Giải bài 5 trang 36 SGK Hóa 9
Giải Hóa 9 Bài 10: Một số muối quan trọng
Video Bài 5 - Cô Nguyễn Thị Thu (Giáo viên VietJack)
Bài 5: Trong phòng thí nghiệm có thể dùng muối KClO3 hoặc KNO3 để điều chế khí oxi bằng phản ứng phân hủy.
a) Viết các phương trình hóa học xảy ra đối với mỗi chất.
b) Nếu dùng 0,1 mol mỗi chất thì thể tích oxi thu được có khác nhau không? Hãy tính thể tích khí oxi thu được.
c) Cần điều chế 1,12 lít khí oxi, hãy tính khối lượng mỗi chất cần dùng. Các thể tích khí được đo ở điều kiện tiêu chuẩn.
Lời giải:
a) Các phương trình phản ứng phân hủy:
2KNO3 → 2KNO2 + O2 ↑ (1)
2KClO3 → 2KCl + 3O2 ↑ (2)
b) Theo phương trình (1) và (2): số mol hai muối tham gia phản ứng nhu nhau (0,1 mol), nhưng số mol oxi sinh ra không như nhau.
Theo phương trình (1):
VO2 = 0,05. 22,4= 1,12 lít
Theo phương trình (2):
VO2 = 0,15 .22,4 = 3,36 lít.
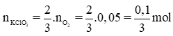
c)
2KNO3 → 2KNO2 + O2
2KClO3 → 2KCl + 3O2
Theo pt: nKNO3 = 2.nO2 = 0,05 . 2 = 0,1 mol,
MKNO3 = 101g/mol ; MKClO3 = 122,5 g/mol
mKNO3 cần dùng = 0,1 x 101 = 10,1g
mKClO3 cần dùng = 0,1 /3 x 122,5 = 4,08g.
Các bài giải bài tập Hóa học 9, Để học tốt Hóa học 9 Bài 10: Một số muối quan trọng
- Chương 1: Các loại hợp chất vô cơs
Bài 1 (trang 36 SGK Hóa 9): Có những muối sau: CaCO3, CaSO4 ...
Bài 2 (trang 36 SGK Hóa 9): Hai dung dịch tác dụng với nhau, sản phẩm thu được có NaCl ...
Bài 3 (trang 36 SGK Hóa 9): Viết phương trình điện phân dung dịch muối ăn ...
Bài 4 (trang 36 SGK Hóa 9): Dung dịch NaOH có thể dùng để phân biệt hai muối ...
Bài 5 (trang 36 SGK Hóa 9): Trong phòng thí nghiệm có thể dùng muối ...
Các bài Giải bài tập Hóa học 9, Để học tốt Hóa học 9 Chương 1 khác:
- Bài 10: Một số muối quan trọng
- Bài 11: Phân bón hóa học
- Bài 12: Mối quan hệ giữa các loại hợp chất vô cơ
- Bài 13: Luyện tập chương 1: Các loại hợp chất vô cơ
- Bài 14: Thực hành: Tính chất hóa học của bazơ và muối
Xem thêm các loạt bài Để học tốt Hóa học 9 hay khác:
- Giải sách bài tập Hóa 9
- Chuyên đề Hóa học 9 (có đáp án)
- Đề thi Hóa học 9
- Wiki 200 Tính chất hóa học
- Wiki 3000 Phản ứng hóa học quan trọng
Tủ sách VIETJACK luyện thi vào 10 cho 2k11 (2026):
Đã có app VietJack trên điện thoại, giải bài tập SGK, SBT Soạn văn, Văn mẫu, Thi online, Bài giảng....miễn phí. Tải ngay ứng dụng trên Android và iOS.
Theo dõi chúng tôi miễn phí trên mạng xã hội facebook và youtube:Loạt bài Giải bài tập Hóa học lớp 9 | Để học tốt Hóa học lớp 9 của chúng tôi được biên soạn một phần dựa trên cuốn sách: Giải Bài tập Hóa học 9 và Để học tốt Hóa học 9 và bám sát nội dung sgk Hóa học lớp 9.
Nếu thấy hay, hãy động viên và chia sẻ nhé! Các bình luận không phù hợp với nội quy bình luận trang web sẽ bị cấm bình luận vĩnh viễn.
- Giải Tiếng Anh 9 Global Success
- Giải sgk Tiếng Anh 9 Smart World
- Giải sgk Tiếng Anh 9 Friends plus
- Lớp 9 Kết nối tri thức
- Soạn văn 9 (hay nhất) - KNTT
- Soạn văn 9 (ngắn nhất) - KNTT
- Giải sgk Toán 9 - KNTT
- Giải sgk Khoa học tự nhiên 9 - KNTT
- Giải sgk Lịch Sử 9 - KNTT
- Giải sgk Địa Lí 9 - KNTT
- Giải sgk Giáo dục công dân 9 - KNTT
- Giải sgk Tin học 9 - KNTT
- Giải sgk Công nghệ 9 - KNTT
- Giải sgk Hoạt động trải nghiệm 9 - KNTT
- Giải sgk Âm nhạc 9 - KNTT
- Giải sgk Mĩ thuật 9 - KNTT
- Lớp 9 Chân trời sáng tạo
- Soạn văn 9 (hay nhất) - CTST
- Soạn văn 9 (ngắn nhất) - CTST
- Giải sgk Toán 9 - CTST
- Giải sgk Khoa học tự nhiên 9 - CTST
- Giải sgk Lịch Sử 9 - CTST
- Giải sgk Địa Lí 9 - CTST
- Giải sgk Giáo dục công dân 9 - CTST
- Giải sgk Tin học 9 - CTST
- Giải sgk Công nghệ 9 - CTST
- Giải sgk Hoạt động trải nghiệm 9 - CTST
- Giải sgk Âm nhạc 9 - CTST
- Giải sgk Mĩ thuật 9 - CTST
- Lớp 9 Cánh diều
- Soạn văn 9 Cánh diều (hay nhất)
- Soạn văn 9 Cánh diều (ngắn nhất)
- Giải sgk Toán 9 - Cánh diều
- Giải sgk Khoa học tự nhiên 9 - Cánh diều
- Giải sgk Lịch Sử 9 - Cánh diều
- Giải sgk Địa Lí 9 - Cánh diều
- Giải sgk Giáo dục công dân 9 - Cánh diều
- Giải sgk Tin học 9 - Cánh diều
- Giải sgk Công nghệ 9 - Cánh diều
- Giải sgk Hoạt động trải nghiệm 9 - Cánh diều
- Giải sgk Âm nhạc 9 - Cánh diều
- Giải sgk Mĩ thuật 9 - Cánh diều


Giải bài tập SGK & SBT
Tài liệu giáo viên
Sách
Khóa học
Thi online
Hỏi đáp

