Giải bài 5 trang 155 SGK Hóa 12
Hóa học 12 Bài 34: Crom và hợp chất của crom
Video Bài 5 trang 155 SGK Hóa 12 - Cô Phạm Thị Thu Phượng
Bài 5 (trang 155 SGK Hóa 12): Khi nung nóng 2 mol natri đicromat người ta thu được 48 gam O2 và 1 mol crom (III) oxit. Hãy viết phương trình hóa học của phản ứng và xem xét natri đicromat đã bị nhiệt phân hoàn toàn chưa?
Lời giải:
2Na2Cr2O7 → 2Na2O + 2Cr2O3 + 3O2
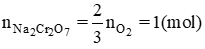
Số mol O2 là
Số mol Na2Cr2O7
Nung 2 mol Na2Cr2O7 nếu thu 48 gam O2 thì chỉ nung hết 1 (mol). Do đó phản ứng chưa kết thúc.
Các bài Giải bài tập Hóa 12, Để học tốt Hóa học 12 Bài 34: Crom và hợp chất của crom
- Chương 7: Sắt và một số kim loại quan trọng
Bài 1 (trang 155 SGK Hóa 12): Viết phương trình hóa học của các phản ứng trong quá trình ...
Bài 2 (trang 155 SGK Hóa 12): Cấu hình electron của ion Cr3+ ...
Bài 3 (trang 155 SGK Hóa 12): Các số oxi hóa đặc trưng của crom là ...
Bài 4 (trang 155 SGK Hóa 12): Hãy viết công thức của một số muối trong đó nguyên tố crom ...
Bài 5 (trang 155 SGK Hóa 12): Khi nung nóng 2 mol natri đicromat người ta thu được 48 gam oxi ...
Đã có app VietJack trên điện thoại, giải bài tập SGK, SBT Soạn văn, Văn mẫu, Thi online, Bài giảng....miễn phí. Tải ngay ứng dụng trên Android và iOS.
Theo dõi chúng tôi miễn phí trên mạng xã hội facebook và youtube:Nếu thấy hay, hãy động viên và chia sẻ nhé! Các bình luận không phù hợp với nội quy bình luận trang web sẽ bị cấm bình luận vĩnh viễn.
- Giải Tiếng Anh 12 Global Success
- Giải sgk Tiếng Anh 12 Smart World
- Giải sgk Tiếng Anh 12 Friends Global
- Lớp 12 Kết nối tri thức
- Soạn văn 12 (hay nhất) - KNTT
- Soạn văn 12 (ngắn nhất) - KNTT
- Giải sgk Toán 12 - KNTT
- Giải sgk Vật Lí 12 - KNTT
- Giải sgk Hóa học 12 - KNTT
- Giải sgk Sinh học 12 - KNTT
- Giải sgk Lịch Sử 12 - KNTT
- Giải sgk Địa Lí 12 - KNTT
- Giải sgk Giáo dục KTPL 12 - KNTT
- Giải sgk Tin học 12 - KNTT
- Giải sgk Công nghệ 12 - KNTT
- Giải sgk Hoạt động trải nghiệm 12 - KNTT
- Giải sgk Giáo dục quốc phòng 12 - KNTT
- Giải sgk Âm nhạc 12 - KNTT
- Giải sgk Mĩ thuật 12 - KNTT
- Lớp 12 Chân trời sáng tạo
- Soạn văn 12 (hay nhất) - CTST
- Soạn văn 12 (ngắn nhất) - CTST
- Giải sgk Toán 12 - CTST
- Giải sgk Vật Lí 12 - CTST
- Giải sgk Hóa học 12 - CTST
- Giải sgk Sinh học 12 - CTST
- Giải sgk Lịch Sử 12 - CTST
- Giải sgk Địa Lí 12 - CTST
- Giải sgk Giáo dục KTPL 12 - CTST
- Giải sgk Tin học 12 - CTST
- Giải sgk Hoạt động trải nghiệm 12 - CTST
- Giải sgk Âm nhạc 12 - CTST
- Lớp 12 Cánh diều
- Soạn văn 12 Cánh diều (hay nhất)
- Soạn văn 12 Cánh diều (ngắn nhất)
- Giải sgk Toán 12 Cánh diều
- Giải sgk Vật Lí 12 - Cánh diều
- Giải sgk Hóa học 12 - Cánh diều
- Giải sgk Sinh học 12 - Cánh diều
- Giải sgk Lịch Sử 12 - Cánh diều
- Giải sgk Địa Lí 12 - Cánh diều
- Giải sgk Giáo dục KTPL 12 - Cánh diều
- Giải sgk Tin học 12 - Cánh diều
- Giải sgk Công nghệ 12 - Cánh diều
- Giải sgk Hoạt động trải nghiệm 12 - Cánh diều
- Giải sgk Giáo dục quốc phòng 12 - Cánh diều
- Giải sgk Âm nhạc 12 - Cánh diều


Giải bài tập SGK & SBT
Tài liệu giáo viên
Sách
Khóa học
Thi online
Hỏi đáp

