Vật lí 10 trang 136 Kết nối tri thức
Trọn bộ lời giải bài tập Vật lí 10 trang 136 Kết nối tri thức sẽ giúp học sinh dễ dàng trả lời câu hỏi và làm bài tập Vật lí lớp 10 trang 136. Bạn vào trang hoặc Xem lời giải để theo dõi chi tiết.
Vật lí 10 trang 136 Kết nối tri thức
Lưu trữ: Vật lí 10 trang 136 (sách cũ)
Video Giải Bài 5 trang 136 SGK Vật Lý 10 - Thầy Lê Xuân Vượng (Giáo viên VietJack)
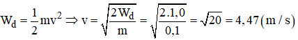
Bài 5 (trang 136 SGK Vật Lý 10) : Một vật trọng lượng 1,0 N có động năng 1,0 J. Lấy g = 10 m/s2 . Khi đó vận tốc của vật bằng bao nhiêu?
A. 0,45 m/s ; B. 1,0 m/s
C. 1,4 m/s ; D. 4,4 m/s
Lời giải:
Chọn D.
Khối lượng của vật là:
Vận tốc của vật là:
Các bài giải bài tập Vật Lí 10 Bài 25 khác:
Bài 1 (trang 136 SGK Vật Lý 10): Nêu định nghĩa và công thức của động năng...
Bài 2 (trang 136 SGK Vật Lý 10): Khi nào động năng của vật...
Bài 3 (trang 136 SGK Vật Lý 10): Câu nào sai trong các câu sau?...
Bài 4 (trang 136 SGK Vật Lý 10): Động năng của một vật tăng khi:...
Bài 5 (trang 136 SGK Vật Lý 10): Một vật trọng lượng 1,0 N có động năng ...
Bài 6 (trang 136 SGK Vật Lý 10): Một ô tô có khối lượng 1000 kg chuyển động...
Bài 7 (trang 136 SGK Vật Lý 10): Tính động băng của một vận động viên có khối...
Bài 8 (trang 136 SGK Vật Lý 10): Một vật khối lượng m = 2kg đang nằm yên ...
Để học tốt lớp 10 các môn học sách mới:
- Giải bài tập Lớp 10 Kết nối tri thức
- Giải bài tập Lớp 10 Chân trời sáng tạo
- Giải bài tập Lớp 10 Cánh diều
Tủ sách VIETJACK shopee lớp 10-11 (cả 3 bộ sách):
Đã có app VietJack trên điện thoại, giải bài tập SGK, SBT Soạn văn, Văn mẫu, Thi online, Bài giảng....miễn phí. Tải ngay ứng dụng trên Android và iOS.
Theo dõi chúng tôi miễn phí trên mạng xã hội facebook và youtube:Nếu thấy hay, hãy động viên và chia sẻ nhé! Các bình luận không phù hợp với nội quy bình luận trang web sẽ bị cấm bình luận vĩnh viễn.
- Giải Tiếng Anh 10 Global Success
- Giải Tiếng Anh 10 Friends Global
- Giải sgk Tiếng Anh 10 iLearn Smart World
- Giải sgk Tiếng Anh 10 Explore New Worlds
- Lớp 10 - Kết nối tri thức
- Soạn văn 10 (hay nhất) - KNTT
- Soạn văn 10 (ngắn nhất) - KNTT
- Soạn văn 10 (siêu ngắn) - KNTT
- Giải sgk Toán 10 - KNTT
- Giải sgk Vật lí 10 - KNTT
- Giải sgk Hóa học 10 - KNTT
- Giải sgk Sinh học 10 - KNTT
- Giải sgk Địa lí 10 - KNTT
- Giải sgk Lịch sử 10 - KNTT
- Giải sgk Kinh tế và Pháp luật 10 - KNTT
- Giải sgk Tin học 10 - KNTT
- Giải sgk Công nghệ 10 - KNTT
- Giải sgk Hoạt động trải nghiệm 10 - KNTT
- Giải sgk Giáo dục quốc phòng 10 - KNTT
- Lớp 10 - Chân trời sáng tạo
- Soạn văn 10 (hay nhất) - CTST
- Soạn văn 10 (ngắn nhất) - CTST
- Soạn văn 10 (siêu ngắn) - CTST
- Giải Toán 10 - CTST
- Giải sgk Vật lí 10 - CTST
- Giải sgk Hóa học 10 - CTST
- Giải sgk Sinh học 10 - CTST
- Giải sgk Địa lí 10 - CTST
- Giải sgk Lịch sử 10 - CTST
- Giải sgk Kinh tế và Pháp luật 10 - CTST
- Giải sgk Hoạt động trải nghiệm 10 - CTST
- Lớp 10 - Cánh diều
- Soạn văn 10 (hay nhất) - Cánh diều
- Soạn văn 10 (ngắn nhất) - Cánh diều
- Soạn văn 10 (siêu ngắn) - Cánh diều
- Giải sgk Toán 10 - Cánh diều
- Giải sgk Vật lí 10 - Cánh diều
- Giải sgk Hóa học 10 - Cánh diều
- Giải sgk Sinh học 10 - Cánh diều
- Giải sgk Địa lí 10 - Cánh diều
- Giải sgk Lịch sử 10 - Cánh diều
- Giải sgk Kinh tế và Pháp luật 10 - Cánh diều
- Giải sgk Tin học 10 - Cánh diều
- Giải sgk Công nghệ 10 - Cánh diều
- Giải sgk Hoạt động trải nghiệm 10 - Cánh diều
- Giải sgk Giáo dục quốc phòng 10 - Cánh diều


Giải bài tập SGK & SBT
Tài liệu giáo viên
Sách
Khóa học
Thi online
Hỏi đáp

