Bài 4 trang 32 sgk Vật Lý 10 nâng cao
Bài 6: Sự rơi tự do
Bài 4 (trang 32 sgk Vật Lý 10 nâng cao): Hai viên bi sắt được thả rơi từ cùng một độ cao cách nhau một khoảng thời gian 0,5s. Tính khoảng cách giữa hai viên bi sau khi viên bi thứ nhất rơi được 1s; 1,5s.
Lời giải:
* Theo đề: Khi bi (1) rơi được 1s thì bi (2) rơi được 1 - 0,5 = 0,5s.
Lấy g = 9,8 m/s2
Quãng đường bi (1) rơi được là:
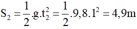
Quãng đường bi (2) rơi được là:
Vậy khoảng cách hai bi sau khi bi (1) rơi được 1 giây là:
ΔS = S1 - S2 = 4,9 – 1,225 = 3,68 (m).
* Khi bi (1) rơi được t1 = 1,5 giây thì bi (2) rơi được t2 = 1 giây.
Quãng đường bi (1) rơi được là:
Quãng đường bi (2) rơi được là:
Vậy khoảng cách hai bi sau khi bi (1) rơi được 1,5 giây là:
ΔS = S1 – S2 = 11,03 – 4,9 = 6,13 (m).
Các bài giải Lý 10 nâng cao bài 6 chương 1 khác:
Trả lời câu hỏi C giữa bài
Bài C1 (trang 29 sgk Vật Lí 10 nâng cao): Người nhảy dù có rơi tự do không?...
Bài C2 (trang 30 sgk Vật Lí 10 nâng cao): Rơi tự do là chuyển động đều hay là nhanh dần?...
Bài C3 (trang 31 sgk Vật Lí 10 nâng cao): Hãy xác định các yếu tố của vectơ gia tốc...
Trả lời Câu hỏi (trang 31)
Câu 1 (trang 31 sgk Vật Lí 10 nâng cao): Thế nào là sự rơi tự do...
Câu 2 (trang 31 sgk Vật Lí 10 nâng cao): Hãy nêu các đặc điểm của chuyển động rơi...
Câu 3 (trang 31 sgk Vật Lí 10 nâng cao): Hãy viết công thức liên hệ giữa vận tốc...
Giải Bài tập (trang 32)
Bài 2 (trang 32 sgk Vật Lí 10 nâng cao): Một vật rơi tự do không vận tốc đầu...
Bài 3 (trang 32 sgk Vật Lí 10 nâng cao): Một vật được thả từ trên máy bay ở độ cao 80m...
Bài 4 (trang 32 sgk Vật Lí 10 nâng cao): Hai viên bi sắt được thả rơi từ cùng một...
Để học tốt lớp 10 các môn học sách mới:
- Giải bài tập Lớp 10 Kết nối tri thức
- Giải bài tập Lớp 10 Chân trời sáng tạo
- Giải bài tập Lớp 10 Cánh diều
Tủ sách VIETJACK shopee lớp 10-11 (cả 3 bộ sách):
Đã có app VietJack trên điện thoại, giải bài tập SGK, SBT Soạn văn, Văn mẫu, Thi online, Bài giảng....miễn phí. Tải ngay ứng dụng trên Android và iOS.
Theo dõi chúng tôi miễn phí trên mạng xã hội facebook và youtube:Nếu thấy hay, hãy động viên và chia sẻ nhé! Các bình luận không phù hợp với nội quy bình luận trang web sẽ bị cấm bình luận vĩnh viễn.
- Giải Tiếng Anh 10 Global Success
- Giải Tiếng Anh 10 Friends Global
- Giải sgk Tiếng Anh 10 iLearn Smart World
- Giải sgk Tiếng Anh 10 Explore New Worlds
- Lớp 10 - Kết nối tri thức
- Soạn văn 10 (hay nhất) - KNTT
- Soạn văn 10 (ngắn nhất) - KNTT
- Soạn văn 10 (siêu ngắn) - KNTT
- Giải sgk Toán 10 - KNTT
- Giải sgk Vật lí 10 - KNTT
- Giải sgk Hóa học 10 - KNTT
- Giải sgk Sinh học 10 - KNTT
- Giải sgk Địa lí 10 - KNTT
- Giải sgk Lịch sử 10 - KNTT
- Giải sgk Kinh tế và Pháp luật 10 - KNTT
- Giải sgk Tin học 10 - KNTT
- Giải sgk Công nghệ 10 - KNTT
- Giải sgk Hoạt động trải nghiệm 10 - KNTT
- Giải sgk Giáo dục quốc phòng 10 - KNTT
- Lớp 10 - Chân trời sáng tạo
- Soạn văn 10 (hay nhất) - CTST
- Soạn văn 10 (ngắn nhất) - CTST
- Soạn văn 10 (siêu ngắn) - CTST
- Giải Toán 10 - CTST
- Giải sgk Vật lí 10 - CTST
- Giải sgk Hóa học 10 - CTST
- Giải sgk Sinh học 10 - CTST
- Giải sgk Địa lí 10 - CTST
- Giải sgk Lịch sử 10 - CTST
- Giải sgk Kinh tế và Pháp luật 10 - CTST
- Giải sgk Hoạt động trải nghiệm 10 - CTST
- Lớp 10 - Cánh diều
- Soạn văn 10 (hay nhất) - Cánh diều
- Soạn văn 10 (ngắn nhất) - Cánh diều
- Soạn văn 10 (siêu ngắn) - Cánh diều
- Giải sgk Toán 10 - Cánh diều
- Giải sgk Vật lí 10 - Cánh diều
- Giải sgk Hóa học 10 - Cánh diều
- Giải sgk Sinh học 10 - Cánh diều
- Giải sgk Địa lí 10 - Cánh diều
- Giải sgk Lịch sử 10 - Cánh diều
- Giải sgk Kinh tế và Pháp luật 10 - Cánh diều
- Giải sgk Tin học 10 - Cánh diều
- Giải sgk Công nghệ 10 - Cánh diều
- Giải sgk Hoạt động trải nghiệm 10 - Cánh diều
- Giải sgk Giáo dục quốc phòng 10 - Cánh diều


Giải bài tập SGK & SBT
Tài liệu giáo viên
Sách
Khóa học
Thi online
Hỏi đáp

