Trả lời câu hỏi SGK Vật Lý 11 Bài 35
Bài 35: Thực hành: Xác định tiêu cự của thấu kính phân kì
C1 trang 219 sgk Vật Lí 11: Hãy nêu rõ:
- Tính chất của ảnh ảo A'B' tạo bởi thấu kính phân kì đối với vật thật AB
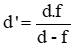
- Quy ước về dấu đại số của các đại lượng d, d’, f’ trong công thức:
Trả lời:
• Ảnh ảo A'B' tạo bởi vật thật AB là ảnh có kích thước nhỏ hơn vật, và cùng chiều so với vật.
• Quy ước về dấu đại số của các đại lượng f, d, d' trong công thức 35.1
ο Ảnh là ảnh ảo nên d' < 0, thấu kính phân kỳ: f < 0
ο Vật thật nên d lấy giá trị dương.
C2 trang 221 sgk Vật Lí 11: Muốn thấu kính hội tụ Lo tạo ra ảnh thật A'B' lớn hơn vật thật AB (Hình 35.2a), ta cần phải chọn khoảng cách từ vật AB và từ màn ảnh M đến thấu kính hội tụ Lo thỏa mãn điều kiện gì so với tiêu cự của thấu kính này ?
Trả lời:
Muốn tháu kính hội tụ Lo tạo ra ảnh thật A'B' lớn hơn vật thật AB thì vật AB phải nằm trong khoảng từ f đến 2f, tức là f < d < 2.f,
Khi đó khoảng cách từ màn M đến thấu kính hội tụ Lo được tính theo công thức:
C3 trang 221 sgk Vật Lí 11: Muốn ảnh cuối cùng của vật AB tạo bởi hệ thấu kính (L, Lo) bố trí như hình 35.2 là ảnh thật, thì khoảng cách giữa thấu kính phân kì L và thấu kính hội tụ Lo phải lớn hơn hay nhỏ hơn tiêu cự của thấu kính hội tụ Lo ? Giải thích tại sao.
Trả lời:
Khoảng cách giữa thấu kính phân kì L và thấu kính hội tụ Lo phải lớn hơn tiêu cự của thấu kính hội tụ Lo
Vì ảnh cuối cùng của vật AB là ảnh thật, nên ảnh sẽ ngược chiều với vật, do đó số phóng đại của ảnh sau cùng phải nhỏ hơn 0 (k < 0 )
Mà
Vì
Gọi L là khoảng cách hai thấu kính ⇒ d2 = L - d'1 ⇔ L - d'1 > f2
Vì d'1 < 0 nên để đảm bảo L - d'1 > f2 thì L > f2
Vậy muốn ảnh cuối cùng của vật AB tạo bởi hệ thấu kính (L, Lo) bố trí như hình 35.2 là ảnh thật, thì khoảng cách giữa thấu kính phân kì L và thấu kính hội tụ Lo phải lớn hơn tiêu cự của thấu kính hội tụ Lo.
Các bài giải bài tập Vật Lý 11 bài 35 khác:
Lý thuyết thực hành: Xác định tiêu cự của thấu kính phân kì
Báo cáo thực hành: Xác định tiêu cự của thấu kính phân kì
Bài 1 (trang 223 SGK Vật Lý 11): Viết công thức thấu kính và nói rõ quy ước ...
Bài 2 (trang 223 SGK Vật Lý 11): Trình bày phương pháp đo tiêu cự của thấu kính phân kì ...
Bài 3 (trang 223 SGK Vật Lý 11): Có thể xác định tiêu cự của thấu kính hội tụ ...
Bài 4 (trang 223 SGK Vật Lý 11): Hãy nói rõ cách xác định đúng vị trí ảnh rõ nét ...
Bài 5 (trang 223 SGK Vật Lý 11): Hãy cho biết những nguyên nhân nào có thể gây nên ...
Bài 6 (trang 223 SGK Vật Lý 11): Có thể thực hiện phép đo tiêu cự f của thấu kính ...
Tủ sách VIETJACK shopee lớp 10-11 (cả 3 bộ sách):
Đã có app VietJack trên điện thoại, giải bài tập SGK, SBT Soạn văn, Văn mẫu, Thi online, Bài giảng....miễn phí. Tải ngay ứng dụng trên Android và iOS.
Theo dõi chúng tôi miễn phí trên mạng xã hội facebook và youtube:Nếu thấy hay, hãy động viên và chia sẻ nhé! Các bình luận không phù hợp với nội quy bình luận trang web sẽ bị cấm bình luận vĩnh viễn.
- Giải Tiếng Anh 11 Global Success
- Giải sgk Tiếng Anh 11 Smart World
- Giải sgk Tiếng Anh 11 Friends Global
- Lớp 11 - Kết nối tri thức
- Soạn văn 11 (hay nhất) - KNTT
- Soạn văn 11 (ngắn nhất) - KNTT
- Giải sgk Toán 11 - KNTT
- Giải sgk Vật Lí 11 - KNTT
- Giải sgk Hóa học 11 - KNTT
- Giải sgk Sinh học 11 - KNTT
- Giải sgk Lịch Sử 11 - KNTT
- Giải sgk Địa Lí 11 - KNTT
- Giải sgk Giáo dục KTPL 11 - KNTT
- Giải sgk Tin học 11 - KNTT
- Giải sgk Công nghệ 11 - KNTT
- Giải sgk Hoạt động trải nghiệm 11 - KNTT
- Giải sgk Giáo dục quốc phòng 11 - KNTT
- Giải sgk Âm nhạc 11 - KNTT
- Lớp 11 - Chân trời sáng tạo
- Soạn văn 11 (hay nhất) - CTST
- Soạn văn 11 (ngắn nhất) - CTST
- Giải sgk Toán 11 - CTST
- Giải sgk Vật Lí 11 - CTST
- Giải sgk Hóa học 11 - CTST
- Giải sgk Sinh học 11 - CTST
- Giải sgk Lịch Sử 11 - CTST
- Giải sgk Địa Lí 11 - CTST
- Giải sgk Giáo dục KTPL 11 - CTST
- Giải sgk Hoạt động trải nghiệm 11 - CTST
- Giải sgk Âm nhạc 11 - CTST
- Lớp 11 - Cánh diều
- Soạn văn 11 Cánh diều (hay nhất)
- Soạn văn 11 Cánh diều (ngắn nhất)
- Giải sgk Toán 11 - Cánh diều
- Giải sgk Vật Lí 11 - Cánh diều
- Giải sgk Hóa học 11 - Cánh diều
- Giải sgk Sinh học 11 - Cánh diều
- Giải sgk Lịch Sử 11 - Cánh diều
- Giải sgk Địa Lí 11 - Cánh diều
- Giải sgk Giáo dục KTPL 11 - Cánh diều
- Giải sgk Tin học 11 - Cánh diều
- Giải sgk Công nghệ 11 - Cánh diều
- Giải sgk Hoạt động trải nghiệm 11 - Cánh diều
- Giải sgk Giáo dục quốc phòng 11 - Cánh diều
- Giải sgk Âm nhạc 11 - Cánh diều


Giải bài tập SGK & SBT
Tài liệu giáo viên
Sách
Khóa học
Thi online
Hỏi đáp

