Bài 7 trang 100 SGK Vật Lý 10
Bài 17 : Cân bằng của một vật chịu tác dụng của hai lực và của ba lực không song song
Video Giải Bài 7 trang 100 SGK Vật Lý 10 - Thầy Lê Xuân Vượng (Giáo viên VietJack)
Bài 7 (trang 100 SGK Vật Lý 10) : Hai mặt phẳng đỡ tạo với mặt phẳng nằm ngang các góc α = 45o . Trên hai mặt phẳng đó người ta đặt một quả cầu đồng chất có khổi lượng 2 kg (Hình 17.10). Bỏ qua ma sát và lấy g = 10 m/s2 . Hỏi áp lực của quả cầu lên mỗi mặt phẳng đỡ bằng bao nhiêu?
A. 20 N ; B. 28 N
C. 14 N ; D. 1,4 N.
Hình 17.10
Lời giải:
Chọn C
Lực tác dụng lên quả cầu được biểu diễn như hình vẽ sau:
Khi quả cầu nằm cân bằng ta có:
Chọn hệ trục tòa độ Oxy như hình vẽ.
Chiếu phương trình (1) lên Ox và Oy ta được:
Ox: N1cosα - N2cosα = 0 (2)
Oy: -P + N1sinα + N2sinα = 0 (3)
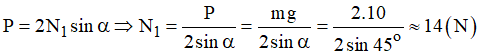
Từ (2) ⇒ N1 = N2. Thay vào (3) ta được:
⇒ N1 = N2 = 14N
Theo định luật III Newton, ta xác định được áp lực mà quả cầu đè lên mỗi mặt phẳng đỡ là: N’1 = N’2 = 14 N.
Các bài giải bài tập Vật Lí 10 Bài 17 khác:
Bài 1 (trang 99 SGK Vật Lý 10): Phát biểu điều kiện cân bằng của một vật rắn ...
Bài 2 (trang 99 SGK Vật Lý 10): Trọng tâm của một vật là gì? Trình bày phương pháp xác ...
Bài 3 (trang 100 SGK Vật Lý 10): Cho biết trọng tâm của một số vật đồng chất và có ...
Bài 4 (trang 100 SGK Vật Lý 10): Phát biểu qui tắc tổng hợp hai lực đồng qui...
Bài 5 (trang 100 SGK Vật Lý 10): Điều kiện cân bằng của một vật chịu tác dụng của ba lực ...
Bài 6 (trang 100 SGK Vật Lý 10): Một vật có khối lượng m = 2 kg được giữ yên ...
Bài 7 (trang 100 SGK Vật Lý 10): Hai mặt phẳng đỡ tạo với mặt phẳng ...
Bài 8 (trang 100 SGK Vật Lý 10): Một quả cầu đồng chất có khối lượng 3 kg được ...
Để học tốt lớp 10 các môn học sách mới:
- Giải bài tập Lớp 10 Kết nối tri thức
- Giải bài tập Lớp 10 Chân trời sáng tạo
- Giải bài tập Lớp 10 Cánh diều
Tủ sách VIETJACK shopee lớp 10-11 (cả 3 bộ sách):
Đã có app VietJack trên điện thoại, giải bài tập SGK, SBT Soạn văn, Văn mẫu, Thi online, Bài giảng....miễn phí. Tải ngay ứng dụng trên Android và iOS.
Theo dõi chúng tôi miễn phí trên mạng xã hội facebook và youtube:Nếu thấy hay, hãy động viên và chia sẻ nhé! Các bình luận không phù hợp với nội quy bình luận trang web sẽ bị cấm bình luận vĩnh viễn.
- Giải Tiếng Anh 10 Global Success
- Giải Tiếng Anh 10 Friends Global
- Giải sgk Tiếng Anh 10 iLearn Smart World
- Giải sgk Tiếng Anh 10 Explore New Worlds
- Lớp 10 - Kết nối tri thức
- Soạn văn 10 (hay nhất) - KNTT
- Soạn văn 10 (ngắn nhất) - KNTT
- Soạn văn 10 (siêu ngắn) - KNTT
- Giải sgk Toán 10 - KNTT
- Giải sgk Vật lí 10 - KNTT
- Giải sgk Hóa học 10 - KNTT
- Giải sgk Sinh học 10 - KNTT
- Giải sgk Địa lí 10 - KNTT
- Giải sgk Lịch sử 10 - KNTT
- Giải sgk Kinh tế và Pháp luật 10 - KNTT
- Giải sgk Tin học 10 - KNTT
- Giải sgk Công nghệ 10 - KNTT
- Giải sgk Hoạt động trải nghiệm 10 - KNTT
- Giải sgk Giáo dục quốc phòng 10 - KNTT
- Lớp 10 - Chân trời sáng tạo
- Soạn văn 10 (hay nhất) - CTST
- Soạn văn 10 (ngắn nhất) - CTST
- Soạn văn 10 (siêu ngắn) - CTST
- Giải Toán 10 - CTST
- Giải sgk Vật lí 10 - CTST
- Giải sgk Hóa học 10 - CTST
- Giải sgk Sinh học 10 - CTST
- Giải sgk Địa lí 10 - CTST
- Giải sgk Lịch sử 10 - CTST
- Giải sgk Kinh tế và Pháp luật 10 - CTST
- Giải sgk Hoạt động trải nghiệm 10 - CTST
- Lớp 10 - Cánh diều
- Soạn văn 10 (hay nhất) - Cánh diều
- Soạn văn 10 (ngắn nhất) - Cánh diều
- Soạn văn 10 (siêu ngắn) - Cánh diều
- Giải sgk Toán 10 - Cánh diều
- Giải sgk Vật lí 10 - Cánh diều
- Giải sgk Hóa học 10 - Cánh diều
- Giải sgk Sinh học 10 - Cánh diều
- Giải sgk Địa lí 10 - Cánh diều
- Giải sgk Lịch sử 10 - Cánh diều
- Giải sgk Kinh tế và Pháp luật 10 - Cánh diều
- Giải sgk Tin học 10 - Cánh diều
- Giải sgk Công nghệ 10 - Cánh diều
- Giải sgk Hoạt động trải nghiệm 10 - Cánh diều
- Giải sgk Giáo dục quốc phòng 10 - Cánh diều


Giải bài tập SGK & SBT
Tài liệu giáo viên
Sách
Khóa học
Thi online
Hỏi đáp

