Vật Lí 9 Bài 8: Sự phụ thuộc của điện trở vào tiết diện dây dẫn
Giải sgk Vật Lí 9 Bài 8: Sự phụ thuộc của điện trở vào tiết diện dây dẫn
Video Giải bài tập Vật Lí 9 Bài 8: Sự phụ thuộc của điện trở vào tiết diện dây dẫn - Thầy Đặng Tài Quang (Giáo viên VietJack)
Bài C1 trang 22 SGK Vật Lý 9 (Video giải tại 1:29): Hãy tính điện trở tương đương R2 của hai dây dẫn trong sơ đồ hình 8.1b (SGK) và điện trở tương đương R3của ba dây dẫn trong sơ đồ hình 8.1c (SGK).
Lời giải:
+ Trong mạch điện hình 8.1b, ta nhận thấy điện trở R2 được tạo nên từ 2 điện trở R1 = R ghép song song với nhau.
Điện trở tương đương R2 của hai dây là:
+ Trong mạch điện hình 8.1c, ta nhận thấy điện trở R3 được tạo nên từ 3 điện trở R1 = R ghép song song với nhau.
Điện trở tương đương R3 của hai dây là:
Bài C2 trang 23 SGK Vật Lý 9 (Video giải tại 4:23): Cho rằng các dây dẫn với tiết diện 2S và 3S có điện trở tương đương là R2 và R3 như đã tính trong bài học, hãy nêu dự đoán về mối quan hệ giữa điện trở của các dây dẫn với tiết diện của mỗi dây.
Từ đó suy ra trường hợp hai dây dẫn có cùng chiều dài và được làm từ cùng một loại vật liệu, thì giữa tiết diện S1 và S2 và điện trở tương ứng R1, R2 của chúng có mối quan hệ như thế nào.
Lời giải:
+ Dự đoán: Nếu tiết diện tăng gấp hai hoặc ba lần thì điện trở của dây giảm hai hoặc ba lần: R2 = R/2 và R3 = R/3
+ Các dây dẫn có cùng chiều dài và làm từ cùng một vật liệu, nếu tiết diện của dây tăng bao nhiêu lẩn thì điện trở của nó giảm bấy nhiêu lần.
Từ đó suy ra điện trở của các dây dẫn có cùng chiều dài và làm từ cùng một vật liệu thì tỉ lệ nghịch vớí tiết diện của nó.
Hệ thức liên hệ:
Bài C3 trang 24 SGK Vật Lý 9 (Video giải tại 14:22): Hai dây đồng có cùng chiều dài, dây thứ nhất có tiết diện 2mm2, dây thứ hai có tiết diện 6mm2. Hãy so sánh điện trở của hai dây này.
Lời giải:
Vì tiết diện dây thứ nhất là S1 = 2mm2 bằng 1/3 lần tiết diện dây thứ hai S2 = 6mm2
→ Điện trở của dây thứ hai nhỏ hơn ba lần điện trở của dây thứ nhất.
Bài C4 trang 24 SGK Vật Lý 9 (Video giải tại 15:35): Hai dây nhôm có cùng chiều dài, dây thứ nhất có tiết diện 0,5mm2 và có điện trở R1 = 5,5Ω. Hỏi dây thứ hai có tiết diện 2,5mm2 thì có điện trở R2 là bao nhiêu?
Lời giải:
Vì điện trở tỉ lệ nghịch với tiết diện dây nên ta có
Bài C5 trang 24 SGK Vật Lý 9 (Video giải tại 17:16): Một dây dẫn bằng constantan (một loại hợp kim) dài l1 = l00m, có tiết diện S1 = 0,lmm2 thì có điện trở R1 = 500Ω. Hỏi một dây khác cũng bằng constantan dài 12 = 50m, có tiết diện S2 = 0,5mm2 thì có điện trở R2 là bao nhiêu?
Lời giải:
Dây thứ nhất có: l1 = 100m, S1 = 0,1 mm2, R1 = 500Ω
Dây thứ hai có: l2 = 50m, S2 = 0,5 mm2, R2 = ? Ω
Ta chọn thêm dây thứ 3 cùng vật liệu với 2 dây trên sao cho có:
l3 = l1 =100m nhưng lại có tiết diện S3 = S2 = 0,5 mm2.
Như vậy dây 1 và dây 3 có cùng vật liệu và chiều dài, khác tiết diện →
→ R3 = R1/5 = 100Ω
Lại có dây 2 và dây 3 có cùng vật liệu, cùng tiết diện, khác chiều dài →
→ R2 = R3/2 = 100/2 = 50Ω
Bài C6 trang 24 SGK Vật Lý 9 (Video giải tại 21:58): Một dây dẫn sắt dài l1 = 200m, có tiết diện S1 = 0,2mm2 và có điện trở R1 = 120Ω . Hỏi một dây sắt khác dài l2 = 50m, có điện trở R2 = 45Ω thì có tiết diện S2 là bao nhiêu?
