Bài 1 trang 84 sgk Vật Lý 10 nâng cao
Bài 18: Chuyển động của vật bị ném
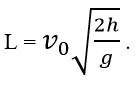
Bài 1 (trang 84 sgk Vật Lý 10 nâng cao): Một vật khối lượng m, được ném ngang từ độ cao h với vận tốc ban đầu v0. Tầm bay xa của nó phụ thuộc vào những yếu tố nào?
A. m và v0 B. m và h C. v0 và h D. m,h và v0
Lời giải:
Đáp án : C, vì theo công thức :
Các bài giải Lý 10 nâng cao bài 18 chương 2 khác:
Trả lời câu hỏi C giữa bài
Bài C1 (trang 80 sgk Vật Lí 10 nâng cao): Từ (18.2) và (18.3) hãy cho biết hình chiếu....
Bài C2 (trang 81 sgk Vật Lí 10 nâng cao): Cho biết ý nghĩa của dấu trừ trong biểu thức...
Bài C3 (trang 81 sgk Vật Lí 10 nâng cao): Làm thế nào để có hệ thức giữa y và x?...
Trả lời Câu hỏi (trang 83)
Câu 1 (trang 83 sgk Vật Lí 10 nâng cao): Khi luyện tập các môn như: đẩy tạ, nhảy xa,...
Câu 2 (trang 83 sgk Vật Lí 10 nâng cao): Từ một máy bay chuyển động đều theo phương nằm...
Giải Bài tập (trang 84)
Bài 1 (trang 84 sgk Vật Lí 10 nâng cao): Một vật khối lượng m, được ném ngang từ độ cao h...
Bài 2 (trang 84 sgk Vật Lí 10 nâng cao): Hãy chọn câu đúng: Tronh hình 18.2, gia tốc...
Bài 3 (trang 84 sgk Vật Lí 10 nâng cao): Một vật được ném lên từ mặt đất với v0 = 10m/s....
Bài 4 (trang 84 sgk Vật Lí 10 nâng cao): Vẽ quỹ đạo của vật trong bài tập trên cho...
Bài 5 (trang 84 sgk Vật Lí 10 nâng cao): Từ độ cao 15 m so với mặt đất...
Bài 6 (trang 84 sgk Vật Lí 10 nâng cao): Một vật được ném ngang với vận tốc v0=30m/s, ở độ cao...
Bài 7 (trang 84 sgk Vật Lí 10 nâng cao): Một máy bay theo phương ngang ở độ cao 5km với...
Bài 8 (trang 84 sgk Vật Lí 10 nâng cao): Một vật được ném ngang ở độ cao 20m phải có vận tốc....
Để học tốt lớp 10 các môn học sách mới:
- Giải bài tập Lớp 10 Kết nối tri thức
- Giải bài tập Lớp 10 Chân trời sáng tạo
- Giải bài tập Lớp 10 Cánh diều
Tủ sách VIETJACK shopee lớp 10-11 (cả 3 bộ sách):
Đã có app VietJack trên điện thoại, giải bài tập SGK, SBT Soạn văn, Văn mẫu, Thi online, Bài giảng....miễn phí. Tải ngay ứng dụng trên Android và iOS.
Theo dõi chúng tôi miễn phí trên mạng xã hội facebook và youtube:Nếu thấy hay, hãy động viên và chia sẻ nhé! Các bình luận không phù hợp với nội quy bình luận trang web sẽ bị cấm bình luận vĩnh viễn.
- Giải Tiếng Anh 10 Global Success
- Giải Tiếng Anh 10 Friends Global
- Giải sgk Tiếng Anh 10 iLearn Smart World
- Giải sgk Tiếng Anh 10 Explore New Worlds
- Lớp 10 - Kết nối tri thức
- Soạn văn 10 (hay nhất) - KNTT
- Soạn văn 10 (ngắn nhất) - KNTT
- Soạn văn 10 (siêu ngắn) - KNTT
- Giải sgk Toán 10 - KNTT
- Giải sgk Vật lí 10 - KNTT
- Giải sgk Hóa học 10 - KNTT
- Giải sgk Sinh học 10 - KNTT
- Giải sgk Địa lí 10 - KNTT
- Giải sgk Lịch sử 10 - KNTT
- Giải sgk Kinh tế và Pháp luật 10 - KNTT
- Giải sgk Tin học 10 - KNTT
- Giải sgk Công nghệ 10 - KNTT
- Giải sgk Hoạt động trải nghiệm 10 - KNTT
- Giải sgk Giáo dục quốc phòng 10 - KNTT
- Lớp 10 - Chân trời sáng tạo
- Soạn văn 10 (hay nhất) - CTST
- Soạn văn 10 (ngắn nhất) - CTST
- Soạn văn 10 (siêu ngắn) - CTST
- Giải Toán 10 - CTST
- Giải sgk Vật lí 10 - CTST
- Giải sgk Hóa học 10 - CTST
- Giải sgk Sinh học 10 - CTST
- Giải sgk Địa lí 10 - CTST
- Giải sgk Lịch sử 10 - CTST
- Giải sgk Kinh tế và Pháp luật 10 - CTST
- Giải sgk Hoạt động trải nghiệm 10 - CTST
- Lớp 10 - Cánh diều
- Soạn văn 10 (hay nhất) - Cánh diều
- Soạn văn 10 (ngắn nhất) - Cánh diều
- Soạn văn 10 (siêu ngắn) - Cánh diều
- Giải sgk Toán 10 - Cánh diều
- Giải sgk Vật lí 10 - Cánh diều
- Giải sgk Hóa học 10 - Cánh diều
- Giải sgk Sinh học 10 - Cánh diều
- Giải sgk Địa lí 10 - Cánh diều
- Giải sgk Lịch sử 10 - Cánh diều
- Giải sgk Kinh tế và Pháp luật 10 - Cánh diều
- Giải sgk Tin học 10 - Cánh diều
- Giải sgk Công nghệ 10 - Cánh diều
- Giải sgk Hoạt động trải nghiệm 10 - Cánh diều
- Giải sgk Giáo dục quốc phòng 10 - Cánh diều


Giải bài tập SGK & SBT
Tài liệu giáo viên
Sách
Khóa học
Thi online
Hỏi đáp

