính hiển vi ở vô cực ở hình vẽ:
Bài 5 (trang 212 SGK Vật Lý 11): Viết công thức số bội giác của kính hiển vi khi mắt ngắm chừng ở vô cực.
Trả lời:
Số bội giác của kính hiển vi khi mắt ngắm chừng ở vô cực:
Bài 6 (trang 212 SGK Vật Lý 11): Hãy chọn đáp án đúng
Vật kính của kính hiển vi tạo ảnh có tính chất nào?
A. (1)+ (3)
B. (2) + (4)
C. (1) +(4) + (5)
D. (2) + (4) + (5 )
Lời giải:
Vật kính của kính hiển vi tạo ảnh có các tính chất:
* Thật;
* Ngược chiều với vật
* Lớn hơn vật
=> (1) + (4) +(5)
Đáp số: C
Bài 7 (trang 212 SGK Vật Lý 11): Hãy chọn đáp án đúng
Thị kính của kính hiển vi tạo ảnh có các tính chất nào?
A. (1 ) +(4)
B. (2) + (4)
C. (1) + (3 ) + (5)
D. (2) +(3) +(5)
Lời giải:
Thị kính của kính hiển vi tạo ảnh so với vật của nó có các tính chất:
- ảo;
- cùng chiều với vật;
- lớn hơn vật.
=>(2) + (3) + (5)
Đáp số: D
Bài 8 (trang 212 SGK Vật Lý 11): Hãy chọn đáp án đúng
Khi quan sát một vật nhỏ thì ảnh của vật tạo bởi kính hiển vi có các tính chất?
A. (1) + (5)
B. (2) + (3)
C. (1) + (3) + (5)
D. (2) + (4) + (5)
Lời giải:
Khi quan sát một vật nhỏ thì ảnh của vật tạo bởi kính hiển vi có các tính chất sau:
- Ảo;
- Ngược chiều với vật;
- Lớn hơn vật.
=> (2) + (4) + (5)
Đáp án: D
Bài 9 (trang 212 SGK Vật Lý 11): Một kính hiển vi có tiêu cự vật kính và thị kính là f1=1cm;f2=4cm. Độ dài quang học của kính là 16cm. Người quan sát có mắt không bị tật và có khoảng cực cận OCc=20cm. Người này ngắm chừng ở vô cực.
a) Tính số bội giác của ảnh.
b) Năng suất phân li của mắt người quan sát là 2'. Tính khoảng cách ngắn nhất giữa hai điểm của vật mà mắt người quan sát còn phân biệt được ảnh.
Lời giải:
a) Khi ngắm chừng ở vô cực, số bội giác khi đó là:
b) Khoảng cách ngắn nhất ABmin:
Ta có:
Mà
Đáp số: a) Gv = 80; b) ABmin = 1,43 μm
Xem thêm các bài Giải bài tập Vật Lí 11 (có video) hay khác:
- Bài 31: Mắt
- Bài 32: Kính lúp
- Bài 34: Kính thiên văn
- Bài 35: Thực hành: Xác định tiêu cự của thấu kính phân kì
Tủ sách VIETJACK shopee lớp 10-11 (cả 3 bộ sách):
Đã có app VietJack trên điện thoại, giải bài tập SGK, SBT Soạn văn, Văn mẫu, Thi online, Bài giảng....miễn phí. Tải ngay ứng dụng trên Android và iOS.
Theo dõi chúng tôi miễn phí trên mạng xã hội facebook và youtube:Nếu thấy hay, hãy động viên và chia sẻ nhé! Các bình luận không phù hợp với nội quy bình luận trang web sẽ bị cấm bình luận vĩnh viễn.
- Giải Tiếng Anh 11 Global Success
- Giải sgk Tiếng Anh 11 Smart World
- Giải sgk Tiếng Anh 11 Friends Global
- Lớp 11 - Kết nối tri thức
- Soạn văn 11 (hay nhất) - KNTT
- Soạn văn 11 (ngắn nhất) - KNTT
- Giải sgk Toán 11 - KNTT
- Giải sgk Vật Lí 11 - KNTT
- Giải sgk Hóa học 11 - KNTT
- Giải sgk Sinh học 11 - KNTT
- Giải sgk Lịch Sử 11 - KNTT
- Giải sgk Địa Lí 11 - KNTT
- Giải sgk Giáo dục KTPL 11 - KNTT
- Giải sgk Tin học 11 - KNTT
- Giải sgk Công nghệ 11 - KNTT
- Giải sgk Hoạt động trải nghiệm 11 - KNTT
- Giải sgk Giáo dục quốc phòng 11 - KNTT
- Giải sgk Âm nhạc 11 - KNTT
- Lớp 11 - Chân trời sáng tạo
- Soạn văn 11 (hay nhất) - CTST
- Soạn văn 11 (ngắn nhất) - CTST
- Giải sgk Toán 11 - CTST
- Giải sgk Vật Lí 11 - CTST
- Giải sgk Hóa học 11 - CTST
- Giải sgk Sinh học 11 - CTST
- Giải sgk Lịch Sử 11 - CTST
- Giải sgk Địa Lí 11 - CTST
- Giải sgk Giáo dục KTPL 11 - CTST
- Giải sgk Hoạt động trải nghiệm 11 - CTST
- Giải sgk Âm nhạc 11 - CTST
- Lớp 11 - Cánh diều
- Soạn văn 11 Cánh diều (hay nhất)
- Soạn văn 11 Cánh diều (ngắn nhất)
- Giải sgk Toán 11 - Cánh diều
- Giải sgk Vật Lí 11 - Cánh diều
- Giải sgk Hóa học 11 - Cánh diều
- Giải sgk Sinh học 11 - Cánh diều
- Giải sgk Lịch Sử 11 - Cánh diều
- Giải sgk Địa Lí 11 - Cánh diều
- Giải sgk Giáo dục KTPL 11 - Cánh diều
- Giải sgk Tin học 11 - Cánh diều
- Giải sgk Công nghệ 11 - Cánh diều
- Giải sgk Hoạt động trải nghiệm 11 - Cánh diều
- Giải sgk Giáo dục quốc phòng 11 - Cánh diều
- Giải sgk Âm nhạc 11 - Cánh diều


Giải bài tập SGK & SBT
Tài liệu giáo viên
Sách
Khóa học
Thi online
Hỏi đáp

