Giải bài 6 trang 58 SGK Hóa 9
Giải Hóa 9 Bài 18: Nhôm
Video Bài 6 - Cô Nguyễn Thị Thu (Giáo viên VietJack)
Bài 6: Để xác định phần trăm khối lượng của hỗn hợp A gồm nhôm và magie, người ta thực hiện hai thí nghiệm sau:
– Thí nghiệm 1: Cho m gam hỗn hợp A tác dụng với dung dịch H2SO4 loãng dư, thu được 1568ml khí ở điều kiện tiêu chuẩn.
– Thí nghiệm 2: Cho m gam hỗn hợp A tác dụng với dung dịch NaOH dư thì sau phản ứng thấy còn lại 0,6g chất rắn.
Tính phần trăm khối lượng của mỗi chất trong hỗn hợp A.
Lời giải:
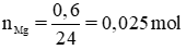
Ở thí nghiệm 2: Al tác dụng hết với NaOH, còn Mg không phản ứng nên khối lượng chất rắn còn lại là Mg, mMg = 0,6g.
Gọi nAl = x
Phương trình phản ứng:
2Al + 3H2SO4 → Al2(SO4)3 + 3H2 ↑ ( 1)
Mg + H2SO4 → MgSO4 + H2 ↑ (2)
Theo pt (2) nH2 (2) = nMg = 0,025 mol
Theo pt (1) nH2 (1) =
⇒ Tổng số mol H2 là
(∗)
Theo đề bài ta có: VH2 = 1568ml = 1,568 l
Từ (∗) và (∗∗) ⇒ 0,025 + 3x/2 = 0,07
Giải ra ta có : x = 0,03 mol ⇒ mAl = 0,03 x 27 = 0,81g
mhỗn hợp A = 0,81 + 0,6 = 1,41 g
Các bài giải bài tập Hóa học 9, Để học tốt Hóa học 9 Bài 18: Nhôm
Bài 2 (trang 58 SGK Hóa 9): Thả một mảnh nhôm vào các ống nghiệm chứa các dung dịch sau: ...
Bài 3 (trang 58 SGK Hóa 9): Có nên dùng xô, chậu, nồi nhôm để đựng vôi, ...
Bài 4 (trang 58 SGK Hóa 9): Có dung dịch muối AlCl3 lẫn tạp chất là CuCl2 ...
Bài 5 (trang 58 SGK Hóa 9): Thành phần chính của đất sét là Al2O3.2SiO2.2H2O ...
Bài 6 (trang 58 SGK Hóa 9): Để xác định phần trăm khối lượng của hỗn hợp A gồm nhôm và magie ...
Các bài Giải bài tập Hóa học 9, Để học tốt Hóa học 9 Chương 2 khác:
- Bài 18: Nhôm
- Bài 19: Sắt
- Bài 20: Hợp kim sắt: Gang, thép
- Bài 21: Sự ăn mòn kim loại và bảo vệ kim loại không bị ăn mòn
- Bài 22: Luyện tập chương 2: Kim loại
Xem thêm các loạt bài Để học tốt Hóa học 9 hay khác:
- Giải sách bài tập Hóa 9
- Chuyên đề Hóa học 9 (có đáp án)
- Đề thi Hóa học 9
- Wiki 200 Tính chất hóa học
- Wiki 3000 Phản ứng hóa học quan trọng
Tủ sách VIETJACK luyện thi vào 10 cho 2k11 (2026):
Đã có app VietJack trên điện thoại, giải bài tập SGK, SBT Soạn văn, Văn mẫu, Thi online, Bài giảng....miễn phí. Tải ngay ứng dụng trên Android và iOS.
Theo dõi chúng tôi miễn phí trên mạng xã hội facebook và youtube:Loạt bài Giải bài tập Hóa học lớp 9 | Để học tốt Hóa học lớp 9 của chúng tôi được biên soạn một phần dựa trên cuốn sách: Giải Bài tập Hóa học 9 và Để học tốt Hóa học 9 và bám sát nội dung sgk Hóa học lớp 9.
Nếu thấy hay, hãy động viên và chia sẻ nhé! Các bình luận không phù hợp với nội quy bình luận trang web sẽ bị cấm bình luận vĩnh viễn.
- Giải Tiếng Anh 9 Global Success
- Giải sgk Tiếng Anh 9 Smart World
- Giải sgk Tiếng Anh 9 Friends plus
- Lớp 9 Kết nối tri thức
- Soạn văn 9 (hay nhất) - KNTT
- Soạn văn 9 (ngắn nhất) - KNTT
- Giải sgk Toán 9 - KNTT
- Giải sgk Khoa học tự nhiên 9 - KNTT
- Giải sgk Lịch Sử 9 - KNTT
- Giải sgk Địa Lí 9 - KNTT
- Giải sgk Giáo dục công dân 9 - KNTT
- Giải sgk Tin học 9 - KNTT
- Giải sgk Công nghệ 9 - KNTT
- Giải sgk Hoạt động trải nghiệm 9 - KNTT
- Giải sgk Âm nhạc 9 - KNTT
- Giải sgk Mĩ thuật 9 - KNTT
- Lớp 9 Chân trời sáng tạo
- Soạn văn 9 (hay nhất) - CTST
- Soạn văn 9 (ngắn nhất) - CTST
- Giải sgk Toán 9 - CTST
- Giải sgk Khoa học tự nhiên 9 - CTST
- Giải sgk Lịch Sử 9 - CTST
- Giải sgk Địa Lí 9 - CTST
- Giải sgk Giáo dục công dân 9 - CTST
- Giải sgk Tin học 9 - CTST
- Giải sgk Công nghệ 9 - CTST
- Giải sgk Hoạt động trải nghiệm 9 - CTST
- Giải sgk Âm nhạc 9 - CTST
- Giải sgk Mĩ thuật 9 - CTST
- Lớp 9 Cánh diều
- Soạn văn 9 Cánh diều (hay nhất)
- Soạn văn 9 Cánh diều (ngắn nhất)
- Giải sgk Toán 9 - Cánh diều
- Giải sgk Khoa học tự nhiên 9 - Cánh diều
- Giải sgk Lịch Sử 9 - Cánh diều
- Giải sgk Địa Lí 9 - Cánh diều
- Giải sgk Giáo dục công dân 9 - Cánh diều
- Giải sgk Tin học 9 - Cánh diều
- Giải sgk Công nghệ 9 - Cánh diều
- Giải sgk Hoạt động trải nghiệm 9 - Cánh diều
- Giải sgk Âm nhạc 9 - Cánh diều
- Giải sgk Mĩ thuật 9 - Cánh diều


Giải bài tập SGK & SBT
Tài liệu giáo viên
Sách
Khóa học
Thi online
Hỏi đáp

