Giải bài 6 trang 223 sgk Vật Lí 11
Bài 35: Thực hành: Xác định tiêu cự của thấu kính phân kì
Bài 6 trang 223 sgk Vật Lí 11: Có thể thực hiện phép đo tiêu cự f của thấu kính phân kì L bằng cách ghép nó đồng trục với một thấu kính hội tụ L0, nhưng vật thật được đặt gần thấu kính hội tụ hơn so với thấu kính phân kì được không ?
Nếu biết, em hãy trình bày rõ các bước tiến hành thí nghiệm và vẽ hình minh họa sự tạo ảnh của vật.
Trả lời:
Đặt vật AB trước và gần thấu kính hội tụ L.
Điều chỉnh sao cho vật AB qua L0 cho ảnh nằm sau thấu kính phân kì L, thì sẽ thu được ảnh cuối cùng là ảnh thật.
∗ Các bước tiến hành:
– Giữ vật cố định, di chuyển thấu kính hội tụ và màn cho tới khi hứng được ảnh rõ nét trên màn (sắp xếp để thấu kính cho ảnh nhỏ).
– Đặt thấu kính phân kì trong khoảng giữa thấu kính hội tụ và màn, cách màn vài xăng-ti-mét, quan sát thấy ảnh trên màn bị nhòe đi. Gọi khoảng cách từ thấu kính phân kì đến màn lúc này là d2, đo d2.
– Di chuyển màn ra xa các thấu kính cho tới khi thu được ảnh rõ nét trên màn, đo khoảng cách d’2 từ thấu kính phân kì đến màn.
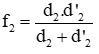
– tính tiêu cự f2 bằng công thức:
Vì d2 < 0 và │d’2│ > │d2│ nên f2 < 0
Các bài giải bài tập Vật Lý 11 bài 35 khác:
Lý thuyết thực hành: Xác định tiêu cự của thấu kính phân kì
Báo cáo thực hành: Xác định tiêu cự của thấu kính phân kì
Bài 1 (trang 223 SGK Vật Lý 11): Viết công thức thấu kính và nói rõ quy ước ...
Bài 2 (trang 223 SGK Vật Lý 11): Trình bày phương pháp đo tiêu cự của thấu kính phân kì ...
Bài 3 (trang 223 SGK Vật Lý 11): Có thể xác định tiêu cự của thấu kính hội tụ ...
Bài 4 (trang 223 SGK Vật Lý 11): Hãy nói rõ cách xác định đúng vị trí ảnh rõ nét ...
Bài 5 (trang 223 SGK Vật Lý 11): Hãy cho biết những nguyên nhân nào có thể gây nên ...
Tủ sách VIETJACK shopee lớp 10-11 (cả 3 bộ sách):
Đã có app VietJack trên điện thoại, giải bài tập SGK, SBT Soạn văn, Văn mẫu, Thi online, Bài giảng....miễn phí. Tải ngay ứng dụng trên Android và iOS.
Theo dõi chúng tôi miễn phí trên mạng xã hội facebook và youtube:Nếu thấy hay, hãy động viên và chia sẻ nhé! Các bình luận không phù hợp với nội quy bình luận trang web sẽ bị cấm bình luận vĩnh viễn.
- Giải Tiếng Anh 11 Global Success
- Giải sgk Tiếng Anh 11 Smart World
- Giải sgk Tiếng Anh 11 Friends Global
- Lớp 11 - Kết nối tri thức
- Soạn văn 11 (hay nhất) - KNTT
- Soạn văn 11 (ngắn nhất) - KNTT
- Giải sgk Toán 11 - KNTT
- Giải sgk Vật Lí 11 - KNTT
- Giải sgk Hóa học 11 - KNTT
- Giải sgk Sinh học 11 - KNTT
- Giải sgk Lịch Sử 11 - KNTT
- Giải sgk Địa Lí 11 - KNTT
- Giải sgk Giáo dục KTPL 11 - KNTT
- Giải sgk Tin học 11 - KNTT
- Giải sgk Công nghệ 11 - KNTT
- Giải sgk Hoạt động trải nghiệm 11 - KNTT
- Giải sgk Giáo dục quốc phòng 11 - KNTT
- Giải sgk Âm nhạc 11 - KNTT
- Lớp 11 - Chân trời sáng tạo
- Soạn văn 11 (hay nhất) - CTST
- Soạn văn 11 (ngắn nhất) - CTST
- Giải sgk Toán 11 - CTST
- Giải sgk Vật Lí 11 - CTST
- Giải sgk Hóa học 11 - CTST
- Giải sgk Sinh học 11 - CTST
- Giải sgk Lịch Sử 11 - CTST
- Giải sgk Địa Lí 11 - CTST
- Giải sgk Giáo dục KTPL 11 - CTST
- Giải sgk Hoạt động trải nghiệm 11 - CTST
- Giải sgk Âm nhạc 11 - CTST
- Lớp 11 - Cánh diều
- Soạn văn 11 Cánh diều (hay nhất)
- Soạn văn 11 Cánh diều (ngắn nhất)
- Giải sgk Toán 11 - Cánh diều
- Giải sgk Vật Lí 11 - Cánh diều
- Giải sgk Hóa học 11 - Cánh diều
- Giải sgk Sinh học 11 - Cánh diều
- Giải sgk Lịch Sử 11 - Cánh diều
- Giải sgk Địa Lí 11 - Cánh diều
- Giải sgk Giáo dục KTPL 11 - Cánh diều
- Giải sgk Tin học 11 - Cánh diều
- Giải sgk Công nghệ 11 - Cánh diều
- Giải sgk Hoạt động trải nghiệm 11 - Cánh diều
- Giải sgk Giáo dục quốc phòng 11 - Cánh diều
- Giải sgk Âm nhạc 11 - Cánh diều


Giải bài tập SGK & SBT
Tài liệu giáo viên
Sách
Khóa học
Thi online
Hỏi đáp

