Giải Cùng em học Toán lớp 4 Tập 2 Tuần 32 trang 50, 51, 52 hay nhất
Giải Cùng em học Toán lớp 4 Tập 2 Tuần 32 trang 50, 51, 52 hay nhất
Bài 1 (trang 50 Cùng em học Toán 4 Tập 2): Đặt tính rồi tính:
2829 x 23 2805 : 15
Hướng dẫn giải:
Bài 2 (trang 50 Cùng em học Toán 4 Tập 2): Viết tiếp vào chỗ chấm cho thích hợp:
Với a = 3131; b = 31, tính giá trị của các biểu thức:
a + b = ........... a x b = ...........
a – b = ........... a : b = ...........
Hướng dẫn giải:
a + b = 3131 + 31 = 3162 a x b = 3131 x 31 = 97061
a – b = 3131 – 31 = 3100 a : b = 3131 : 31 = 101.
Bài 3 (trang 50 Cùng em học Toán 4 Tập 2): Đúng ghi Đ, sai ghi S:
Hướng dẫn giải:
Bài 4 (trang 50 Cùng em học Toán 4 Tập 2): Một ki-lô-gam gạo giá 24 500 đồng, một hộp bánh giá 36 000 đồng. Sau khi mua 15kg gạo và 2 hộp bánh, mẹ còn 60 500 đồng. Hỏi lúc đầu mẹ có bao nhiêu tiền?
Hướng dẫn giải:
Giá tiền 15kg gạo là:
24 500 x 15 = 367 500 (đồng)
Giá tiền hai hộp bánh là:
36 000 x 2 = 72 000 (đồng)
Số tiền mẹ có lúc đầu là:
367 500 + 72 000 + 60 500 = 500 000 (đồng)
Đáp số: 500 000 đồng.
Bài 5 (trang 51 Cùng em học Toán 4 Tập 2): Biểu đồ dưới đây nói về số ngày mưa trong tháng 3 năm 2018 ở một huyện.
Viết tiếp vào chỗ chấm để được câu trả lời đúng:
a) Tháng 5 có ... ngày mưa, tháng 6 có ... ngày mưa, tháng 7 có ... ngày mưa.
b) Tháng ... có nhiều ngày mưa nhất, tháng ... có ít ngày mưa nhất.
c) Tháng 7 có nhiều hơn tháng 6 ... ngày mưa.
d) Số ngày mưa trung bình trong ba tháng trên là ... ngày.
Hướng dẫn giải:
a) Tháng 5 có 12 ngày mưa, tháng 6 có 15 ngày mưa, tháng 7 có 18 ngày mưa.
b) Tháng 7 có nhiều ngày mưa nhất, tháng 5 có ít ngày mưa nhất.
c) Tháng 7 có nhiều hơn tháng 6 3 ngày mưa.
d) Số ngày mưa trung bình trong ba tháng trên là 15 ngày.
Bài 6 (trang 51 Cùng em học Toán 4 Tập 2): Điền dấu (>; <; =) thích hợp vào chỗ chấm:
Hướng dẫn giải:
Bài 7 (trang 51 Cùng em học Toán 4 Tập 2): Tính:
Hướng dẫn giải:
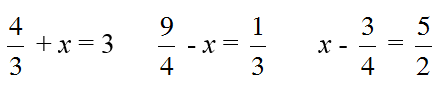
Bài 8 (trang 52 Cùng em học Toán 4 Tập 2): Tìm x:
Hướng dẫn giải:
Vui học (trang 52 Cùng em học Toán 4 Tập 2): Một người đưa hàng nhận được 12 đơn hàng. Buổi sáng người đó hoàn thành được 2/3 số đơn hàng. Buổi chiều người đó hoàn thành được 1/4 số đơn hàng. Hỏi sau 2 buổi người đó còn lại bao nhiêu đơn hàng chưa hoàn thành?