Lời giải:
Dây thứ nhất có: l1 = 200m, S1 = 0,2mm2, R1 = 120Ω
Dây thứ hai có: l2 = 50m, S2 = ? mm2, R2 = 45Ω
Ta chọn thêm dây thứ 3 cùng vật liệu với 2 dây trên sao cho có:
l3 = l2 =50m nhưng lại có tiết diện S3 = S1 = 0,2 mm2.
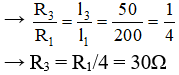
Như vậy dây 1 và dây 3 có cùng vật liệu và tiết diện, khác chiều dài
→ R3 = R1/4 = 30Ω
Lại có dây 2 và dây 3 có cùng vật liệu, cùng chiều dài, khác tiết diện →
→ S2 = 2S3/3 = 2.0,2/3 = 2/15mm2 = 0,133mm2.
Lưu ý: Qua hai bài trên ta nhận thấy, với hai dây dẫn cùng vật liệu nhưng có chiều dài và tiết diện khác nhau thì ta có thể dùng hệ thức liên hệ sau để làm nhanh hơn.
Xem thêm các bài Giải bài tập Vật Lí 9 (có video) hay khác:
- Bài 7: Sự phụ thuộc của điện trở vào chiều dài dây dẫn
- Bài 9: Sự phụ thuộc của điện trở vào vật liệu làm dây dẫn
- Bài 10: Biến trở - Điện trở dùng trong kĩ thuật
- Bài 11: Bài tập vận dụng định luật Ôm và công thức tính điện trở của dây dẫn
- Bài 12: Công suất điện
Tủ sách VIETJACK luyện thi vào 10 cho 2k11 (2026):
Đã có app VietJack trên điện thoại, giải bài tập SGK, SBT Soạn văn, Văn mẫu, Thi online, Bài giảng....miễn phí. Tải ngay ứng dụng trên Android và iOS.
Theo dõi chúng tôi miễn phí trên mạng xã hội facebook và youtube:Loạt bài Video Giải bài tập Vật Lí 9 chi tiết của chúng tôi được các Thầy/Cô biên soạn công phu bám sát nội dung sgk Vật Lí lớp 9.
Nếu thấy hay, hãy động viên và chia sẻ nhé! Các bình luận không phù hợp với nội quy bình luận trang web sẽ bị cấm bình luận vĩnh viễn.
- Giải Tiếng Anh 9 Global Success
- Giải sgk Tiếng Anh 9 Smart World
- Giải sgk Tiếng Anh 9 Friends plus
- Lớp 9 Kết nối tri thức
- Soạn văn 9 (hay nhất) - KNTT
- Soạn văn 9 (ngắn nhất) - KNTT
- Giải sgk Toán 9 - KNTT
- Giải sgk Khoa học tự nhiên 9 - KNTT
- Giải sgk Lịch Sử 9 - KNTT
- Giải sgk Địa Lí 9 - KNTT
- Giải sgk Giáo dục công dân 9 - KNTT
- Giải sgk Tin học 9 - KNTT
- Giải sgk Công nghệ 9 - KNTT
- Giải sgk Hoạt động trải nghiệm 9 - KNTT
- Giải sgk Âm nhạc 9 - KNTT
- Giải sgk Mĩ thuật 9 - KNTT
- Lớp 9 Chân trời sáng tạo
- Soạn văn 9 (hay nhất) - CTST
- Soạn văn 9 (ngắn nhất) - CTST
- Giải sgk Toán 9 - CTST
- Giải sgk Khoa học tự nhiên 9 - CTST
- Giải sgk Lịch Sử 9 - CTST
- Giải sgk Địa Lí 9 - CTST
- Giải sgk Giáo dục công dân 9 - CTST
- Giải sgk Tin học 9 - CTST
- Giải sgk Công nghệ 9 - CTST
- Giải sgk Hoạt động trải nghiệm 9 - CTST
- Giải sgk Âm nhạc 9 - CTST
- Giải sgk Mĩ thuật 9 - CTST
- Lớp 9 Cánh diều
- Soạn văn 9 Cánh diều (hay nhất)
- Soạn văn 9 Cánh diều (ngắn nhất)
- Giải sgk Toán 9 - Cánh diều
- Giải sgk Khoa học tự nhiên 9 - Cánh diều
- Giải sgk Lịch Sử 9 - Cánh diều
- Giải sgk Địa Lí 9 - Cánh diều
- Giải sgk Giáo dục công dân 9 - Cánh diều
- Giải sgk Tin học 9 - Cánh diều
- Giải sgk Công nghệ 9 - Cánh diều
- Giải sgk Hoạt động trải nghiệm 9 - Cánh diều
- Giải sgk Âm nhạc 9 - Cánh diều
- Giải sgk Mĩ thuật 9 - Cánh diều


Giải bài tập SGK & SBT
Tài liệu giáo viên
Sách
Khóa học
Thi online
Hỏi đáp

