Bài 2 trang 210 sgk Vật Lý 10 nâng cao
Bài 43: Ứng dụng của định luật Béc-nu-li
Bài 2 (trang 210 sgk Vật Lý 10 nâng cao): Một người thổi không khí với tốc độ 15m/s ngang qua miệng một nhánh ống chữ U chứa nước. Hỏi độ chênh mực nước giữa hai nhánh là bao nhiêu?
Lời giải:
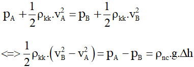
Độ chênh mực nước giữa hai nhánh của ống chữ U là do độ chênh lệch của áp suất động của không khí ở miệng hai ống. Ta có:
Theo định luật Becnuli:
Vì vA = 0, vB = 15m/s nên
Độ chênh lệch mực nước giữa hai ống bằng:
Các bài giải Lý 10 nâng cao bài 43 chương 5 khác:
Trả lời câu hỏi C giữa bài
Trả lời Câu hỏi (trang 210)
Câu 1 (trang 210 sgk Vật Lí 10 nâng cao): Đặt hai tờ giấy cho hai mặt song song gần nhau...
Câu 2 (trang 210 sgk Vật Lí 10 nâng cao): Hãy áp dụng phương trình Béc-nu-li để...
Câu 3 (trang 210 sgk Vật Lí 10 nâng cao): Tại sao nói định luật Béc-nu-li là một...
Giải Bài tập (trang 210)
Bài 1 (trang 210 sgk Vật Lí 10 nâng cao): Mỗi cánh máy bay có diện tích 25 m2...
Bài 2 (trang 210 sgk Vật Lí 10 nâng cao): Một người thổi không khí với tốc độ 15m/s...
Để học tốt lớp 10 các môn học sách mới:
- Giải bài tập Lớp 10 Kết nối tri thức
- Giải bài tập Lớp 10 Chân trời sáng tạo
- Giải bài tập Lớp 10 Cánh diều
Tủ sách VIETJACK shopee lớp 10-11 (cả 3 bộ sách):
Đã có app VietJack trên điện thoại, giải bài tập SGK, SBT Soạn văn, Văn mẫu, Thi online, Bài giảng....miễn phí. Tải ngay ứng dụng trên Android và iOS.
Theo dõi chúng tôi miễn phí trên mạng xã hội facebook và youtube:Nếu thấy hay, hãy động viên và chia sẻ nhé! Các bình luận không phù hợp với nội quy bình luận trang web sẽ bị cấm bình luận vĩnh viễn.
- Giải Tiếng Anh 10 Global Success
- Giải Tiếng Anh 10 Friends Global
- Giải sgk Tiếng Anh 10 iLearn Smart World
- Giải sgk Tiếng Anh 10 Explore New Worlds
- Lớp 10 - Kết nối tri thức
- Soạn văn 10 (hay nhất) - KNTT
- Soạn văn 10 (ngắn nhất) - KNTT
- Soạn văn 10 (siêu ngắn) - KNTT
- Giải sgk Toán 10 - KNTT
- Giải sgk Vật lí 10 - KNTT
- Giải sgk Hóa học 10 - KNTT
- Giải sgk Sinh học 10 - KNTT
- Giải sgk Địa lí 10 - KNTT
- Giải sgk Lịch sử 10 - KNTT
- Giải sgk Kinh tế và Pháp luật 10 - KNTT
- Giải sgk Tin học 10 - KNTT
- Giải sgk Công nghệ 10 - KNTT
- Giải sgk Hoạt động trải nghiệm 10 - KNTT
- Giải sgk Giáo dục quốc phòng 10 - KNTT
- Lớp 10 - Chân trời sáng tạo
- Soạn văn 10 (hay nhất) - CTST
- Soạn văn 10 (ngắn nhất) - CTST
- Soạn văn 10 (siêu ngắn) - CTST
- Giải Toán 10 - CTST
- Giải sgk Vật lí 10 - CTST
- Giải sgk Hóa học 10 - CTST
- Giải sgk Sinh học 10 - CTST
- Giải sgk Địa lí 10 - CTST
- Giải sgk Lịch sử 10 - CTST
- Giải sgk Kinh tế và Pháp luật 10 - CTST
- Giải sgk Hoạt động trải nghiệm 10 - CTST
- Lớp 10 - Cánh diều
- Soạn văn 10 (hay nhất) - Cánh diều
- Soạn văn 10 (ngắn nhất) - Cánh diều
- Soạn văn 10 (siêu ngắn) - Cánh diều
- Giải sgk Toán 10 - Cánh diều
- Giải sgk Vật lí 10 - Cánh diều
- Giải sgk Hóa học 10 - Cánh diều
- Giải sgk Sinh học 10 - Cánh diều
- Giải sgk Địa lí 10 - Cánh diều
- Giải sgk Lịch sử 10 - Cánh diều
- Giải sgk Kinh tế và Pháp luật 10 - Cánh diều
- Giải sgk Tin học 10 - Cánh diều
- Giải sgk Công nghệ 10 - Cánh diều
- Giải sgk Hoạt động trải nghiệm 10 - Cánh diều
- Giải sgk Giáo dục quốc phòng 10 - Cánh diều


Giải bài tập SGK & SBT
Tài liệu giáo viên
Sách
Khóa học
Thi online
Hỏi đáp

