Vật Lí 9 Bài 43: Ảnh của một vật tạo bởi thấu kính hội tụ
Giải sgk Vật Lí 9 Bài 43: Ảnh của một vật tạo bởi thấu kính hội tụ
Video Giải bài tập Vật Lí 9 Bài 43: Ảnh của một vật tạo bởi thấu kính hội tụ - Thầy Đặng Tài Quang (Giáo viên VietJack)
Bài C1 trang 116 SGK Vật Lý 9 (Video giải tại 1:11): Đặt vật ở xa thấu kính và màn ở sát thấu kính. Từ từ dịch chuyển màn ra xa thấu kính cho đến khi xuất hiện ảnh rõ nét của vật ở trên màn, do là ảnh thật. Ảnh thật cùng chiều hay ngược chiều so với vật?
Lời giải:
Ảnh thật ngược chiều so với vật.
Bài C2 trang 116 SGK Vật Lý 9 (Video giải tại 2:31): Dịch chuyển vật vào gần thấu kính hơn. Tiến hành thí nghiệm như trên, có thu được ảnh của vật trên màn nữa không? Ảnh thật hay ảo? Ảnh cùng chiều hay ngược chiều so với vật?
Lời giải:
Khi vật lại gần thấu kính hơn nữa, ta không còn thu được ảnh thật ngược chiều với vật trên man nữa, mà ta sẽ quan sát thấy một ảnh ảo, cùng chiều với vật và lớn hơn vật.
Bài C3 trang 116 SGK Vật Lý 9 (Video giải tại 4:08): Hãy chứng tỏ rằng không hứng được ảnh của vật ở trên màn. Hãy quan sát ảnh của vật qua thấu kính và cho biết đó là ảnh thật hay ảo, cùng chiều hay ngược chiều, lớn hơn hay nhỏ hơn vật.
Lời giải:
Đặt vật trong khoảng tiêu cự, màn ở sát thấu kính. Từ từ dịch chuyến màn ra xa thấu kính, không hứng được ảnh ở trên màn. Đặt mắt trên đường truyền của chùm tia ló, ta quan sát thấy ảnh cùng chiều, lớn hơn vật. Đó là ảnh ảo và không hứng được trên màn.
Bài C4 trang 117 SGK Vật Lý 9 (Video giải tại 14:32): Hãy dựng ảnh S' của điếm sáng S trên hình 43.3 SGK.
Lời giải:
Dùng 2 trong 3 tia đặc biệt đã học để dựng ảnh (H.43.3a)
+ Tia tới SI là tia đi song song với trục chính nên cho tia ló đi qua tiêu điểm F’
+ Tia tới SO là tia đi quang tâm O nên cho tia ló đi thẳng
Hai tia ló trên giao nhau tại S’, ta thu được ảnh thật S’ của S qua thấu kính.
Bài C5 trang 117 SGK Vật Lý 9 (Video giải tại 17:26): Vật sáng AB được đặt vuông góc với trục chính của thấu kính hội tụ có tiêu cự f = 12cm. Điểm A nằm trên trục chính. Hãy dựng ảnh A'B' của AB và nhận xét đặc điểm của ảnh A'B' trong hai trường hợp:
- Vật AB cách thấu kính một khoảng d = 36cm (hình 43.4a SGK).
- Vật AB cách thấu kính một khoảng d = 8cm (hình 43.4b SGK).
Lời giải:
Dựng ảnh của vật sáng AB qua thấu kính hội tụ. Dùng hai trong ba tia sáng đã học để dựng ảnh B’ của điểm B.
+ Vật AB cách thấu kính d = 36 cm, vật ngoài khoảng OF.
Tia BI đi song song với trục chính nên cho tia ló đi qua F’
Tia tới BO là tia đi quang tâm O nên cho tia ló đi thẳng
Hai tia ló trên giao nhau tại B’, ta thu được ảnh thật B’ của B qua thấu kính.
Từ B’ hạ vuông góc với trục của thấu kính, cắt trục chính tại điểm A’. A’ là ảnh của điểm A. A’B’ là ảnh của AB tạo bởi thấu kính hội tụ.
Nhận xét: Ảnh A’B” là ảnh thật ngược chiều với vật khi vật được đặt ngoài khoảng tiêu cự ( Hình 43.4a)
+ Vật AB cách thấu kính d = 8 cm, vật nằm trong khoảng OF.
Tia BI đi song song với trục chính nên cho tia ló đi qua F’
Tia tới BO là tia đi quang tâm O nên cho tia ló đi thẳng
Hai tia ló trên có đường kéo dài giao nhau tại B’, ta thu được ảnh ảo B’ của B qua thấu kính.
Từ B’ hạ vuông góc với trục của thấu kính, cắt trục chính tại điểm A’. A’ là ảnh của điểm A. A’B’ là ảnh của AB tạo bởi thấu kính hội tụ.
Nhận xét: Ảnh ảo A’B’ cùng chiều với vật và lớn hơn vật khi vật được đặt trong khoảng tiêu cự (Hình 43.4b)
Bài C6 trang 118 SGK Vật Lý 9 (Video giải tại 25:07): Vận dụng kiến thức hình học, hãy tính khoảng cách từ ảnh đến thấu kính và chiều cao của ảnh trong hai trường hợp ở C5. Cho biết vật AB có chiều cao h = lcm.
Lời giải:
Ta đặt: OA = d; OA’ = d’; OF = OF’ = f
+) Vật AB cách thấu kính d = 36 cm, vật ngoài khoảng OF.
Trên hình 43.4a, xét hai cặp tam giác đồng dạng:
ΔABO và ΔA’B’O; ΔA’B’F’ và ΔOIF’.