Hướng dẫn giải:
Số đơn hàng buổi sáng người đó hoàn thành là:
12 x 2 : 3 = 8 (đơn hàng)
Số đơn hàng buổi chiều người đó hoàn thành là:
12 : 4 = 3 (đơn hàng)
Số đơn hàng còn lại người đó chưa hoàn thành là:
12 – 8 – 3 = 1 (đơn hàng)
Đáp số: 1 đơn hàng.
Các bài Giải bài tập Cùng em học Toán lớp 4 Tập 2 khác:
Xem thêm các loạt bài Để học tốt môn Toán lớp 4:
Tủ sách VIETJACK shopee lớp 1-5 (2025):
Đã có app VietJack trên điện thoại, giải bài tập SGK, SBT Soạn văn, Văn mẫu, Thi online, Bài giảng....miễn phí. Tải ngay ứng dụng trên Android và iOS.
Theo dõi chúng tôi miễn phí trên mạng xã hội facebook và youtube:Loạt bài Giải Cùng em học Toán lớp 4 được biên soạn bám sát nội dung sách Cùng em học Toán lớp 4 Tập 1 & Tập 2 giúp bạn học tốt môn Toán lớp 4.
Nếu thấy hay, hãy động viên và chia sẻ nhé! Các bình luận không phù hợp với nội quy bình luận trang web sẽ bị cấm bình luận vĩnh viễn.
- Giải Tiếng Anh lớp 4 Global Success
- Giải sgk Tiếng Anh lớp 4 Smart Start
- Giải sgk Tiếng Anh lớp 4 Family and Friends
- Giải sgk Tiếng Anh lớp 4 Wonderful World
- Giải sgk Tiếng Anh lớp 4 Explore Our World
- Lớp 4 - Kết nối tri thức
- Giải sgk Tiếng Việt lớp 4 - KNTT
- Giải Vở bài tập Tiếng Việt lớp 4 - KNTT
- Giải sgk Toán lớp 4 - KNTT
- Giải Vở bài tập Toán lớp 4 - KNTT
- Giải sgk Đạo đức lớp 4 - KNTT
- Giải sgk Khoa học lớp 4 - KNTT
- Giải sgk Lịch Sử và Địa Lí lớp 4 - KNTT
- Giải sgk Hoạt động trải nghiệm lớp 4 - KNTT
- Giải sgk Tin học lớp 4 - KNTT
- Giải sgk Công nghệ lớp 4 - KNTT
- Lớp 4 - Chân trời sáng tạo
- Giải sgk Tiếng Việt lớp 4 - CTST
- Giải Vở bài tập Tiếng Việt lớp 4 - CTST
- Giải sgk Toán lớp 4 - CTST
- Giải Vở bài tập Toán lớp 4 - CTST
- Giải sgk Đạo đức lớp 4 - CTST
- Giải sgk Khoa học lớp 4 - CTST
- Giải sgk Lịch Sử và Địa Lí lớp 4 - CTST
- Giải sgk Hoạt động trải nghiệm lớp 4 - CTST
- Giải sgk Tin học lớp 4 - CTST
- Giải sgk Công nghệ lớp 4 - CTST
- Lớp 4 - Cánh diều
- Giải sgk Tiếng Việt lớp 4 - Cánh diều
- Giải Vở bài tập Tiếng Việt lớp 4 - Cánh diều
- Giải sgk Toán lớp 4 - Cánh diều
- Giải Vở bài tập Toán lớp 4 - Cánh diều
- Giải sgk Đạo đức lớp 4 - Cánh diều
- Giải sgk Khoa học lớp 4 - Cánh diều
- Giải sgk Lịch Sử và Địa Lí lớp 4 - Cánh diều
- Giải sgk Hoạt động trải nghiệm lớp 4 - Cánh diều
- Giải sgk Tin học lớp 4 - Cánh diều
- Giải sgk Công nghệ lớp 4 - Cánh diều
- Giáo án lớp 4 (các môn học)
- Bài tập cuối tuần lớp 4 Toán, Tiếng Việt (có đáp án)
- Đề thi lớp 4 (các môn học)


Giải bài tập SGK & SBT
Tài liệu giáo viên
Sách
Khóa học
Thi online
Hỏi đáp