Từ hệ thức đồng dạng được:
Vì AB = OI (tứ giác BIOA là hình chữ nhật)
↔ dd’ – df = d’f (1)
Chia cả hai vế của (1) cho tích d.d’.f ta được:
(đây được gọi là công thức thấu kính cho trường hợp ảnh thật)
Thay d = 36cm, f = 12cm ta tính được: OA’ = d’ = 18cm
Thay vào (*) ta được:
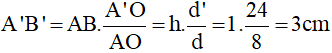
+) Vật AB cách thấu kính d = 8 cm, vật nằm trong khoảng OF
Trên hình 43.4b, xét hai cặp tam giác đồng dạng:
ΔA’B’F’ và ΔOIF’; ΔOAB và ΔOA’B’.
Từ hệ thức đồng dạng ta có:
Vì AB = OI (tứ giác BIOA là hình chữ nhật)
↔ dd’ + df = d’f (2)
Chia cả hai vế của (2) cho tích d.d’.f ta được:
(đây được gọi là công thức thấu kính cho trường hợp ảnh ảo)
Thay d = 8cm, f = 12cm ta tính được: OA’ = d’ = 24cm
Thay vào (**) ta được:
Bài C7 trang 118 SGK Vật Lý 9 (Video giải tại 41:23): Trả lời câu hỏi nêu ra ở phần đầu bài.
Lời giải:
Dịch chuyển thấu kính hội tụ ra xa trang sách, ảnh của dòng chữ quan sát qua thấu kính cùng chiều và to hơn dòng chữ quan sát trực tiếp. Đó là ảnh ảo của dòng chữ tạo bởi thấu kính hội tụ khi dòng chữ nằm trong khoảng tiêu cự của thấu kính.
Đến một vị trí nào đó, ảnh của dòng chữ ngược chiều với vật. Đó là ảnh thật của dòng chữ tạo bởi thấu kính hội tụ, khi dòng chữ nằm ngoài khoảng tiêu cự của thấu kính, và ảnh thật đó nằm ở trước mắt.
Xem thêm các bài Giải bài tập Vật Lí 9 (có video) hay khác:
- Bài 42: Thấu kính hội tụ
- Bài 44: Thấu kính phân kì
- Bài 45: Ảnh của một vật tạo bởi thấu kính phân kì
- Bài 46: Thực hành : Đo tiêu cự của thấu kính hội tụ
- Bài 47: Sự tạo ảnh trong máy ảnh
Tủ sách VIETJACK luyện thi vào 10 cho 2k11 (2026):
Đã có app VietJack trên điện thoại, giải bài tập SGK, SBT Soạn văn, Văn mẫu, Thi online, Bài giảng....miễn phí. Tải ngay ứng dụng trên Android và iOS.
Theo dõi chúng tôi miễn phí trên mạng xã hội facebook và youtube:Loạt bài Video Giải bài tập Vật Lí 9 chi tiết của chúng tôi được các Thầy/Cô biên soạn công phu bám sát nội dung sgk Vật Lí lớp 9.
Nếu thấy hay, hãy động viên và chia sẻ nhé! Các bình luận không phù hợp với nội quy bình luận trang web sẽ bị cấm bình luận vĩnh viễn.
- Giải Tiếng Anh 9 Global Success
- Giải sgk Tiếng Anh 9 Smart World
- Giải sgk Tiếng Anh 9 Friends plus
- Lớp 9 Kết nối tri thức
- Soạn văn 9 (hay nhất) - KNTT
- Soạn văn 9 (ngắn nhất) - KNTT
- Giải sgk Toán 9 - KNTT
- Giải sgk Khoa học tự nhiên 9 - KNTT
- Giải sgk Lịch Sử 9 - KNTT
- Giải sgk Địa Lí 9 - KNTT
- Giải sgk Giáo dục công dân 9 - KNTT
- Giải sgk Tin học 9 - KNTT
- Giải sgk Công nghệ 9 - KNTT
- Giải sgk Hoạt động trải nghiệm 9 - KNTT
- Giải sgk Âm nhạc 9 - KNTT
- Giải sgk Mĩ thuật 9 - KNTT
- Lớp 9 Chân trời sáng tạo
- Soạn văn 9 (hay nhất) - CTST
- Soạn văn 9 (ngắn nhất) - CTST
- Giải sgk Toán 9 - CTST
- Giải sgk Khoa học tự nhiên 9 - CTST
- Giải sgk Lịch Sử 9 - CTST
- Giải sgk Địa Lí 9 - CTST
- Giải sgk Giáo dục công dân 9 - CTST
- Giải sgk Tin học 9 - CTST
- Giải sgk Công nghệ 9 - CTST
- Giải sgk Hoạt động trải nghiệm 9 - CTST
- Giải sgk Âm nhạc 9 - CTST
- Giải sgk Mĩ thuật 9 - CTST
- Lớp 9 Cánh diều
- Soạn văn 9 Cánh diều (hay nhất)
- Soạn văn 9 Cánh diều (ngắn nhất)
- Giải sgk Toán 9 - Cánh diều
- Giải sgk Khoa học tự nhiên 9 - Cánh diều
- Giải sgk Lịch Sử 9 - Cánh diều
- Giải sgk Địa Lí 9 - Cánh diều
- Giải sgk Giáo dục công dân 9 - Cánh diều
- Giải sgk Tin học 9 - Cánh diều
- Giải sgk Công nghệ 9 - Cánh diều
- Giải sgk Hoạt động trải nghiệm 9 - Cánh diều
- Giải sgk Âm nhạc 9 - Cánh diều
- Giải sgk Mĩ thuật 9 - Cánh diều


Giải bài tập SGK & SBT
Tài liệu giáo viên
Sách
Khóa học
Thi online
Hỏi đáp

